DRAFT PSC Selective Fishery Evaluation Simulation Model Specifications
Modelling and Analysis Workgroup
Management Capabilities Workgroup
Draft
May 26, 1995
1.0 Introduction
At the direction of the Pacific Salmon Commission, a bilateral committee was assembled to evaluate the feasibility and potential utility of selectively harvesting marked hatchery salmon (PSC Selective Fishery Evaluation Committee 1995). One component of the evaluation utilized a simulation model to address the following questions:
- Can selective fishery regulations lead to reductions in harvest rates on unmarked stocks and can these reductions be translated into reductions in exploitation rates or increases in spawning escapements? Under what circumstances?
- Will there be deleterious impacts on the coastwide coded-wire-tag (CWT) program and management tools, such as harvest management planning models? Can deleterious impacts be overcome?
- If any reductions in harvest rate, exploitation rate, or spawning escapement occur, can they be measured with acceptable levels of accuracy and precision.
- How would fisheries be affected (e.g., catch level, season length, incidental mortality)?
Specifically, the objectives of the analyses were:
- Using sensitivity analysis, determine under what conditions a selective fishery could lead to reductions in exploitation rates (or increases in escapement) for natural stocks. Parameters and variables of interest were:
- The proportion of fish in the selective fishery which are marked for selective removal;
- The mortality rate of fish which are released after capture by fishing gear;
- The proportion of a stock's mortality which occurs in the selective fishery;
- The probability that an angler misidentifies a marked or an unmarked fish;
- The interaction and sequence of selective and nonselective fisheries;
- The mortality induced by applying the mark used to identify fish for selective removal.
- With respect to management regime similar to those currently in place, evaluate how a range of likely selective fisheries scenarios would affect:
- The average and range of exploitation rates on natural and hatchery stocks;
- The average and range of escapements of natural and hatchery stocks;
- The distribution of landed catch and incidental mortality among fisheries;
- The catch and length of fishing season.
- With the same datasets as used in (2), assess the error introduced by selective fisheries into stock assessment tools such as, cohort analysis, harvest management models and stock composition estimators. Determine the extent to which any error that was introduced could be reduced by double tagging (e.g., Group 1 - CWT, adipose clip, ventral clip; Group 2 - CWT, adipose clip) exploitation rate indicator stocks and/or other new stock assessment methods.
Objectives 1 and 2 were addressed by the Modeling and Analysis Workgroup and Objective 3 by the Management Capabilities Workgroup.
2.0 Specifications For The Simulation Model
The selective fishery simulation model (SFM) was designed to have the capability to run in either deterministic or stochastic mode. Although the use of a stochastic model complicates both the computer coding of the model and the interpretation of results, such an approach is warranted for several reasons:
- A Monte Carlo simulation facilitates the presentation of a confidence interval rather than a point estimate for statistics of interest. A confidence interval provides managers with an understanding of the uncertainty of the results. It is unlikely that the result in any year would be equal to the point estimate;
- A Monte Carlo simulation provides a means to evaluate the effect of selective fisheries with respect to other processes affecting the stock. The change in escapement which would result from selective fisheries will be the result of a number of stochastic processes. These processes may have a large affect upon escapement relative to a selective fishery;
- Due to Jensen's Inequality (Dudewicz and Mishra 1988), the expected (or average) value of a statistic defined by a nonlinear function is not equal to the function evaluated at the expected values of the parameters; and
- The distribution of a statistic that is the result of a sequence of stochastic processes (e.g., catch by stock in a fishery) may not be adequately defined by the distribution of a higher order statistic that is dependent upon those stochastic processes (e.g., exploitation rate of a stock in a fishery).
The SFM was designed to realistically simulate the mortality, sampling and distributional processes that result in observed patterns of stock-specific catches and escapements. The model stocks and fisheries in the SFM are not intended to be a complete and true representation of actual stocks and fisheries.
2.1 Model Structure
2.1.1 Species
The SFM was used only to simulate selective coho salmon fisheries. However, the SFM can also be used to evaluate the effects of selective fisheries on chinook salmon.
2.1.2 Stocks
The SFM can incorporate any number of stocks. The current version contains 11 stocks -6 hatchery and 5 wild.
2.1.3 Time Periods
The model has 52 time periods per year. A weekly time step is necessary for three reasons. First, a small time step is needed to simulate the effect of different minimum size limits. Since coho grow rapidly, an accurate estimate of the effect of a size limit requires a relatively fine time scale. Second, the model is formulated as a series of independent, discrete processes. A small time scale is necessary in order to reduce the error introduced by the lack of interaction among the processes. Finally, the algorithms used to model the selective fisheries assume that fish released are not susceptible to recapture within the time step. A small time step is required for this to be an acceptable assumption.
2.1.4 Fishing Areas and Gears
The SFM contains five fishing areas and three gear types (troll, sport, and net).
2.2 Model Flow
Within each simulation run, the sequence of model processes will be as follows:
- Compute initial abundance for each stock;
- distribute initial abundance to the five fishing areas;
- Time loop with:
- Natural mortality;
- Fishing mortality;
- Redistribution of fish (including escapement).
2.3 Model Processes
Mathematical formulations for each model process are provided in the following sections and computer algorithms for the binomial and hypergeometric distributions are provided in Appendices A and B. As noted in Section 2.0, all model processes will have the capability to be run in either a deterministic or stochastic mode. Notation used in the formulas is provided in Appendix C.
2.3.1 Stochastic Variation of Abundance
At the initiation of each Monte Carlo repetition, the survival of fish from smolt to recruitment at January of age 3 is modelled using a normal distribution.
2.3.2 Natural Mortality
At the initiation of each time step, the number of fish which survive from natural mortality is computed using a binomial distribution:
[1]
[2]
2.3.3 Dispersion
In the initial time step, stocks are dispersed to fishing areas using a multinomial distribution:
[3]
For subsequent time intervals, the number of fish from a stock which are in area a' is the sum of fish which either remain in the area or emigrate into it:
[4]
where
[5]
2.3.4 Fishing Mortality
Fishery mortality in the SFM can be controlled using seven different mechanisms:
- Catch Quota - The target harvest in a fishery in a time step is set equal to an input quota;
- Escapement Goal - The target annual catch in a fishery harvesting mature fish is constrained to allow a specified number to pass to escapement. Escapement will occur in the model as a result of either: (1) dispersion of fish from a fishing area; or (2) fish escaping from a terminal harvest.
- Fishing Effort - The harvest rate in a fishery in a time step is a function of the input effort and a catchability coefficient;
- Catch Ceiling - The target harvest in a fishery in a time step is set equal to the catch ceiling unless harvesting the ceiling would require an increase in the harvest rate from the base period level.
- Seasonal Catch Ceiling - The target harvest in a fishery across a specified number of time steps is set equal to the catch ceiling unless harvesting the ceiling would require an increase in the harvest rate from the base period level.
- Selective Fishery - Fish encountered which are marked for selective removal may be retained. The appropriate probability distribution to model the number of marked fish captured in a selective fishery depends upon the fate of the unmarked fish which are released. If unmarked fish are susceptible to recapture, the correct distribution is a generalized Polya distribution (Johnson and Kotz, 1977). Conversely, if released fish are not susceptible to recapture within the time period, the appropriate distribution is a hypergeometric. Analysis indicates that the two options do not differ appreciably when harvest rates within a time period are less than 30% (Fig. 2-1). The multiple hypergeometric distribution is used in the SFM for the following reasons: (1) Harvest rates are likely to be less than 30% within the weekly time step of the model; (2) some reduced susceptibility to recapture within a week is likely; and (3) the probabilities are much more easily computed.
- Daily Bag Limit - The catch of individual fishermen is limited to the daily bag limit. The bag limit may be for total marked and unmarked fish (traditional bag limit), marked fish (selective fishery with bag limit), or for a total number of fish of which a specified number may be unmarked (selective fishery with bag limit of marked and unmarked fish); or
- Size Limit - All fish of length greater than the size limit may be retained (this type of fishery control may be used in conjunction with types 1-7).
For each of the harvest controls listed above, the total encounters are modified to account for dropoff mortality, which is estimated by multiplying the total encounters by time step by the binomial estimate of a fixed fraction.
2.3.4.1 Computation of Fishing Mortalities Associated With Catch Quotas
The target harvest in a fishery in a time step is set equal to an input quota. Catch quotas are simulated using a compound gamma-multiple hypergeometric distribution (the multiple hypergeometric is approximated through iterative application of an univariate hypergeometric). The gamma distribution will be used to simulate management error in achieving the catch quota.
[6]
Conditional upon C*, the catch by stock in the fishery will be given by:
[7]
2.3.4.2 Computation of Fishing Mortalities Associated With Escapement Goals
The escapement goal fishery control algorithm will be applicable only to fishing areas immediately adjacent to the spawning grounds (terminal areas) and only to one gear type. Once fish enter these terminal fishing areas, they are either harvested within the area or pass to escapement. Placing these constraints upon the terminal area fisheries obviates the need for a iterative loop to implement an escapement goal fishery control.
Let the harvest in terminal fishing area a´ be controlled by stock s´. Then the terminal run for the stock will be
[8]
The allowable harvest rate in the area will be
[9]
The target catch in the fishery of the S* stocks present will be
[10]
As with the catch quota, the gamma distribution will be used to simulate management error in achieving the target catch.
[11]
The catch will be allocated to stocks using a multiple hypergeometric distribution.
[12]
2.3.4.3 Computation of Fishing Mortalities With All Other Catch Constraints
The steps below outline the model protocol for computing mortalities by category. This protocol is common to all model fisheries except those that are controlled by quotas or escapement goals.
- Step 1.
- The total encounters in the fishery are obtained by:
[13]where
[14]and error in the expected effort is simulated using a gamma distribution.
[15] - Step 2.
- The total encounters are then allocated to the four categories: (1) marked and tagged (MT); (2) marked and untagged (MU); (3) unmarked and tagged (UT); and (4) unmarked and untagged (UU) using a multiple hypergeometric distribution.
INSERT EQUATION - Step 3.
- Compute the dropoff mortality for each of the four categories from Step 2.
INSERT EQUATION - Step 4.
- Compute the size limit effect for each category. All fish of length greater than the size limit may be retained. For fisheries with a minimum size limit, the probability that a fish is less than the minimum size limit will be computed from a normal distribution:
[16]The number of sublegal sized fish encountered in an effort fishery will be computed by
[17]Mortality of fish less than the size limit will be computed using a binomial equation.
[18] - Step 5.
- If the fishery is selective, compute steps 5a-d, if the fishery is not selective go to Step 6.
- Step 5a. Compute the numbers of UT and UU fish that are released using a binomial distribution.
[19] - Step 5b. Compute the mortality of UT and UU fish released using a binomial distribution.
[20] - Step 5c. Compute the numbers of MT and MU fish that are retained or released using a binomial distribution.
[21] - Step 5d. Compute the mortality of MT and MU fish released using an equation similar to 16.
- Step 5a. Compute the numbers of UT and UU fish that are released using a binomial distribution.
- Step 6.
- Compute the effects of a bag limit if applicable. The catch of individual fishermen is limited to the daily bag limit. Three types of daily bag limits per unit of effort may be specified. Catch may be controlled by: (1) A limitation on the total number of fish retained (traditional bag limit); (2) a limitation on the number of unmarked fish retained (selective fishery); or (3) a limitation on the number of marked and unmarked fish which may be retained.
- Case 1 - Traditional Bag Limit. The method of Porch and Fox (1991) will be used with slight modification:
- Step 6-1a. Compute the number of fish encountered without a bag limit using equation 10;
- Step 6-1b. Generate the frequency distribution of encounters per unit of effort using a negative binomial distribution;
- Step 6-1c. Censor the distribution generated in Step 2 to obtain the catch with the bag limit;
- Step 6-1d. Allocate the catch to stock using a multiple hypergeometric distribution (equation 13).
- Case 2 - Selective Fishery With Bag Limit on Marked Fish. Case 1 will be generalized for a bag limit on marked fish as follows.
- Step 6-2a. Compute the number of marked fish encountered using a binomial distribution similar to equation 10.
[22] - Step 6-2b. Compute the number of marked fish which would be identified and retained in the absence of a bag limit using a binomial distribution conditional on the number of marked fish encountered.
[23] - Step 6-2c. Generate the theoretical frequency distribution of encounters per unit of effort in the absence of a bag limit using a negative binomial distribution.
- Step 6-2d. Censor the distribution generated in Step 3 to obtain the catch with the bag limit of marked fish.
- Step 6-2e. Compute the actual effort in the fishery by solving for the effort in the equation
[24]
where c is a set equal to
[25] - Step 6-2f. Use a negative binomial distribution conditioned on the catch per unit of effort values obtained in Step 6-2d to compute the number of unmarked fish encountered before the catch per unit effort value is obtained (C/f successes).
[26] - Step 6-2g. Compute the total number of unmarked fish encountered by multiplying the effort by the product of the frequency distribution of catch per unit effort (Step 4) and the distribution of the number of unmarked fish encountered (Step 5).
[27]
The remainder of the computations will be similar to Steps 5a-d. - Case 3 - Selective Fishery With Bag Limit on Marked and Unmarked Fish. Computational procedures will be identical to Case 2 except that the lower limit of the range of the summation in equation 26 will be the number of unmarked fish which may be retained plus 1.
[28]
- Step 7.
- Compare catch with seasonal ceiling if applicable, and adjust catches if necessary.
INSERT EQUATION. - Step 8.
- Allocate mortalities in all categories to stock using multiple hypergeometric distributions:
[29]
2.4 CWT Catch Sampling Submodel
Catch sampling will be simulated using a multiple hypergeometric distribution:
[30]
where
[31]
2.5 Model Parameter Values
2.5.1 SFM Stocks
Four types of parameters were required to simulate the abundance and distribution of each stock. (The estimated length of fish by time was not required since no attempt was made to simulate the effect of minimum size regulations. Other analyses have indicated that current size limits for coho salmon have a relatively minor effect upon catch rates and incidental mortality (P. Ryall, CDFO, Pers. Comm.; Scott 1988).)
- The initial distribution of the age 3 cohort among fishing areas;
- the survival from smolt to recruitment at age 3;
- the initial number of smolts; and
- the migration of fish between geographic regions.
2.5.1.1 Initial Distribution of the Age 3 Cohort
The Phase 2 analysis assumed that the age 3 cohort of each stock was initially distributed among five geographic regions (model acronym provided in parentheses):
- Strait of Georgia (GEOS);
- South Puget Sound (SPSD);
- Strait of Juan de Fuca - San Juan Islands (SJDF);
- West Coast Vancouver Island (OCNN); and
- Washington/Oregon Ocean (OCNS).
Estimates of the proportion of the age 3 cohort of each model stock in these areas were obtained with slight modification from Scott and Newman (1987). Their analysis used a multiple regression of CWT data to estimate the distribution of stocks across five geographic areas (GEOS, Puget Sound, OCNN, Washington Ocean, and Oregon Ocean) in the month of July of age 3 for brood years 1976-1978. Although the distribution of stocks in July may not provide an ideal estimate of the distribution of age 3 fish in January, the estimates were judged sufficiently close since most fisheries and adult return migrations have not yet commenced.
The Scott and Newman results were modified in three ways. First, the Puget Sound (PS) estimate was apportioned into the SJDF and SPSD regions using sport catch per unit effort (CPUE) in statistical weeks 1-24 for areas 5 and 6, and for areas 10, 11, and 13. Only weeks 1-24 were used in order to avoid the influence of adults returning later in the year. A second modification was necessary because individual stocks reported in Scott and Newman were aggregated in the SFM. To estimate the initial distribution of the SFM stocks, a weighted average of the distribution of the component stocks was calculated. The weights were the 1990 preseason forecasts of individual stock abundances used by the Salmon Technical Team of the PFMC (J. Banyard, WDFW, Pers. Comm.). Lastly, estimates of the Washington and Oregon proportions of Scott and Newman were aggregated to provide an estimate for the OCNS region. The estimates of the initial distribution of age 3 cohort in the Phase 2 analysis are given in Table 2.1.
2.5.1.2 Survival From Smolt to Age 3
It has been hypothesized that the survival of coho smolts varies annually in response to marine conditions encountered during the first four months of ocean life (Holtby et al. 1990). Since smolts from many stocks or regions (e.g., Columbia River, North Washington Coast, PS) may encounter similar marine conditions, survival rates among stocks are often correlated. For the stocks in the SFM, indicator stocks were selected which could be used to estimate the interdependence of survival rates among stocks. The primary criterion used to select the indicator stocks was the presence of a consistent, long-term record of CWT tagging. From the recoveries of CWTs, a survival rate could be estimated by dividing the estimated recoveries by the number of tagged fish released.
| Table 2.1. Estimated number of smolts for each substock and the initial distribution of the age 3 cohort among geographic regions in the Phase 2 analysis, presented as a percentage of the total age 3 abundance. | |||||||
|---|---|---|---|---|---|---|---|
| Model Stock | Wild Smolts | Hatchery Smolts | Initial Distribution of Age 3 Cohort | ||||
| OCNN | OCNS | SJDF | GEOS | SSND | |||
| OutStk1 | 6,898,587 | 766,512 | 98% | 1% | <1% | <1% | 0% |
| OutStk2 | 14,969,950 | 8,419,358 | 60% | 38% | 1% | <1% | 0% |
| OutStk3 | 0 | 8,168,508 | 6% | 92% | 1% | <1% | 0% |
| InStk1 | 8,132,730 | 7,804,095 | 41% | 1% | 1% | 58% | 0% |
| InStk2 | 4,838,009 | 5,658,628 | 53% | 16% | 19% | 12% | 0% |
| InStk3 | 5,047,002 | 11,645,630 | 49% | 20% | 18% | <1%v | 12% |
A preliminary review of tagging data indicated that not all model stocks had an appropriate indicator stock. For example, wild smolts from the South Fork Skykomish River were initially selected as the indicator stock for the wild component of InStk2, but tagging was found to have occurred only for the brood years 1976-1984. Similarly, Skagit Hatchery was initially selected to represent the hatchery component of InStk2, but no tagging occurred for brood years 1975-1980. As an alternative approach for these model stocks, the time trend of survival rates for the initial indicator stocks of InStk2 and InStk3 were compared for the years in which all indicator stocks were tagged. Since the analysis indicated that the trends were similar, and a longer time series of estimates was available for the indicator stocks for InStk3, these indicator stocks were also used to represent InStk2 in the subsequent analyses. In addition, since a wild indicator stock could not be found for OutStk1, Robertson Creek Hatchery was used for both the wild and hatchery components of this model stocks. Indicator stocks used in the analysis are provided below:
- OutStk1H:
- Robertson Creek Hatchery;
- OutStk1W:
- Robertson Creek Hatchery;
- OutStk2H:
- Quinault National Fish Hatchery ;
- OutStk2W:
- Queets River Wild;
- OutStk3H:
- Big Creek Hatchery;
- InStk1H:
- Quinsam Hatchery;
- InStk1W:
- Black Creek Wild;
- InStk2H:
- South Sound Pens and Minter Creek Hatchery;
- InStk2W:
- Deschutes River Wild and Big Beef Creek Wild;
- InStk3H:
- South Sound Pens;
- InStk3W:
- Deschutes River Wild and Big Beef Creek Wild.
Correlation coefficients were computed for the survival rates for the indicator stocks for brood years in which all stocks were tagged (1983-1990). Although significance tests for the correlation in survival rates are not exact (the survival rates are estimates rather than actual observations), the results indicated that survival rates for Strait of Georgia (GS) and PS varied in a similar manner (Table 2.2). The significance levels for all GS and PS stock combinations (InStk1, InStk2, and InStk3 hatchery and wild stocks) were less than 10%, while significance levels for the remainder of the stock combinations were greater than 10%.
| Table 2.2. Correlation coefficients for survival rates of representative indicator stocks and approximate p-value. | |||||||
|---|---|---|---|---|---|---|---|
| InStk3W | InStk3H | InStk1W | InStk1H | OutStk1H | OutStk2W | OutStk2H | |
| InStk2H |
+0.86
p=0.006 |
- | - | - | - | - | - |
| InStk1W |
+0.66
p=0.071 |
+0.73
p=0.039 |
- | - | - | - | - |
| InStk1H |
+0.70
p=0.055 |
+0.74
p=0.034 |
+0.81
p=0.016 |
- | - | - | - |
| OutStk1H |
+0.23
p=0.591 |
+0.08
p=0.845 |
+0.41
p=0.318 |
+0.36
p=0.385 |
- | - | - |
| OutStk2W |
+0.51
p=0.201 |
+0.18
p=0.676 |
+0.26
p=0.538 |
+0.02
p=0.957 |
+0.16
p=0.702 |
- | - |
| OutStk2H |
-0.04
p=0.924 |
-0.14
p=0.735 |
-0.21
p=0.612 |
-0.22
p=0.596 |
-0.01
p=0.978 |
+0.58
p=0.130 |
- |
| OutStk3H |
+0.40
p=0.321 |
+0.22
p=0.603 |
+0.29
p=0.482 |
+0.61
p=0.110 |
+0.20
p=0.643 |
+0.36
p=0.379 |
+0.46
p=0.253 |
In order to simulate the correlation of survival rates among the PS and GS stocks, a model of survival rates for these stocks was developed which included both a year specific and a stock specific effect:

where
- Sij:
- survival rate for stock i in year j;
- Si:
- average survival rate for stock i,
- Yj:
- normal random variable (year effect) with mean 1;
- Xij:
- normal random variable (stock effect) with mean 0.
The variance of the common normal distribution was estimated using the following steps:
- An index of survival was computed by dividing the estimated survival rate in each year by the average for the stock;
- for each year, an average index for all stocks was computed using the indices obtained in Step 1; and
- the sample variance of the average indices computed in (2) was used as an estimate of the variance for the common normal distribution;
The remaining stock specific variability in each year was computed by subtracting the estimated survival rate from the product of the average survival rate for the stock and the average index for the year. The sample variance of these statistics was then used to estimate the variance of a normal distribution. Survival estimates for those substocks with dependent survivals are presented in Table 2.3.
| Table 2.3. Parameter estimates for the survival from smolt to age 3 for model substocks with dependent survival rates. | ||||
|---|---|---|---|---|
| Model Stock | CWT Survival Indicator Stock | Mean | Common Distribution Variance of Yj | Stock Specific Distribution Variance of Xij |
| InStk1H | Quinsam Hatchery | 0.0696 | 0.1468 | 0.00023 |
| InStk1W | Black Creek Wild | 0.1172 | 0.1468 | 0.00082 |
|
InStk2H
and InStk3H |
South Sound Pens
Minter Creek Hatchery |
0.1064 | 0.1468 | 0.00065 |
|
InStk2W and InStk3W |
Deschutes River Wild
Big Beef Creek Wild |
0.1381 | 0.1468 | 0.00154 |
Survival rates for each of the other stocks in the SFM (hatchery and wild components of OutStk1, OutStk2, and OutStk3) were varied independently using a normal distribution (Table 2.4).
| Table 2.4. Parameter estimates for the survival from smolt to age 3 for model substocks without dependent survival rates. | |||
|---|---|---|---|
| Model Stock | CWT Survival Indicator Stock | Stock Specific Distributions of Survival | |
| Mean | Variance | ||
| OutStk1H,W | Robertson Creek Hatchery | 0.0453 | 0.00060 |
| OutStk2H | Quinault National Fish Hatchery | 0.0200 | 0.00021 |
| OutStk2W | Queets River Wild | 0.0265 | 0.00019 |
| OutStk3H | Big Creek Hatchery | 0.0315 | 0.00049 |
2.5.1.3 Number of Smolts
The number of smolts (Table 2.1) was estimated using the following three steps:
- Estimate the age 3 cohort;
- partition the cohort into hatchery and wild components by multiplying the age 3 cohort by the estimated proportion wild; and
- estimate the number of smolts by dividing the cohort sizes computed in (2) by the smolt survival rates provided in Tables 6.6 and 6.7 [not included in this document].
Estimate of Initial Age 3 Cohort. The initial age 3 cohort for each model stock (hatchery plus wild) was estimated using the nonlinear estimator tool in Microsoft Excel. This tool selects the model parameters which minimize a user defined objective function. To estimate the age 3 cohort size, an objective function was defined as the sum of the squared differences between the predicted and the target catch distributions plus nine times the sum of the squared differences between the predicted and target exploitation rates:

where pij is the observed proportion of the catch of the ith stock in the jth fishery and ui is the observed exploitation rate of the ith stock. The squared exploitation rate deviations were weighted since the catch distribution array had nine times as many values as the exploitation rate array (6 stocks times 9 fisheries compared to 6 stocks).
Inputs to the estimator were:
- Model Fishery Catches. Since not all coho stocks contributing to the fisheries in 1990 were included in the SFM input data set, the catch for each model fishery was adjusted to remove the proportion of the catch not represented by the model stocks. This proportion was estimated by the ratio of the catch of model stocks to the catch of all stocks using an unconstrained least squares model (TCCoho (94)-1; B. Tweit, WDFW, Pers. Comm. (Table 2.5)).
- Initial Distribution. The methods used to estimate the initial distribution of the age 3 cohort were provided above.
- Target Exploitation Rates. Target exploitation rates were calculated from 1990 CWT recoveries of representative hatchery releases. Tag codes used to represent each stock are listed below:
- OutStk1:
- 025418, 025419, 024161 (Robertson Creek)
- OutStk2:
- 635255 (Grays Harbor); 634749 (Humptulips);
- OutStk3:
- 074156, 074157, 074158, 074244, 074247, 074410, 074412, 074445, 074454, 074457, 074458, 074501, 074606, 074607, 074608, 074609, 074610, 074611, 074703, 074705, 074706, 074744, 635256, 635507 (Columbia River Early); 634747 (Columbia River Late);
- InStk1:
- 025235, 025508, 025719, 025720, 025721, 05722, 025723, 025724 (Big Qualicum); 024820, 024832, 025137, 025138 (Chilliwack River);
- InStk2:
- 635516 (Nooksack); 630149, 630216, 630219, 630221, 630222 (Skagit); 630155 (Stillaguamish/Snohomish); and
- InStk3:
- 212852 (Nisqually).
Table2.5. Actual fisheries used as guidelines for input data development and the pseudonyms used in the Phase 2 analysis. The catch adjustment factor is defined as the proportion of the actual fishery's catch represented by selective fishery model stocks. Fishery Pseudonym Fishery Used As Guideline Catch Adjustment Factor Comments OutTr1 West Coast Vancouver Island Troll 0.92 Areas 21, 23-27 OutTr2 Washington Ocean Troll 0.89 Areas 1-4 OutSp1 Washington Ocean Recreational 0.85 Areas 1-4 OutNt1 Washington Coastal Net 1.00 Grays Harbor and North Washington Coastal rivers OutNt2 Columbia River Freshwater Net 0.92 All Fisheries InTr1 Strait of Georgia Troll 1.00 - InSp1 Strait of Georgia Recreational 0.99 Areas 13-19B, 28-29 InSp2 U.S. Juan de Fuca Recreational 0.84 Areas 5&6 InSp3 South Puget Sound Recreational 0.98 Areas 10, 11, and 13 InNt1 Canadian Juan de Fuca Net 0.85 Area 20 InNt2 U.S. San Juan Net 0.93 Areas 7 and 7A InNt3 North Puget Sound Net 1.00 Nooksack, Samish, Skagit, Stillaguamish & Snohomish terminal areas (marine & rivers) InNt4 South Puget Sound Net 0.88 South Puget Sound terminal areas including Areas 10 & 11 To calculate the target exploitation rates, the 1990 estimated recoveries in all of the fishery strata represented by the model and escapement were tallied. From these data, an exploitation rate was estimated as the ratio between the fishery recoveries and the sum of fishery and escapement recoveries. For stocks represented by more than one tag code, a ratio was calculated by summing recoveries across all codes.
InStk1, InStk2, and OutStk3 included several stock components which might experience different exploitation rates (e.g., the Nooksack River, Skagit River, and Stillaguamish River stocks are aggregated in the SFM into InStk2). In these instances, the target exploitation rate for each model stock was estimated by weighting the component exploitation rates by the preseason estimate of abundance used by the PFMC Salmon Technical Team (J. Banyard, WDFW, Pers. Comm.).
- 1990 Preterminal Catch Distribution. The preterminal catch distribution was estimated from recoveries of CWTs in 1990. The catch of each stock in each fishery was divided by the total catch of that stock across all model fisheries to obtain the catch distribution for that stock. The four terminal fisheries in the SFM (InNt3, InNt4, OutNt1, and OutNt2) were not included in calculating the preterminal catch distribution.
Dropoff mortality was added to estimates of abundance obtained from the nonlinear estimator. Dropoff mortality was computed by multiplying the catch in each fishery by the midpoint of the range of the gear specific dropoff mortality rates identified in Section 6.1.2.1. [not included in this document]
Partitioning Age 3 Cohort into Hatchery and Wild Components. Hatchery and wild components for each age 3 cohort were estimated using the following procedures, data, and/or assumptions:
- OutStk1:
- Hatchery production for this stock is limited and was assumed equal to 10% of the total production.
- OutStk2:
- An estimated 39.7% of the 1990 terminal run of the North Washington Coastal stocks was comprised of hatchery production (PFMC 1993).
- OutStk3:
- Since fish originating from wild production comprise less than 10% of the return to the Columbia River (WDF and ODFW 1992), all coho production from this river was assumed to be of hatchery origin.
- InStk1:
- The proportion of the production of this stock originating from hatcheries was assumed equal to the proportion of the 1990 catch in the southern and northern GS recreational fisheries contributed by Canadian hatcheries as estimated from expanded recoveries of CWT (36.3%). The expanded CWT recoveries were obtained from the Mark Recovery Program maintained by the CDFO on the VAX at the Pacific Biological Station, Nanaimo, B.C.
- InStk2, InStk3:
- Estimated from WDFW run reconstruction (Anonymous 1994). The estimated contribution of hatchery production in 1990 to the North Puget Sound and South Puget Sound stocks was 27.0% and 66.5%, respectively.
Estimates of Number of Smolts. The number of smolts for each hatchery and wild substock was back-calculated from the age 3 cohort by dividing the cohort size by the estimated smolt survival rates in Tables 6.7 and 6.8 [not included in this document]. Since the estimated survival rates differ for some hatchery and wild components in the SFM, the hatchery to wild ratios for smolts may not be identical to the ratios presented above for the age 3 cohort. The estimated number of smolts for each substock in the Phase 2 simulation is provided in Table 2.1.
2.5.1.4 Migration
Several simplifying assumptions were made to estimate the proportion of each stock in each area migrating in each time step:
- No migration occurred between geographic regions during statistical weeks 1 through 32;
- all migration was directed toward the river of origin (Fig. 2.2);
- hatchery and wild fish had the same migration timing and pathway;
- 33% of InStk1 in the OCNN region migrated around the north end of Vancouver Island to the GEOS region; and
- catch per unit effort in a fishery provided an unbiased measure of stock abundance.

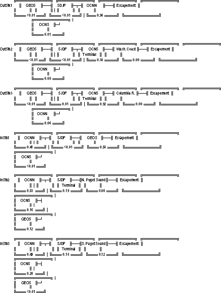
Figure 2.2. Assumed migration pathways for model stocks, by fishery, and the initial distribution (proportion of the total initial abundance, from Table 6-4) [not included in this document]. The migration pathway is toward the escapement block.
With these assumptions, an optimization program was constructed in Microsoft Excel which estimated migration rates for each stock among the five geographic regions discussed above as well as the North Puget Sound Terminal (NSND), South Puget Sound Terminal (SSND), North Washington Coast Terminal (WCTM), Columbia River Terminal (CRTM), and escapement populations (ESCP). The following types of data were used in the estimator:
- Distribution at Week 32. Estimates of the distribution of each SFM stock at the start of week 32 were obtained by running the SFM with the initial cohort and distribution parameters discussed above, SFM catches in each fishery, and the middle of the range of estimates for dropoff mortality.
- Abundance. Methods used to estimate the abundance or relative abundance differed by SFM stock and region (Table 2.6). The abundance in terminal areas (NSND, SSND, WCTM, and CRTM) was estimated from run reconstructions which utilized terminal catch, entry timing, and exit timing data. In contrast, CPUE was used in preterminal areas (GEOS, SJDF, OCNS) as an index of abundance since estimates of actual abundance were not available.
Table 2.6. Description of source data used to estimate the abundance or relative abundance of each model stock in each region. Geographic Region Model Stocks Years Used Abundance Source Data Type GEOS InStk1 1984-1991 Recreational fishery CPUE. NSND InStk2 1990 Run reconstruction using entry timing estimated from the Area 7 recreational CPUE and escapement timing estimated from the Skagit River test fishery. SSND InStk3 1990 Run reconstruction using entry timing estimated from the Area 9 recreational CPUE and escapement timing estimated from the Deschutes River trap. SJDF InStk1
InStk2
InStk31990 Recreational fishery CPUE. OCNS All 1984-1990 Recreational fishery CPUE in areas 1-3. WCTM OutStk2 1990 Run reconstruction using entry pattern from commercial net fisheries in Grays Harbor and escapement timing estimated from traps on Bingham Creek and the Hoquiam River. CRTM OutStk3 1990 Run reconstruction using entry pattern estimated from the Buoy 10 recreational fishery and escapement timing estimated from counts at Bonneville Dam. - Catch by Fishery and Time. The catch of each SFM stock in each fishery obtained from the Excel spreadsheet used to estimate the initial distribution and abundance (see Section 2.5.1.3) was apportioned to weekly time steps using the temporal distribution of actual catch in 1990.
- Fishery Exit Timing. The following sources of data were used to estimate the timing of escapement from the SFM fisheries for each of the stocks:
- OutStk1. The exit timing for OutStk1 was estimated based upon the SWVI net CPUE in the years 1972 and 1979. These years were selected based upon the relatively protracted fishing schedule.
- OutStk2. Trap counts in the West Hoquiam River (Scott Chitwood, QDNR, Pers. Comm.) and in Bingham Creek (D. Seiler, WDFW, Pers. Comm.) in 1990 were used to estimate the exit timing of OutStk2 from the North Washington terminal population.
- OutStk3. Counts of coho salmon at the Bonneville Dam (D. Simmons, USFWS, Pers. Comm.) were used to estimate the time at which OutStk3 exited from the Columbia River terminal population.
- InStk1. The escapement timing for InStk1 was obtained by converting the semi-monthly estimates in Argue et al. (1983) to weekly rates.
- InStk2. Catch in the Skagit River test fishery (Area 2, Blakes, and Spudhouse fishing sites) in 1990 (R. Henderson, SSC, Pers. Comm.) was used to estimate the exit timing of InStk2.
- InStk3. Counts in the Deschutes River trap in 1990 (D. Seiler, WDFW, Pers. Comm.) were used to estimate the exit timing of InStk3 from the South Puget Sound fisheries.
The computations of abundance and migration in the estimation program were similar to a deterministic version of the SFM. The immigration rate parameters were estimated by minimizing the sum of squared differences between the predicted and observed abundance indices, where an abundance index is defined as the abundance in a time step divided by the total abundance in time steps 32-52.
2.5.2 SFM Fisheries
The 13 model fisheries used in the Phase 2 analysis represent a range of potential stock locations (outside, migratory transition, and inside) and gear types. The actual fisheries used as guidelines for input data development and the pseudonyms used in the Phase 2 analysis are given in Table 2.7 [not included in this document].
2.5.2.1 SFM Fishery Definition
The Phase 2 analysis required up to five types of information for each fishery:
- Base catch;
- base effort;
- catchability coefficients;
- expected annual variability in fishing effort;
- escapement goals for stocks used to control the terminal area fisheries that are modelled to achieve an escapement goal.
Base Catch. Base catch data for the fisheries were previously described (see Section 2.5.1.3).
Base Effort Data. Base effort data for the SFM fisheries were compiled and adjusted using the same methods as described for the base catch.
Catchability Coefficients. The catchability coefficient, an estimate of gear efficiency, is required for simulating selective fisheries, bag limit effects, or fisheries controlled by defined effort levels. For the SFM, catchability coefficients were estimated using the base catch and effort data and the equation

where Ka,g is the estimated scalar to account for the presence of a bag limit. The estimated catchability coefficients are provided in Table 2.8 [not included in this document].
To simulate the effects of bag limits in SFM fisheries, the catchability coefficient was scaled to simulate a reduction in gear efficiency. To simulate this correctly, the original catchability coefficient must reflect the "true" efficiency of the gear. Since the catchability coefficients were calculated from actual fishery data, the coefficients calculated from recreational fisheries where bag limits were in effect may not reflect the true efficiency of the gear. This will be the case for those fisheries where bag limits greatly increase the likelihood that an angler will be required to halt a fishing trip prematurely due to catching the allowable number of fish. For these fisheries the calculated catchability coefficients need to be corrected to remove the bag limit effect.
In fisheries operating without a bag limit, no correction to the catchability coefficient was made. It was assumed that catches represent all fish brought to the boat. This assumption may not be valid for cases where fish are released (e.g., more proficient anglers). Also, the "true" catchability may be not be represented by catches in fisheries that have size limits.
In fisheries with bag limits, the effectiveness of the bag limit was estimated by comparing the duration of trips with and without landed limits. This methodology assumes that anglers terminate their fishing trip once they catch the bag limit. The specific methods for each SFM recreational fishery are briefly described below.
- Washington Ocean Recreational (OutSp1). Although in general, the sampling data from the ocean recreational fishery does not include information on the duration of a boat trip, fortuitously the return times for charter boats were collected at Westport (Area 2) in 1990. Trip length was defined as the difference between the start and return times, assuming a common starting time for all boats of 5 AM, and subtracting an assumed round trip travel time to the fishing grounds of two hours. The average trip length in the presence of a bag limit computed using these methods was 6.46 hours, and the trip length in the absence of a bag limit was assumed equal to 9 hours. To compute what the catch would be in the absence of a bag limit, an expansion factor for the catch was computed which was equal to the ratio of the trip length without a bag limit to the trip length with a bag limit:

Application of this factor to the Washington Ocean recreational fishery assumes that charter boat angling behavior is representative of all anglers. Charter boats represented roughly one-half of the total angler trips for the fishery. - Strait of Georgia Recreational (InSp1). Daily bag limit data were examined for the GS recreational fishery for the 1987 catch year. This was a year of moderate coho salmon catch (641,000) and effort (590,000 boat trips). The bag limit for salmon is four fish per day of which a maximum of two can be chinook salmon. The maximum number of coho salmon is therefore four per day, but this would be reduced by any chinook salmon caught during that day. In 1990, only 1.8% of the 72,250 anglers surveyed caught the maximum possible number of four coho salmon per day. The effect of the chinook salmon catch on the daily coho salmon catch is believed to be small; chinook salmon catch is approximately 25% of the coho salmon catch. Due to the small proportion of anglers catching four coho salmon per day the catchability coefficient for this fishery was not adjusted in the Phase 2 SFM input file.
- U.S. Juan de Fuca Recreational (InSp2). Catch data from 1986, 1990, and 1991 were used to analyze the effect of bag limits on the catch in the Strait of Juan de Fuca recreational fishery (catch areas 5 and 6). Although 11% - 32% of the boats had limits during the high catch period (July - September), the average difference in trip duration was small (< 45 minutes). Because of the similar trip durations, the catchability coefficient for this fishery was not adjusted in the Phase 2 selective fishery input file.
- South Puget Sound Recreational (InSp3). For a range of years (1986 - 1987, 1990 - 1992), a very low percentage of boats landed with catch limits, even during the peak catch months of August through October (< 2%). As a result, the catchability coefficient for this fishery was not adjusted in the Phase 2 selective fishery input file.
Although these results may be adequate as guidelines for the Phase 2 analysis, additional analysis of bag limit effects will be required to accurately model impacts of bag limit regulations in selective or nonselective fisheries.
Error and Annual Variability in Fishing Effort. Management error occurs in fisheries controlled by catch quotas, escapement goal objectives, and effort limitations and is simulated in the SFM using a gamma distribution. The gamma distribution was chosen because it allows one to create a wide variety of single mode densities. Methods used to estimate the parameters for the gamma distribution for each fishery are discussed below and summarized in Table 2.9.
- Net Fisheries Controlled by Escapement Objectives. Error in the management of net fisheries controlled by escapement objectives (e.g., many PS net fisheries) can result from both: (1) an inability to precisely control the harvest, and/or (2) imprecise estimates of the actual number of fish available for harvest. Inseason and postseason estimates of the allowable catch for PS net fisheries managed for escapement objectives (Teresa Clocksin, WDFW, Pers. Comm.) were used to estimate the parameters for a gamma distribution of the ratio of actual to desired catch (Table 2.9). Identical parameter values were used for the two net fisheries in the model controlled by escapement goal objectives in the simulations (InNt3, OutNt2).
- Fisheries Controlled by Catch Ceilings. The inability to precisely control the catch may result in the actual catch exceeding the management ceiling. For OutTr1, the parameters of a gamma distribution were estimated by comparing the actual catches with the ceiling in effect in each year. The annual catch was divided by the catch ceiling for those years following implementation of the treaty where the coho salmon catch was constrained by the catch ceiling or management actions for species other than coho salmon. This ratio represents the annual deviation around the ceiling. The mean and standard deviation of the annual deviations was used to estimate the parameters of the gamma distribution.
- Fisheries Controlled by Effort Limitations. A number of fisheries, such as sport fisheries in PS and GS and net fisheries in many coastal rivers of the Washington coast, are controlled using limitations on the fishing effort. The control may be either direct (e.g., a specified number of boat days) or indirect (e.g., bag limits and minimum size limits). In the latter case, since inseason management of the effort does not occur, the actual effort varies on an annual basis in response to catch rates, weather, and other factors.
For all model fisheries except OutNt2 and InNt3, the weekly effort values for weeks when coho salmon were landed were averaged across years. The effort in each week was then divided by the mean effort for that week to obtain weekly deviation in each year. The mean and a weighted measure of the standard deviation of the weekly deviations were computed to obtain the moment estimates of the gamma parameters. A weighted measure of the standard deviation was computed since the amount of effort that occurs in an individual week is quite variable. The weights were calculated by dividing the weekly effort totals by the total annual effort for each year. The weights used to calculate the standard deviation are the weekly averages, across years, of these proportions.
The parameters for the gamma distribution of effort in the InSp1 fishery were calculated in a similar manner to that described above. However, since weekly effort information was not available for this fishery, a preliminary step was required to partition the monthly effort data into weekly estimates. This was done by partitioning the monthly effort estimates equally among the number of statistical weeks in each month.
Table 2.9. Data sources and parameter estimates for the gamma distribution used for each fishery. Fishery Data Type Years Included Gamma Parameters 

OutTr1 Effort 1986-1987,1989-1991 4.22 4.22 OutTr1 Catch 1986-1987, 1989-1991 215.39 200.67 OutTr2 Effort 1985-1990 0.97 0.97 OutSp1 Effort 1985-1990 6.99 6.99 OutNt1 Effort 1985-1990 6.89 6.89 OutNt2
and
InNt3Target and Actual Catch 1986-1992 99.47 108.40 InTr1 Effort 1985-1993 5.27 5.27 InSp1 Effort 1985-1993 23.59 23.59 InSp2 Effort 1985-1990 8.73 8.73 InSp3 Effort 1985-1990 6.41 6.41 InNt1 Effort 1985-1993 1.17 1.17 InNt2 Effort 1985-1990 3.70 3.70 InNt4 Effort 1985-1990 7.78 7.78 The gamma distribution parameters were also calculated in a similar manner for the OutSp1 fishery; however, only those weeks where all four ocean management areas were simultaneously open were included in the calculation.
For the OutTr2 fishery, the Washington Treaty troll landings were transformed into days fished using sampling data from the WDFW Ocean Sampling Program.
Escapement Goals. InNt3 and OutNt2 were simulated as escapement goal fisheries. In simulations, these fisheries will have no catch until the escapement goal for the controlling stock is reached. For the InNt3 fishery, the controlling stock is the wild component of InStk2. The escapement goal for this component is set at 30% of the initial age 3 cohort size. For OutNt2, the controlling stock is OutStk3. The escapement goal for OutStk3 was set equal to one minus the target exploitation rate times the initial age 3 cohort (see Section A1.3.3) for a description of the initial age 3 cohort size and the target exploitation rates).
2.5.2.2 Parameters for Bag Limit Effect
The SFM includes an algorithm to simulate the effect of a bag limit on the daily catch in recreational fisheries. Using procedures derived from Porch and Fox (1991), the model algorithm initially uses a negative binomial distribution to simulate the distribution of CPUE in the absence of a bag limit. Catch for a fishery regulated by a bag limit is then computed by truncating this CPUE distribution at the limit. The distribution is computed using the mean CPUE and the variance to mean ratio, a parameter that relates the shape of the distribution to the CPUE.
From our initial analysis, the Washington ocean recreational fishery was the only fishery that was effectively constrained by a bag limit. We estimated that in 1990, the two salmon bag limit reduced the catch by 29%. Based on that analysis, a two salmon bag limit was specified for the OutSp1 fishery. We assumed that the bag limit also effectively reduced the catch in OutSp1 by 29%. This reduction was approximated in the SFM by a variance to mean ratio of two. No alternative bag limits were considered for any fisheries in this analysis. If bag limit effects are simulated for additional model fisheries, or if bag limit changes are to be simulated, then estimates for the mean to variance ratio appropriate for those fisheries will need to be calculated.
2.5.3 Release Mortality
Release mortality is defined as the probability that a fish brought back to the fisher and released in a selective fishery will subsequently die as a result of the catch-and-release process. The mortality of fish released is likely to depend upon the gear and technique used to capture the fish, the location of capture (e.g., ocean, estuary, or freshwater), and the species and size of the fish released (TCChinook (87)-4; WDF et al. 1993). Of these factors, the effect of the type of gear upon the mortality rate has received the greatest study. Three release mortalities were used in the SFM:
- Recreational, trap, and beach seine (7% - 15%); marine recreational hook-and-line fisheries for adult coho and legal-sized chinook (62 cm fork length), traps, and beach seines. The midpoint - 11% - was used in the SFM;
- troll and purse seine (20% - 30%); troll fisheries and purse seine fisheries in which a small number of fish are caught per set. The midpoint - 25% - was used in the SFM; and
- gillnet and purse seine (30% - 70%); gillnet fisheries and purse seine fisheries in which a large number of fish are caught per set. The two extremes - 30 % and 70% - were used in the SFM.
2.5.4 Dropoff Mortality
Dropoff mortality is defined as the probability that a fish that encounters the gear and subsequently drops off will die. Within the SFM, the dropoff mortality is controlled by the number of encounters which are not brought to the boat, expressed as a proportion of the landed catch, and the probability that a fish which drops off the gear dies as a result of the encounter. For input into the SFM, the product of these two parameters was specified and termed the dropoff mortality rate.
As with release mortality, the dropoff mortality rate is likely to depend upon a number of factors, including the type of gear, the fishing technique, and the number of predators in the vicinity of the gear. Since the fate of the fish lost typically cannot be observed, the parameter is difficult to estimate. The dropoff mortality rate was stratified using categories similar to those previously identified for release mortality:
- Recreational (1% - 5%); in developing input data for a simulation model of coho fisheries, Hunter (1985) assumed that the dropoff mortality rate was equal to 5% of the landed catch for recreational fisheries. Discussions with biologists familiar with sport fisheries indicated that the proportion of fish which drop off might range from 1:3 to 2:3 of the fish that are successfully brought to the boat (J. Packer, WDFW, Pers. Comm.; P. Lawson, ODFW, Pers. Comm.). When the range of parameter values was computed for the sensitivity analysis, it was assumed that fish which dropoff are likely to be less severely wounded and/or subject to less handling than fish which are landed. Hence, the dropoff mortality rate was computed by multiplying 50% of the release mortality rate for recreational gear by the range of estimates for the number of fish lost before landing at the boat. The mid-point - 3% - was used in the SFM.
- Troll (3% - 9%); the simulation model developed by Hunter (1985) used a dropoff mortality rate of 5% for troll fisheries. For the sensitivity analysis, a range of 3% to 9% was calculated using the same methods as described for recreational hook-and-line fisheries. The mid-point - 6% - was used in the SFM.
- Net (10% - 30%); several studies have indicated that the dropoff mortality in net fisheries can be high, particularly if predators remove fish from the net (Geiger 1985; Beach et al. 1981). For example, harbor seal interactions with a gillnet fishery for chinook salmon in South Puget Sound in 1982 resulted in an estimated dropoff mortality rate of 87% (January 18, 1983 letter from Jack Rensel to WDF). A technical team which assessed Puget Sound gillnet fisheries (WDF and NWIFC 1984) indicated that the rate was likely to vary depending upon the predators in the areas, the species, the intensity of fishing, and the type of gear. Depending upon the fishing area, recommended rates in that report for coho salmon ranged from 2% to 23%. The wide range selected by the committee (10%-30%) reflects both the between fishery variability in this parameter and the uncertainty in the value estimated for any particular fishery. The mid-point - 20% - was used in the SFM.
2.5.4 Retention Error Rate
The retention error rate is defined as the probability that an unmarked fish will be retained in a selective fishery. Failure to release a fish not marked for selective removal could occur if:
- Naturally occurring marks are identical to the mass mark;
- a fisher fails to identify the lack of a mark; or
- a fisher does not comply with regulations.
The retention error rate was estimated to range from 2% to 10%. The low end of the range (2%) was based upon factors 1) and 2). The upper end of the range (10%) was based on factors 1-3. Predicted noncompliance rates were estimated from those initially observed for chinook salmon minimum size restrictions in the Strait of Georgia recreational fishery and in selective fisheries for steelhead in British Columbia and Washington. The retention error rate was fixed at 6% for all SFM runs.
2.5.5 Marked Recognition Error Rate
The marked recognition error rate is defined as the probability that a marked fish will be inadvertently released. The error rate will depend upon the mark which is used to identify fish for selective removal. Fins which are likely to be regenerated or are difficult to observe will result in a higher rate of error. Unpublished studies of ventral-clipped coho salmon by WDFW indicate that at return to the hatchery, 3-4% of the fish had a completely regenerated ventral fin, 20% had less than 50% of the ventral fin missing, and 15% had more than 50% of the ventral fin missing but less than completely removed (L. Blankenship, WDFW, Pers. Comm.). The marked recognition error rate was modelled at 6% for the adipose clip simulations and at either 10% or 30% for the ventral clip simulations.
2.5.6 Mark Induced Mortality Rate
Mark induced mortality is defined as the incremental mortality associated with marking fish for identification in a selective fishery. The mortality will vary depending upon the mark which is used and the size of fish at release; fish marked at a smaller size will have a higher mortality rate. Estimates range from 0%-8% for an adipose clip and 5%-20% for a ventral clip (Ad-hoc Selective Fishery Evaluation Committee 1995). The mark induce mortality rate was modelled at 4% for the adipose clip simulations and at either 6% or 20% for the ventral clip simulations.
2.6 Model Output
Model output options will consist of:
- Input Documentation (ASCII).
- Record 1 - Run Identifier;
- Record 2 - Comments; and
- Record 3 forward - Documentation of all input parameters and variables.
- General Model Output Files.
- Mortality and Escapement File.
- Stock;
- Mass Mark Flag;
- Fishery;
- Time;
- Untagged Catch;
- Untagged Shakers;
- Untagged Selective Fishery Mortality;
- Tagged Catch;
- Tagged Shakers; and
- Tagged Selective Fishery Mortality.
- Abundance File.
- Time;
- Stock;
- Mass Mark Flag;
- Total Abundance (tagged plus untagged); and
- Tagged Abundance.
- Mortality and Escapement File.
- Sensitivity Analysis File (ASCII).
- Proportion of fish in the selective fishery which are marked;
- Mortality rate of fish which are captured and released;
- Proportion of a stock's mortality which occurs in the selective fishery;
- Probability that an angler misidentifies an unmarked fish;
- Exploitation rate on each natural stock; and
- Escapement of each natural stock.
- Stock Composition Estimator Evaluation. Used for input to stock composition estimator used by the Coho Technical Committee. (F = number of fisheries used in analysis; I = number of indicator stocks used in the analysis.)
- Record 1. List of stock names;
- Records 2 - F. Estimated CWT recoveries by stock; and
- Records (F+3) - (2F +1). Fishery name, Total Catch in Fishery
3.0 Model Operation
3.1 Command File
Input to the model is provided via a file containing a set of commands and parameter values. The model reads and processes the commands in the order in which they are received. Since the commands are executed sequentially, the model does not include an explicit time step. Rather, the user is required to organize the input commands in the appropriate order.
Comment lines and commands within the input file follow several conventions. To simplify documentation of the command set, comment lines can be inserted at any point by placing a "#" sign in column 1. Within a command line, keywords and parameters are separated by a space. A command may be extended over several lines by placing a "+" sign as the last character on a line. Each command file must begin with several input parameters or commands to initiate the model run. An example is provided below.
1 (run identifier) 5000 (random number seed) 0 (flag for type of run; 0 = stochastic, 1 = deterministic) 2 (number of stocks) SPS NO 500000 50000 GS YES 100000 5000
Line 1 provides a run identifier, line 2 a random number seed, line 3 indicates if the run is stochastic or deterministic, and line 4 indicates the number of stocks in the model run. Subsequent lines in the command file will vary depending upon the application. In this case, lines 5 and 6 provide the initial values for the stocks included in the model run. Fields required are the name of the stock, a flag for identification of mass marked stocks, the total number of fish, and the number of fish which have a CWT. After initialization of the stocks, the user may utilize in any order the commands discussed in Section 3.0.
3.2 Command Syntax
Commands which may be used in the simulation are discussed below.
3.2.1 Cfishery
(Routine process_effort_fishery)
CFISHERY <Fishery Name> <Time Step> <Maximum Catch> <Effort> <Catchability>
<Number of Stocks> <List of Stocks>
SLIMIT <Minimum Size> <Mean Length of Fish> <Standard Deviation> <Hooking Mortality Rate>
DBAG <Total Bag Limit> <Selective Fishery Unmarked Bag Limit> <Ratio of Variance to Mean CPUE>
DROPOFF < Dropoff Rate> <Mortality Rate>
GAMMA <Scale Parameter> <Shape Parameter>
SEASON <Catch>
SELECTIVE <Hooking Mortality Rate> <Unmarked Recognition Error Rate> <Marked Recognition Error Rate>
Purpose. Computes the stock specific catch resulting from a specified level of fishing effort and/or maximum total catch, writes record of mortality to output file, and decrements stock abundance. If the total catch resulting from a specified level of effort exceeds the maximum catch, the total catch is set equal to the maximum. Optional keywords are SLIMIT (minimum size limit), DBAG (limit on number of fish which may be harvested per unit of effort), DROPOFF (dropoff mortality), GAMMA (error in the fishing effort), SELECTIVE (provides for selective removal of a specified type of fish), and SEASON (limitation on the catch for the entire year).
3.2.2 Combine
(Routine combine)
COMBINE <Stock Name> <Number of Substocks> <Substock 1>...<Substock n>
Purpose. Combines substocks into an aggregate stock.
3.2.3 Efishery
(Routine process_effort_fishery)
EFISHERY <Fishery Name> <Time Step> <Effort> <Catchability> <Number of Stocks>
<List of Stocks>
SLIMIT <Minimum Size> <Mean Length of Fish> <Standard Deviation> <Hooking Mortality Rate>
DBAG <Total Bag Limit> <Selective Fishery Unmarked Bag Limit> <Ratio of Variance to Mean CPUE>
DROPOFF < Dropoff Rate> <Mortality Rate>
GAMMA <Scale Parameter> <Shape Parameter>
SEASON <Catch>
SELECTIVE <Hooking Mortality Rate> <Unmarked Recognition Error Rate>
<Marked Recognition Error Rate>
Purpose. Computes stock specific catch from a specified level of fishing effort and a catchability coefficient, writes record of mortality to output file, and decrements stock abundance. Optional keywords are the same as for CFISHERY.
3.2.4 EGfishery
(Routine process_escapement_fishery)
EGFISHERY <Fishery Name> <Number of Stocks> <Controlling Stock> <List of Remainder of Stocks>
Purpose. Computes stock specific catch in a fishery in which the harvest is controlled by an escapement goal and writes morality and escapement to an output record. The routine assumes that the escapement goal applies to the first stock in the stock list.
3.2.5 Escapement
(Routine escapement)
Escapement <Area> <Number of Stocks> <Stock 1> <Escapement Proportion>...<Stock n>
<Escapement Proportion>
Purpose. Removes a portion of a stock to escapement, decrements stock abundance, and writes a record to an output file.
3.2.6 Initialmort
(Routine smoltkill)
INITIALMORT <Probability of Mortality)
Purpose. Computes natural mortality from smolt to January of age 3.
3.2.7 Natmort
(Routine natmort2)
NATMORT <Probability of Mortality>
Purpose. Computes natural mortality and decrements stock abundance.
3.2.8 Qfishery
(Routine qfishery)
QFISHERY <Fishery Name> <Time> <Quota> <Number of Stocks> <List of Stock Names>
SLIMIT <Minimum Size> <Mean Length of Fish> <Standard Deviation> <Hooking Mortality Rate>
DROPOFF < Dropoff Rate> <Mortality Rate>
GAMMA <Scale Parameter> <Shape Parameter>
Purpose. Computes stock specific catch for a specified total catch in a time period, writes record of mortality to an output file, and decrements stock abundance. Optional keywords are SLIMIT, DROPOFF, GAMMA, and SEASON.
3.2.9 Separate
(Routine rc_separate)
SEPARATE <Stock Partitioned> <Number of Stocks> <Stock 1> <Stock 1 Proportion>...<Stock n>
<Stock n Proportion>
Purpose. Partitions a stock into substocks. For example, a Skagit River stock might be separated into a component in outside areas (e.g., Washington Coast and WCVI) and an inside component (e.g., Strait of Georgia and Puget Sound).
3.3 Numerical Examples
The following sections provide examples of the several of the fishing processes operating in the deterministic mode.
3.3.1 Effort Fishery
The following lines of text illustrate the definition of six stocks and an effort fishery operating on the stocks during time period "33" with 1,000 units of effort and a catchability, q = 0.00001. Each of the stocks are given the same initial abundance. The items on each stock definition line are: the key word "STOCK", followed by the stock name, a yes or no flag indicating whether the stock is mass marked, the total number of fish in the stock, and the number of fish that are CWT. The fishery specifications are split between two lines with a "+" character indicating continuation on the next line.

The corresponding model output is shown below:

In this example, total catch is given by:
C = N(1 - e-qf) = 2,400,000(1 - e-[(0.00001)(1,000)]) = 23,880.4
In the deterministic version, total catch is allocated among the six stocks simply in proportion to their abundance.
3.3.2 Seasonal and Time Step Specific Ceilings
Operation of the ceiling mechanisms is illustrated in the following examples. The first set of instructions defines six stocks of equal size and a sequence of six effort fisheries, each with identical effort and catchability except that the first instruction also contains a seasonal catch ceiling of 40,000 pieces for the fishery.

The seasonal ceiling constrained the fishery to only two "time periods" as shown in the output records below:

A second set of inputs identical to the first except that the second fishery instruction contains a ceiling limited to just the scope of a single instruction. The second ceiling operates in addition to the overall seasonal ceiling:

The constraint in the second instruction limits the harvest during that "time" and prolongs the fishery over three instruction steps:

The total catch is the same (40,000 pieces), only the duration of the fishery is different.
3.3.3 Escapement Goal Fishery
The current form of the escapement goal fishery specifications is shown in the next example. Six stocks have been defined with equal abundance and two fisheries are designated escapement goal fisheries, each operating on two different lists of stocks. The first stock in each of the lists is designated the controlling stock. For the ELLIOT_BAY_NET fishery the controlling stock is SSOUND_NORMAL_NORTH while the controlling stock for SKAGIT_BAY_NET is SKAGIT_RIVER_NORTH. The escapement goal in the first fishery is set to 10,000 while the goal in the second is set at 50,000. There are no time designations on the fishery instructions since the fishing process is presumed to occur at the end of the year and represents the accumulated harvest over a number of time periods. It is further presumed that the stocks in the list are to be completely fished out since all fish are either caught or go to escapement. This command is typically used in conjunction with the SEPARATE command. The user previously allocates fish from a main stock to these terminal area stocks periodically throughout the fishing process. The number of fish in the first (controlling) stock for each escapement goal fishery is compared with the goal and if there are fish in excess of the goal, fishing is permitted on the stocks available to the fishery.

The model output corresponding to these instructions is shown below.

The designated goal of the SSOUND_NORMAL_NO is 10,000 fish. Since the stock abundances are equal in this example, the allowable harvest in the ELLIOT_BAY_NET fishery on each of the stocks is: 30,000 - 10,000 = 20,000. There are insufficient fish in the SKAGIT_RIVER_NO stock to meet the 50,000 fish goal, so all the fish go to escapement (designated by the "E" flag near the beginning of each record). Note that for these terminal fisheries, the process operates on sums accumulated over all instructions so the "time" value in the output record is set to some meaningless value, 99 in this case.
3.3.4 Selective Fisheries
To illustrate operation of selective fishing rules, the first instruction set for the effort fishery is modified to make one of the stocks mass-marked and the "SELECTIVE" command is added to the fishery instruction with a mortality rate of 10% and error rates on identification/compliance for both marked and unmarked fish set to 1%:

The resulting output shows the landed catch for the mass-marked stock (QUINSAM_NORTH) decremented by 1% (i.e., 3980.1 - 39.801 = 3940.3) to account for error in identification of marked fish with 10% of the fish thrown back ( = 4) placed in the selective mortality column. The error rate applied to the catch of unmarked stocks results in a catch of about 40 fish, and of the 3980.1 - 39.801 = 3940.3 fish thrown back for each stock, 10% or 394 fish die as shown in the selective mortality column.

If a continued dropoff rate/dropoff mortality of 5% is added to these same instructions, the resultant shaker mortality of 23,880.4 X 0.05 = 1,194 is distributed among all stocks (i.e., 199 = 1194/6) without affecting the other values:

The example can be further complicated by adding a minimum size limit command. The case below shows the size limit equal to the population mean. This results in one half of the population below the legal size limit since the distribution of fish lengths is assumed to be normal and symmetric about the mean.

The landed catch and selective mortality categories are halved since the selective fishing rules apply only to the legal half of the population. The mortality rate of 50% applied to the sublegal component and divided among stocks (995 = (11,940.2 X 0.5)/6) then added to the 199 fish dropoff mortality yields a total shaker mortality of 1,194 for each stock.

3.3.5 Daily Bag Limit
Finally, a case where the landed catch is constrained by a daily bag limit is shown in the last example. The parameters for the previous fishery controls remain the same but a daily bag limit of 3 fish is added. Since this is a selective fishery, the bag limit applies to marked fish in the catch plus any unmarked that are inadvertently included due to incorrect identification. The last value in the daily bag limit instruction indicates the ratio of variance:mean in the underlying distribution of catch per angler-day. It's important to remember that the catch level generated in a fishery with a daily bag limit control is presumed to result under the condition of no bag limit. If the data are censored or truncated, Porch and Fox (1991) provide some approaches for obtaining distribution parameter estimates that approximate the result without the bag limit.

The effect of the 3 fish daily bag limit is to constrain the landed catch to just over 3/4 of the original catch (marked catch plus unmarked kept = 2069.6 = 1970.1 + 5(19.9)). The ratio is 0.774598 and is applied to the shaker and selective fishery mortalities as well.
4.0 Literature Cited
Boswell, M.T., J.K. Ord, and G.P. Patil. 1979. Chance mechanisms underlying univariate distributions, p. 3-156. In J.K. Ord, G.P. Patil, and C.Tallied [eds.] Statistical distribution in ecological work. International Co-operative Publishing House, Fairland, USA.
Johnson, N.L. and S. Kotz. 1977. Urn models and their application. John Wiley and Sons, New York, USA.
MAWG (Modelling and Analysis Group) and MCP (Management Capabilities Group). 1994. PSC selective fishery evaluation: Simulation model specifications. Unpublished manuscript. Northwest Indian Fisheries Commission, Olympia, USA.
Porch, C.E. and W.W. Fox, Jr. 1991. Evaluating the potential effects of a daily bag limit from the observed frequency distribution of catch per fisher, p 435-456. In D. Guthrie, J.M. Hoenig, M. Holliday, C.M. Jones, M.J. Mills, S.A. Moberly, K.H. Pollock, and D.R. Talhelm [eds.] Creel and angler surveys in fisheries management. American Fisheries Society Symposium 12, American Fisheries Society, Bethesda, USA.
Appendix A. Computer algorithm for generating binomial random variable.
Let
- p:
- probability of success;
- n:
- number of trials;
- X:
- random number (0 £ X< 1);
- m:
- binomial random value (output of routine).
Step 1. Compute the upper and lower bounds for the random variable:

Step 2. Use the lower bound as a seed value and compute the density using Stirling's Approximation.
By Stirling's Approximation,

Step 3. Set the distribution equal to the density.

Step 4. Loop to locate binomial random variable.
- While ((m < Upper Bound) and (Dist < X))
- m = m + 1
- Den = (Den) (p(n - m + 1))/((1 - p)m)
- Dist = Dist + Den
- End
Appendix B. Computer algorithm for generating hypergeometric random variable.
Let
- N:
- population size;
- M:
- number in subpopulation;
- p:
- proportion of population that is from subpopulation (M/N);
- n:
- sample size;
- X:
- random number (0 £ X < 1);
- m:
- hypergeometric random value (output of routine).
Step 1. Compute the upper and lower bounds for the random variable:

Step 2. Use the lower bound as a seed value and compute the density using Stirling's Approximation.


By Stirling's Approximation,

where

Step 3. Set the distribution equal to the density.

Step 4. Loop to locate hypergeometric random variable.
- While ((m < Upper Bound) and (Dist < X))
- m = m + 1
- Den = (Den) ((pN - m + 1)(n - m + 1))/(m(N - pN - n + m))
- Dist = Dist + Den
- End
Appendix C. Notation and symbols.
Indices
- a
- area (1,...,A) (includes escapement);
- g
- gear (1,...,G);
- s
- stock (1,...,S); stocks 1 to J are marked for selective removal; J + 1 to S are unmarked.
- t
- time (1,...,T)
Parameters
a,g
- parameter for simulation of error in effort prediction;
a,g
- parameter for simulation of error in effort prediction;
g
- probability of recognizing unmarked fish in selective fishery;
g
- probability of recognizing fish marked for selective removal;
a,g
- daily bag limit per unit of effort;
a,g
- parameter for simulation of management error in achieving target catch;
a,g
- parameter for simulation of management error in achieving target catch;
g
- mortality rate of fish released after capture with fishing gear;
- i
- monthly survival rate from natural mortality;
a,g,t
- probability of encountering an unmarked fish in selective fishery;
- Ma,g
- minimum size limit;
- qa,g,t
- catchability coefficient;
s
- parameter for survival rate from smolt to recruitment at age 3;
s
- parameter for survival rate from smolt to recruitment at age 3;
s,a,b,t
- probability fish will move from area a to area b;
a,g,t
- probability of sampling a tagged fish;
a,g,t2
- parameter for length of fish;
a,g,t
- parameter for length of fish;
Variables
- Cs,a,g,t
- catch of stock in fishery;
- C.,a,g,t
- total catch in fishery;
- C/fa,g,t
- catch per unit of fishing effort;
- Ds,a,g,t
- stock specific incidental fishing mortality associated with selective fishery;
- D.,a,g,t
- total incidental fishing mortality associated with selective fishery;
- Es,a,t
- escapement of stock;
- fa,g,t
- fishing effort;
- Fs,a,b,t
- total mortality by stock of sublegal sized fish in fishery;
- F.,a,b,t
- total mortality of sublegal sized fish in fishery;
- Gs
- escapement goal for stock;
- Ha,g
- harvest rate in area;
- Is,a,b,t
- number of fish which move from area a to area b;
- Ka,g,t
- number of unmarked fish encountered;
- La,g,t
- length of fish;
- Ns,a,t
- stock abundance in area;
- N*s,a,t
- stock abundance in area after natural mortality;
- N.,a,t
- total stock abundance in area;
- C.,a,g,t
- target catch in terminal fishery managed for escapement objective;
- pa,g,t
- probability of capture;
- Ps
- number of recruits;
- Ps*
- number of recruits after natural mortality;
- Qa,g,t
- number of sublegal fish encountered;
- Rs
- number of smolts;
- Ts,a
- terminal run size for stock in fishing area where fishery control is an escapement goal;
- us
- survival from smolt to recruitment at age 3;
- Va,g,t
- number of unmarked fish released in selective fishery;
- W1
- number of unmarked fish encountered in a selective fishery;
- W2
- number of marked fish encountered in a selective fishery;
- Ya,g,t
- number of fish encountered in a fishery;
- Zs,a,t
- stock abundance in area at end of time period;

