Western US Water Temperature Data Graphical Depictions
Historical data depicted in these plots are from various sources: California Data Exchange Center, USGS National Water Information System, WA Department of Ecology, EPA STORET, and StreamNet. Attempts were made to fit two sinusoidal curves through the data. One with 6 parameters and the other with 3 parameters. The non-linear solver function in the software package R (2.11.1 and later) was used for this purpose. The intention of the 6 parameter model is to allow for spring-time snowmelt effects on the temperature profile to be recognized where appropriate. However, not all of the streams have snowmelt contributions and many have significant anthropogenic influences. Click here for details on the 6 parameter model. It has been used to model temperatures in select streams.
Beer, W.N., and J.J Anderson. 2011. "Sensitivity of juvenile salmonid growth to future climate trends." River Research and Applications. 27:663-669. doi: 10.1002/rra.1390. Available from: http://dx.doi.org/10.1002/rra.1390).
Beer, W.N., and J.J Anderson. 2013. "Sensitivity of salmonid freshwater life history in western US streams to future climate conditions." Global Change Biology. 19(8):2547 - 2556. doi: 10.1111/gcb.12242. Available from: http://dx.doi.org/10.1111/gcb.12242).
Notes: CDEC data is served at various degrees of resolution (Monthly, Daily, or Hourly) and data is combined. Sites are sorted alpha-numerically by name. Blue curves show the 6 paramter fit and light green curves show the 3 parameter fit. The entire time series has the general 6 parameter curve running through all years. Below, when tractible, a curve for each individual year is shown.
| ID | Name | Agency | Coordinates | N | ** 6 parameter model ** | 3 paramater model | Elev. (ft.) | US EPA Basin | Fits | Flow Plot | |||||||||
|---|---|---|---|---|---|---|---|---|---|---|---|---|---|---|---|---|---|---|---|
| Long. | Lat. | A | B | C | Mag | Begin | End | A | B | C | |||||||||
| ID | Name | Agency | Coordinates | N | ** 6 parameter model ** | 3 paramater model | Elev. (ft.) | US EPA Basin | Fits | Flow Plot | |||||||||
| Long. | Lat. | A | B | C | Mag | Begin | End | A | B | C | |||||||||
| Storet_001 | 1 MILE EAST | EPA | -123.379167 | 48.140278 | 75 | NA | NA | NA | NA | NA | NA | 9.069 | 1.577 | -147.312 | 1 | 0 | |||
| Streamnet_001 | 902925.005-SWIFTWATER C NEAR BOTTOM OF UNIT 6 | PSMFC | -115.5714417 | 46.1152229 | 133 | NA | NA | NA | NA | NA | NA | 3.005 | 8.512 | -132.238 | 1 | 0 | |||
| 18F250 | Agnew Irrigation Dt. nr Sequim | WA.Ecology | -123.1393 | 48.0254 | 3083 | 6.9 | 4.8 | 158.3 | 2.5 | 166 | 318 | 6.3 | 4.4 | 147 | 100 | 1711 | |||
| 37G120 | Ahtanum C @ 62nd Ave | WA.Ecology | -120.5926 | 46.5482 | 24 | 11.3 | 8.9 | 176.5 | 6.1 | 138 | 304 | 10 | 7.8 | 162 | 1180 | 1703 | |||
| 37G050 | Ahtanum C @ Fulbright Park | WA.Ecology | -120.4801 | 46.5384 | 12 | 12.5 | 9.3 | 169.1 | 5.7 | 155 | 303 | 11.2 | 8.2 | 156 | 960 | 1703 | |||
| Storet_002 | AHTANUM C @ MOUTH | EPA | -120.471667 | 46.535278 | 73 | 11.513 | 7.209 | -113.185 | 2.495 | 92.73 | 218.174 | 11.086 | 6.638 | -119.054 | 1 | 1 | |||
| Streamnet_002 | AHTANUM C @ UNION GAP, WASH. | PSMFC | -120.47133873 | 46.53282146 | 274 | 14.324 | 6.984 | -91.868 | 5.957 | -33.697 | 269.609 | 11.849 | 6.347 | -119.678 | 1 | 1 | |||
| 11172945 | ALAMEDA C AB DIV DAM NR SUNOL CA | USGS | -121.7736 | 37.4974 | 371 | 14 | 5.8 | 163.8 | 0 | 219 | 304 | 13.9 | 5.6 | 162 | 930 | 1805 | |||
| 11173510 | ALAMEDA C BL CALAVERAS C NR SUNOL CA | USGS | -121.8247 | 37.5035 | 359 | 15 | 6.8 | 162.6 | 0 | 212 | 311 | 14.8 | 6.5 | 161 | 430 | 1805 | |||
| 11179000 | ALAMEDA C NR NILES CA | USGS | -121.9608 | 37.5872 | 6835 | 16.2 | 7 | 167.9 | 2 | 198 | 307 | 15.9 | 6.5 | 165 | 85 | 1805 | |||
| 35L050 | Almota C @ mouth | WA.Ecology | -117.4679 | 46.7027 | 2590 | 11.6 | 7.4 | 166.4 | 1.5 | 148 | 298 | 11.3 | 7.2 | 162 | 650 | 1706 | |||
| 35K050 | Alpowa C @ mouth | WA.Ecology | -117.2143 | 46.4121 | 2651 | 11.8 | 7.2 | 173.1 | 2.3 | 154 | 299 | 11.3 | 6.8 | 167 | 700 | 1706 | |||
| Streamnet_004 | American Creek, Bottom of Upper Meadows | PSMFC | -115.8938217 | 45.7759247 | 215 | NA | NA | NA | NA | NA | NA | -1.703 | 12.791 | -140.406 | 1 | 0 | |||
| 11446500 | AMERICAN R A FAIR OAKS CA | USGS | -121.2277 | 38.6355 | 10282 | 14 | 5.1 | 139.3 | 2.3 | 204 | 344 | 13.6 | 4.5 | 133 | 71 | 1802 | |||
| AWB | AMERICAN R BELOW WATT AVE BRIDGE | CDEC | -121.387 | 38.567 | 1337 | 15.1 | 5.6 | 150.8 | 2.9 | 191 | 338 | 14.5 | 4.9 | 142 | 50 | 1802 | |||
| 12488500 | AMERICAN R NEAR NILE, WA | USGS | -121.1687 | 46.9776 | 1243 | 6 | 5.4 | 168.4 | 4.2 | 153 | 315 | 5.1 | 4.5 | 153 | 2700 | 1703 | |||
| Streamnet_003 | AMERICAN R NEAR NILE, WASH. | PSMFC | -121.16813213 | 46.97797668 | 860 | 6.214 | 5.12 | -105.904 | 3.852 | 38.67 | 241.025 | 5.123 | 4.342 | -125.332 | 1 | 1 | |||
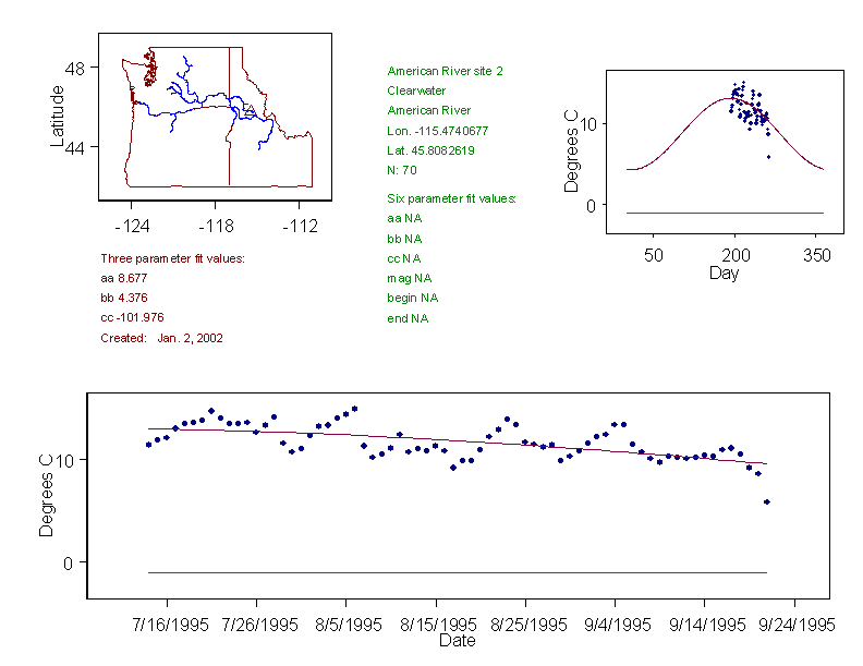
| Streamnet_005 | American R site 2 | PSMFC | -115.4740677 | 45.8082619 | 70 | NA | NA | NA | NA | NA | NA | 8.677 | 4.376 | -101.976 | 1 | 0 | |||
| 01T050 | Anderson C @ South Bay Road | WA.Ecology | -122.2674 | 48.6734 | 140 | 10.8 | 4.5 | 186.6 | 6.9 | 89 | 299 | 8.8 | 5.5 | 163 | 325 | 1711 | |||
| Storet_003 | ANDREWS C NEAR MAZAMA | EPA | -120.144722 | 48.823056 | 94 | 4.429 | 4.23 | 261.844 | 5.242 | 46.363 | 229.603 | 3.088 | 3.508 | -136.492 | 1 | 1 | View | ||
| 48C070 | Andrews C nr Mazama | WA.Ecology | -120.1459 | 48.8229 | 99 | 4.2 | 4.4 | 176.5 | 5.5 | 140 | 312 | 2.9 | 3.5 | 146 | 4300 | 1702 | |||
| ANC | ANTIOCH (USBR) | CDEC | -121.804 | 38.004 | 3977 | 16.4 | 6.5 | 159.6 | 0 | 202 | 310 | 16.2 | 6.3 | 158 | 10 | 1805 | |||
| 14366000 | APPLEGATE R NEAR APPLEGATE, OR | USGS | -123.14 | 42.2415 | 5665 | 12.1 | 7.2 | 167.9 | 3.9 | 151 | 301 | 11.3 | 6.6 | 157 | 1285 | 1710 | |||
| 14362000 | APPLEGATE R NEAR COPPER, OR | USGS | -123.1114 | 42.0637 | 5755 | 9.6 | 4.2 | 146.3 | 0 | 199 | 245 | 9.6 | 4.2 | 145 | 1747 | 1710 | |||
| 14369500 | APPLEGATE R NEAR WILDERVILLE, OR | USGS | -123.4067 | 42.354 | 4743 | 13.9 | 8.4 | 169.6 | 4.8 | 150 | 303 | 12.8 | 7.6 | 157 | 947 | 1710 | |||
| 11176900 | ARROYO DE LA LAGUNA A VERONA CA | USGS | -121.883 | 37.6266 | 3452 | 16.8 | 7.5 | 171.4 | 2.7 | 170 | 297 | 16.4 | 6.9 | 166 | 280 | 1805 | |||
| 11151870 | ARROYO SECO NR GREENFIELD CA | USGS | -121.4816 | 36.2375 | 2523 | 15.8 | 8.2 | 168.5 | 3.5 | 127 | 311 | 14.9 | 7.6 | 159 | NA | 1806 | |||
| 11176400 | ARROYO VALLE BL LANG CN NR LIVERMORE CA | USGS | -121.6838 | 37.5613 | 294 | 17.4 | 8.8 | 170.6 | 0 | 169 | 196 | 17.4 | 8.9 | 168 | 750 | 1805 | |||
| 11176500 | ARROYO VALLE NR LIVERMORE CA | USGS | -121.7588 | 37.6233 | 4914 | 16.1 | 6.9 | 171.8 | 3.2 | 159 | 301 | 15.4 | 6.3 | 163 | 510 | 1805 | |||
| 35D070 | Asotin C @ Asotin | WA.Ecology | -117.056 | 46.3407 | 48 | 11.4 | 9.2 | 169.9 | 4.9 | 166 | 296 | 10.5 | 8.3 | 161 | 760 | 1706 | |||
| 35D100 | Asotin C abv George Creek | WA.Ecology | -117.136 | 46.3229 | 2057 | 10.8 | 8 | 171 | 5.1 | 162 | 302 | 9.8 | 7.1 | 159 | 1020 | 1706 | |||
| BAC | BACON ISLAND @ OLD RIVER | CDEC | -121.571 | 37.972 | 1022 | 17 | 7.5 | 160.2 | 0 | 250 | 309 | 16.9 | 7.4 | 160 | 0 | 1805 | |||
| Storet_004 | BADGER C @ S-308 | EPA | -121.383333 | 45.25 | 72 | 7.436 | 4.945 | 237.514 | 2.3 | 44.881 | 220.836 | 6.789 | 5.091 | -139.054 | 1 | 1 | |||
| Streamnet_024 | Bargamin C @ mouth | PSMFC | -115.1922607 | 45.568718 | 600 | 4.547 | 0.389 | -85.079 | -10.089 | 143.177 | 319.136 | 2.825 | 11.273 | -132.479 | 1 | 1 | |||
| Streamnet_025 | Bargamin C below Poet Creek | PSMFC | -115.0330887 | 45.7223091 | 637 | 1.982 | 2.695 | -131.401 | -7.448 | 144.913 | 313.759 | 0.533 | 11 | -131.192 | 1 | 1 | |||
| BKS | BARKER SLOUGH PUMPING PLANT (KG000000) | CDEC | -121.7965 | 38.2759 | 10608 | 16.2 | 6.6 | 165.5 | 0 | 254 | 304 | 16.2 | 6.5 | 165 | 0 | 1805 | |||
| 12009500 | BEAR BRANCH NEAR NASELLE, WA | USGS | -123.9115 | 46.3298 | 1172 | 9.7 | 4.5 | 145.8 | 0 | 254 | 291 | 9.7 | 4.5 | 145 | 15 | 1710 | |||
| 24G070 | Bear Branch nr Naselle | WA.Ecology | -123.911 | 46.3298 | 2343 | 10.3 | 4.1 | 166.4 | 2.4 | 134 | 313 | 9.7 | 3.8 | 152 | 25 | 1710 | |||
| 29F050 | Bear C @ mouth | WA.Ecology | -121.8256 | 45.7639 | 830 | 9.9 | 5.8 | 165.6 | 4.7 | 141 | 315 | 8.8 | 5.3 | 146 | 532 | 1707 | |||
| Storet_005 | BEAR C @ N50 | EPA | -117.770833 | 45.864444 | 314 | 4.473 | 6.567 | 248.485 | 6.445 | 121.853 | 231.861 | 6.095 | 5.557 | -188.898 | 1 | 1 | |||
| 13032000 | BEAR C AB RESERVOIR NR IRWIN ID | USGS | -111.2222 | 43.2833 | 553 | 7.7 | 7.6 | 176.6 | 5.8 | 155 | 299 | 6.5 | 6.8 | 161 | 5640 | 1704 | |||
| Streamnet_006 | BEAR C NR SHEARER GUARD STATION ID | PSMFC | -114.84246056 | 46.0199602 | 234 | NA | NA | NA | NA | NA | NA | 6.322 | 8.386 | -127.532 | 1 | 0 | |||
| 10039500 | BEAR R @ BORDER, WY | USGS | -111.0538 | 42.211 | 5152 | 9.9 | 9.9 | 171.1 | 3.6 | 117 | 303 | 9 | 9.7 | 162 | 6051 | 1601 | |||
| 10068500 | BEAR R @ PESCADERO, ID | USGS | -111.3569 | 42.4016 | 687 | 10.4 | 11.1 | 168.7 | 3.1 | 128 | 299 | 9.7 | 10.8 | 162 | 5950 | 1601 | |||
| Streamnet_007 | BEAVER C @ SPENCER ID 12N-36E-23A | PSMFC | -112.18131762 | 44.35970529 | 130 | NA | NA | NA | NA | NA | NA | 6.234 | 9.828 | -125.416 | 1 | 0 | |||
| 453004122510301 | BEAVERTON C @ 170TH AVE, BEAVERTON, OR | USGS | -122.852 | 45.501 | 1565 | 13.8 | 7.9 | 172.5 | 2.8 | 159 | 302 | 13.2 | 7.4 | 165 | 160 | 1709 | |||
| BDL | BELDON LANDING | CDEC | -121.9708 | 38.1869 | 1072 | 16.3 | 6.3 | 159.5 | 0 | 282 | 315 | 16.2 | 6.1 | 160 | 0 | 1803 | |||
| 01N060 | Bertrand C @ Rathbone Rd | WA.Ecology | -122.5299 | 48.924 | 2677 | 10.7 | 5.6 | 169.7 | 0 | 172 | 301 | 10.5 | 5.4 | 166 | 20 | 1711 | |||
| 15F150 | Big Beef C @ Holly Rd. | WA.Ecology | -122.8385 | 47.5929 | 3189 | 8.4 | 5.2 | 167 | 0 | 238 | 278 | 8.4 | 5.1 | 167 | 400 | 1711 | |||
| 12414350 | BIG C AB EAST FORK NR CALDER ID | USGS | -116.1174 | 47.3058 | 395 | 8.5 | 7.2 | 172.8 | 6 | 144 | 315 | 7 | 6.2 | 155 | NA | 1701 | |||
| BIC | BIG CHICO C NEAR CHICO | CDEC | -121.777 | 39.768 | 4131 | 15.3 | 8.8 | 174.8 | 4.9 | 131 | 297 | 14.2 | 8.2 | 163 | 274 | 1803 | |||
| Streamnet_008 | BIG LOST R @ HOWELL RANCH NR CHILLY ID | PSMFC | -114.01771899 | 43.99849835 | 215 | NA | NA | NA | NA | NA | NA | -0.161 | 12.862 | -135.06 | 1 | 0 | |||
| 13120500 | BIG LOST R @ HOWELL RANCH NR CHILLY ID | USGS | -114.0211 | 43.9983 | 917 | 5.5 | 7.6 | 161 | 0 | 249 | 300 | 5.5 | 7.1 | 158 | 6621 | 1704 | |||
| Streamnet_028 | Big Mallard C @ mouth | PSMFC | -115.2706604 | 45.5381432 | 743 | NA | NA | NA | NA | NA | NA | 2.497 | 12.216 | -130.491 | 1 | 0 | |||
| Streamnet_026 | Big Mallard C above Jack Creek | PSMFC | -115.321785 | 45.614006 | 711 | 1.256 | 2.357 | -105.29 | -10.329 | 140.202 | 326.715 | 0.331 | 12.577 | -131.15 | 1 | 1 | |||
| Streamnet_027 | Big Mallard C above Slide Creek | PSMFC | -115.2504959 | 45.6719627 | 573 | 0.562 | 1.671 | -296.822 | -10.858 | 136.275 | 317.756 | -1.218 | 10.276 | -133.608 | 1 | 1 | |||
| 15J050 | Big Mission C @ Hwy 300 | WA.Ecology | -122.8754 | 47.432 | 86 | 10.7 | 4.2 | 167.7 | 0 | 191 | 297 | 10.5 | 4.1 | 163 | 15 | 1711 | |||
| 17A060 | Big Quilcene R nr mouth | WA.Ecology | -122.8713 | 47.8187 | 2295 | 9.1 | 4.7 | 164 | 3.5 | 153 | 321 | 8.3 | 4.1 | 148 | 10 | 1711 | |||
| 17A070 | Big Quilcene R nr Quilcene | WA.Ecology | -122.9104 | 47.8106 | 69 | 8.8 | 4.1 | 168.3 | 2.9 | 128 | 303 | 8.1 | 4 | 152 | 120 | 1711 | |||
| 09B070 | Big Soos C blw Hatchery | WA.Ecology | -122.1723 | 47.3059 | 46 | 10.5 | 5.2 | 168.7 | 2.7 | 208 | 298 | 10.2 | 4.7 | 164 | 70 | 1711 | |||
| 09B090 | Big Soos C nr Auburn | WA.Ecology | -122.1654 | 47.3121 | 186 | 10.3 | 5.1 | 168.8 | 2.3 | 210 | 303 | 10.1 | 4.9 | 165 | 75 | 1711 | |||
| 13304185 | BIG SPRINGS C BEL BIG TIMBER C NR LEADORE ID | USGS | -113.405 | 44.708 | 283 | 9 | 3.3 | 168.5 | 0 | 163 | 301 | 8.8 | 3 | 159 | NA | 1706 | |||
| 13304200 | BIG SPRINGS C NR LEADORE ID | USGS | -113.3991 | 44.7043 | 793 | 10.3 | 5.1 | 186.3 | 4.5 | 100 | 297 | 9.1 | 4.9 | 163 | 5830 | 1706 | |||
| 11143000 | BIG SUR R NR BIG SUR CA | USGS | -121.7733 | 36.2458 | 4238 | 13.7 | 4.7 | 170.8 | 2.7 | 143 | 303 | 13.1 | 4.3 | 158 | 240 | 1806 | |||
| 13140800 | BIG WOOD R @ STANTON CROSSING NR BELLEVUE ID | USGS | -114.3192 | 43.3292 | 582 | 11 | 7.2 | 155.2 | 2.8 | 192 | 306 | 10.7 | 6.8 | 145 | 4830 | 1704 | |||
| Streamnet_009 | BIG WOOD R NR BELLEVUE ID | PSMFC | NA | NA | 178 | 4.504 | 11.896 | -142.313 | -4.884 | 134.407 | 164.528 | 7.565 | 8.317 | -145.095 | 1 | 1 | |||
| 22K070 | Bingham C @ Hatchery | WA.Ecology | -123.4038 | 47.144 | 2784 | 9.8 | 3.4 | 169.8 | 2.3 | 139 | 314 | 9.3 | 3 | 154 | 70 | 1710 | |||
| 13116990 | BIRCH C @ HWY 28 XING NR LONE PINE ID | USGS | -112.9758 | 44.2294 | 238 | 9.4 | 4.6 | 168.7 | 1.8 | 169 | 299 | 9.2 | 4.2 | 159 | NA | 1704 | |||
| 13116980 | BIRCH C @ KAUFMAN GS NR LONE PINE ID | USGS | -112.9717 | 44.2413 | 286 | 9.9 | 3.6 | 169.3 | 2.1 | 166 | 302 | 9.7 | 3.1 | 155 | NA | 1704 | |||
| Storet_006 | BIRCH C @ PGG TOWER (PILOT ROCK) | EPA | -118.831444 | 45.486361 | 177 | NA | NA | NA | NA | NA | NA | -826.33 | 849.042 | -160.656 | 1 | 0 | |||
| Storet_007 | BIRCH C NEAR WHITE EAGLE GRANGE | EPA | -118.793917 | 45.529917 | 179 | NA | NA | NA | NA | NA | NA | -102.094 | 151.188 | -129.572 | 1 | 0 | |||
| 13116970 | BIRCH C NR KAUFMAN GS NR LONE PINE ID | USGS | -112.9842 | 44.2538 | 286 | 11.2 | 3.4 | 175.5 | 1.7 | 171 | 291 | 11 | 3 | 165 | NA | 1704 | |||
| Storet_008 | BLACK CANYON C @ MOUTH | EPA | -119.566389 | 44.299722 | 168 | 16.041 | 10.769 | -56.188 | 19.353 | -22.266 | 252.475 | 8.312 | 7.404 | -107.056 | 1 | 1 | |||
| 13068500 | BLACKFOOT R NR BLACKFOOT ID | USGS | -112.4767 | 43.1306 | 1562 | 10.5 | 11.7 | 171.4 | 3.2 | 179 | 297 | 9.9 | 11.1 | 166 | 4420 | 1704 | |||
| Streamnet_010 | BLACKFOOT R NR BLACKFOOT ID | PSMFC | -111.50567624 | 42.8147341 | 271 | 4.633 | 15.87 | -125.652 | -1.935 | 90.872 | 196.371 | 6.356 | 14.089 | -123.112 | 1 | 1 | |||
| BLL | BLACKLOCK (NE1) | CDEC | -121.9069 | 38.1801 | 2210 | 16.3 | 7.1 | 168.7 | 0 | 207 | 300 | 16.2 | 6.8 | 167 | 0 | 1803 | |||
| 10336660 | BLACKWOOD C NR TAHOE CITY CA | USGS | -120.1621 | 39.1074 | 2209 | 7.4 | 6.8 | 166.1 | 4.6 | 161 | 317 | 6.3 | 5.6 | 150 | 6234 | 1605 | |||
| Streamnet_011 | BLOOM C NR BOVILL ID | PSMFC | -116.29046256 | 46.85887962 | 436 | 8.104 | 7.109 | -99.997 | 4.866 | 13.015 | 226.501 | 6.653 | 6.674 | -118.428 | 1 | 1 | |||
| 13341300 | BLOOM C NR BOVILL ID | USGS | -116.2906 | 46.8577 | 470 | 7.6 | 7.4 | 171.9 | 4.6 | 124 | 303 | 6.3 | 7 | 158 | 2950 | 1706 | |||
| Streamnet_012 | BLOWOUT C NEAR DETROIT, OR | PSMFC | -122.12923786 | 44.65128855 | 283 | 8.674 | 4.817 | -125.041 | 3.599 | 41.129 | 254.98 | 7.439 | 4.086 | -144.815 | 1 | 1 | |||
| 14180300 | BLOWOUT C NEAR DETROIT, OR | USGS | -122.1309 | 44.6529 | 2895 | 9.6 | 6.4 | 169.3 | 5.8 | 134 | 315 | 8.2 | 5.7 | 146 | 1840 | 1709 | |||
| Streamnet_013 | BLUE C ABV MIDNITE MINE DRAINAGE NR WELLPINIT, | PSMFC | -118.08562009 | 47.92368709 | 4746 | 12.598 | 11.462 | -74.498 | 13.34 | -28.34 | 281.041 | 7.101 | 7.326 | -112.244 | 1 | 1 | |||
| Streamnet_014 | BLUE C BLW MIDNITE MINE DRAINAGE NR WELLPINIT, | PSMFC | -118.09326814 | 47.92248935 | 4786 | 12.125 | 10.072 | -83.907 | 10.604 | -29.598 | 286.352 | 7.659 | 7.281 | -118.239 | 1 | 1 | |||
| Streamnet_015 | BLUE C NR MOUTH NR WELLPINIT, WA | PSMFC | -118.14656138 | 47.88807812 | 4277 | 12.052 | 9.985 | -84.223 | 9.927 | -30.554 | 274.144 | 8.048 | 7.851 | -117.393 | 1 | 1 | |||
| Streamnet_016 | BLUE R @ BLUE R OREG | PSMFC | -122.33121424 | 44.16277246 | 10521 | NA | NA | NA | NA | NA | NA | 8.845 | 4.824 | -164.711 | 1 | 0 | |||
| Streamnet_017 | BLUE R BL TIDBITS C NR BLUE RIVER, OREG. | PSMFC | -122.25515485 | 44.22547812 | 7259 | 11.119 | 6.66 | -100.915 | 7.141 | 22.425 | 238.897 | 9.052 | 5.854 | -133.018 | 1 | 1 | |||
| Streamnet_018 | BLUE R NR BLUE RIVER, OREG. | PSMFC | -122.33121412 | 44.1627752 | 1184 | 11.698 | 7.359 | -107.301 | 7.245 | 41.146 | 233.442 | 9.906 | 6.601 | -134.059 | 1 | 1 | |||
| Streamnet_029 | Blue Springs | PSMFC | -116.86061752 | 44.62370461 | 207 | NA | NA | NA | NA | NA | NA | 2.746 | 9.478 | -129.82 | 1 | 0 | |||
| 10D070 | Boise C @ Buckley | WA.Ecology | -122.0184 | 47.1759 | 44 | 10.2 | 5.9 | 174.6 | 0 | 143 | 301 | 10 | 5.7 | 170 | 640 | 1711 | |||
| Streamnet_019 | BOISE R @ GLENWOOD BRIDGE NR BOISE ID | PSMFC | -116.18992335 | 43.60177271 | 552 | 8.27 | 8.915 | -167.481 | -5.885 | -31.368 | 243.854 | 10.35 | 6.293 | -151.565 | 1 | 1 | |||
| 13206000 | BOISE R @ GLENWOOD BRIDGE NR BOISE ID | USGS | -116.2792 | 43.6606 | 887 | 11.1 | 7.5 | 147.2 | 3.7 | 175 | 336 | 10.4 | 6.6 | 135 | 2600 | 1705 | |||
| 13211000 | BOISE R @ HWY 20-26 XING NR CALDWELL ID | USGS | -116.6864 | 43.6888 | 375 | 11.1 | 8.5 | 152.9 | 2.8 | 206 | 302 | 10.8 | 7.9 | 149 | NA | 1705 | |||
| 13212500 | BOISE R @ NOTUS ID | USGS | -116.7938 | 43.7224 | 4849 | 13.9 | 9 | 167.2 | 3.5 | 165 | 299 | 13.2 | 8.4 | 160 | 2288 | 1705 | |||
| 13210050 | BOISE R NR MIDDLETON ID | USGS | -116.5737 | 43.6849 | 464 | 10.8 | 7.7 | 148 | 0 | 230 | 289 | 10.7 | 7.5 | 146 | 2410 | 1705 | |||
| 13213000 | BOISE R NR PARMA ID | USGS | -116.9728 | 43.7817 | 3313 | 13.3 | 8.9 | 171.8 | 3.4 | 164 | 301 | 12.6 | 8.2 | 165 | 2196 | 1705 | |||
| Streamnet_020 | BOISE R NR PARMA ID | PSMFC | -116.97280599 | 43.78659761 | 778 | 16.326 | 8.889 | -95.227 | 10.482 | -27.049 | 276.578 | 12.232 | 7.939 | -136.877 | 1 | 1 | |||
| 13185000 | BOISE R NR TWIN SPRINGS ID | USGS | -115.7272 | 43.6594 | 1667 | 9.6 | 9.8 | 171.6 | 8.7 | 158 | 313 | 7.8 | 8.5 | 152 | 3255 | 1705 | |||
| Streamnet_021 | BOISE R NR TWIN SPRINGS ID | PSMFC | -115.72924186 | 43.65418294 | 85 | NA | NA | NA | NA | NA | NA | -8.569 | 27.528 | -137.244 | 1 | 0 | |||
| 49F070 | Bonaparte C @ Tonasket | WA.Ecology | -119.4424 | 48.7017 | 2323 | 9.5 | 9.8 | 169 | 2.6 | 170 | 301 | 9 | 9.3 | 165 | 912 | 1702 | |||
| Storet_009 | BOULDER C @ BRIDGE NEAR MOUTH | EPA | -120.166667 | 48.583333 | 56 | 7.906 | 8.866 | 270.074 | 8.656 | 72.182 | 226.829 | 5.395 | 6.924 | -125.928 | 1 | 1 | |||
| 14316495 | BOULDER C NEAR TOKETEE FALLS, OR | USGS | -122.5303 | 43.3035 | 1196 | 10.7 | 6.8 | 169.7 | 6.8 | 133 | 313 | 9 | 6.2 | 144 | 1640 | 1710 | |||
| 05J060 | Boulder R nr mouth | WA.Ecology | -121.7824 | 48.2776 | 750 | 8.5 | 5.5 | 166.4 | 4.6 | 140 | 317 | 7.4 | 4.9 | 146 | 335 | 1711 | |||
| Streamnet_030 | Boundary | PSMFC | -116.76707903 | 44.69287299 | 1577 | NA | NA | NA | NA | NA | NA | 6.549 | 7.815 | -136.743 | 1 | 0 | |||
| 14179000 | BREITENBUSH R ABV FRENCH C NR DETROIT, OR. | USGS | -122.129 | 44.7526 | 14217 | 8 | 4.5 | 162.9 | 3 | 142 | 311 | 7.3 | 4.2 | 147 | 1573 | 1709 | |||
| Streamnet_022 | BREITENBUSH R ABV FRENCH C NR DETROIT, OR. | PSMFC | -122.13035799 | 44.75145427 | 11654 | 8.075 | 4.315 | -116.08 | 2.632 | 43.362 | 229.972 | 7.415 | 4.095 | -132.157 | 1 | 1 | |||
| 45D080 | Brender C abv Noname Cr. | WA.Ecology | -120.4772 | 47.5209 | 326 | 11.2 | 6.2 | 178.9 | 3.2 | 163 | 300 | 10.7 | 5.6 | 172 | 760 | 1702 | |||
| 45D150 | Brender C blw Brender Canyon | WA.Ecology | -120.5215 | 47.5201 | 296 | 8.8 | 8.2 | 172.6 | 3.6 | 169 | 304 | 8.3 | 7.6 | 167 | 960 | 1702 | |||
| 45D070 | Brender C nr Cashmere | WA.Ecology | -120.4768 | 47.5212 | 294 | 11.5 | 6.4 | 178.1 | 4.1 | 167 | 302 | 10.8 | 5.9 | 165 | 790 | 1702 | |||
| Streamnet_031 | Bridge | PSMFC | -115.38653442 | 44.96086068 | 338 | NA | NA | NA | NA | NA | NA | 3.537 | 6.672 | -133.337 | 1 | 0 | |||
| 14046778 | BRIDGE C ABV COYOTE CANYON NR MITCHELL, OR | USGS | -120.302 | 44.7268 | 1214 | 12 | 9.7 | 174.1 | 5.1 | 148 | 300 | 10.9 | 8.9 | 164 | 1531 | 1707 | |||
| Storet_010 | BUCK C @ HIGH RIDGE WS 1 WEIR | EPA | -118.104167 | 45.7 | 478 | NA | NA | NA | NA | NA | NA | 0.567 | 11.464 | -120.471 | 1 | 0 | |||
| Storet_011 | BUCK C @ HIGH RIDGE WS 2 WEIR | EPA | -118.097778 | 45.691667 | 481 | 17.307 | 13.866 | -27.261 | 18.517 | 60.504 | 258.54 | 0.834 | 7.909 | -128.491 | 1 | 1 | |||
| Storet_012 | BUCK C @ HIGH RIDGE WS 3 WEIR | EPA | -118.095833 | 45.6875 | 213 | 182.789 | 175.784 | -319.643 | 247.311 | -59.95 | 227.062 | -2.539 | 9.988 | -134.457 | 1 | 1 | |||
| Storet_013 | BUCK C @ HIGH RIDGE WS 4 WEIR | EPA | -118.089444 | 45.689444 | 473 | NA | NA | NA | NA | NA | NA | -0.485 | 9.57 | -124.573 | 1 | 0 | |||
| Storet_014 | BUCK C BELOW SW-4 | EPA | -118.1 | 45.7 | 287 | NA | NA | NA | NA | NA | NA | 6.102 | 1.521 | -106.105 | 1 | 0 | |||
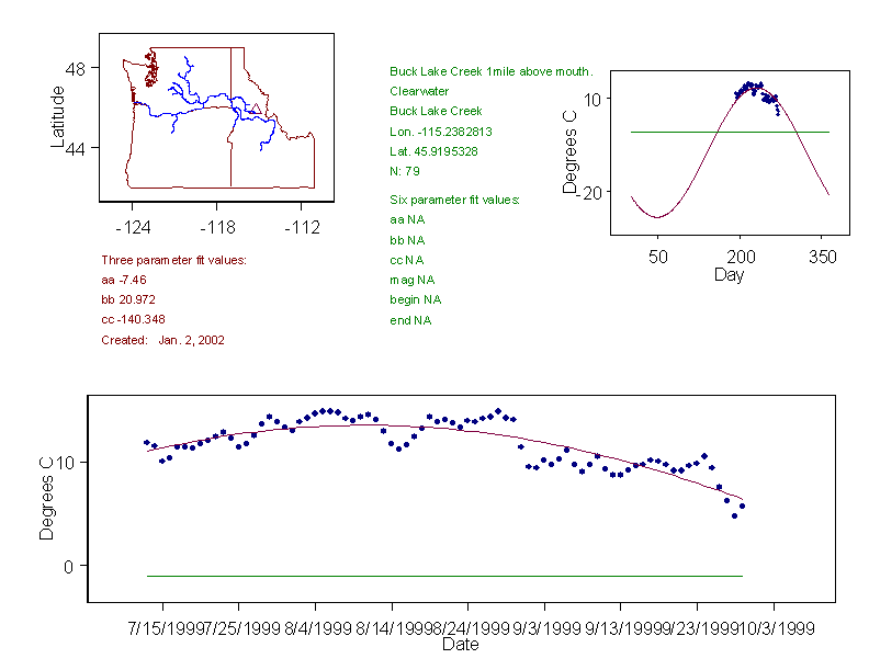
| Streamnet_032 | Buck Lake C 1mile above mouth. | PSMFC | -115.2382813 | 45.9195328 | 79 | NA | NA | NA | NA | NA | NA | -7.46 | 20.972 | -140.348 | 1 | 0 | |||
| 14140000 | BULL RUN R NEAR BULL RUN (RIVER ONLY), OR | USGS | -122.179 | 45.4373 | 2112 | 10.7 | 6.3 | 148.1 | 3.1 | 149 | 330 | 9.9 | 6 | 136 | 567 | 1708 | |||
| 14138850 | BULL RUN R NEAR MULTNOMAH FALLS, OR | USGS | -122.0123 | 45.4982 | 9964 | 8.2 | 5.2 | 163.1 | 3 | 139 | 308 | 7.5 | 4.9 | 150 | 1080 | 1708 | |||
| Streamnet_023 | BUMPING R NEAR NILE, WASH. | PSMFC | -121.30513332 | 46.86372153 | 614 | 15.171 | 12.442 | -80.241 | 18.592 | -16.555 | 277.329 | 7.664 | 7.728 | -134.083 | 1 | 1 | |||
| 28C070 | Burnt Br C @ Mouth | WA.Ecology | -122.6723 | 45.6615 | 374 | 12.6 | 6.7 | 170.8 | 2.5 | 176 | 302 | 12.2 | 6.6 | 165 | 40 | 1708 | |||
| 28C110 | Burnt Br C @ Vancouver | WA.Ecology | -122.5818 | 45.6396 | 524 | 12.7 | 5.6 | 161.3 | 0 | 243 | 302 | 12.6 | 5.4 | 160 | 170 | 1708 | |||
| BCK | BUTTE C NR CHICO | CDEC | -121.709 | 39.726 | 4156 | 13.8 | 7.6 | 172.2 | 5.4 | 136 | 303 | 12.5 | 6.9 | 156 | 300 | NA | |||
| 11390000 | BUTTE C NR CHICO CA | USGS | -121.7089 | 39.726 | 10273 | 13.2 | 7.6 | 170.6 | 4.7 | 137 | 303 | 12.1 | 7 | 157 | NA | 1802 | |||
| BCD | BUTTE C NR DURHAM | CDEC | -121.777 | 39.678 | 4201 | 15.4 | 9.2 | 170.5 | 6.5 | 139 | 307 | 13.9 | 8.3 | 154 | 190 | NA | |||
| BWC | BUTTE C NR WESTERN CANAL | CDEC | -121.833 | 39.558 | 4180 | 15 | 7.8 | 164.9 | 2.9 | 139 | 286 | 14.5 | 7.7 | 157 | 204 | NA | |||
| BCG | BUTTE CK @ COLUSA/GRIDLEY RD | CDEC | -121.8927 | 39.3618 | 1657 | 16.9 | 7.7 | 171.6 | 3.6 | 155 | 288 | 16.2 | 7.2 | 163 | 60 | NA | |||
| BSO | BUTTE SLOUGH @ OUTFALL GATES | CDEC | -121.938 | 39.202 | 4117 | 17.4 | 8.8 | 169.2 | 2.1 | 160 | 290 | 17.1 | 8.5 | 165 | 50 | 1803 | |||
| BBW | BW-12 IMPORT TO BUTTE CREEK | CDEC | -121.597 | 39.885 | 4142 | 9.5 | 6.4 | 169.5 | 3 | 129 | 308 | 8.7 | 6 | 158 | 2882 | NA | |||
| CCS | CACHE SLOUGH | CDEC | -121.742 | 38.295 | 3978 | 16.6 | 6.9 | 171.9 | 1.9 | 177 | 305 | 16.3 | 6.4 | 168 | 0 | 1805 | |||
| 11475610 | CAHTO C NR LAYTONVILLE CA | USGS | -123.4983 | 39.6715 | 834 | 12.2 | 6.5 | 176.4 | 3.7 | 139 | 300 | 11.4 | 5.8 | 163 | 1650 | 1801 | |||
| C12 | CAL AQUEDUCT CHECK 12 (KA006633) | CDEC | -121.058 | 37.118 | 4104 | 17.7 | 7.9 | 165.3 | 2.5 | 198 | 314 | 17.3 | 7.3 | 162 | 224 | 1804 | |||
| C13 | CAL AQUEDUCT CHECK 13 (KA007089) | CDEC | -121.0151 | 37.0742 | 10479 | 18 | 7.7 | 164.9 | 6.4 | 167 | 334 | 16.6 | 6.1 | 149 | 204 | 1804 | |||
| C18 | CAL AQUEDUCT CHECK 18 (KA014321) | CDEC | -120.229 | 36.326 | 4183 | 18.7 | 7.8 | 163.4 | 5.4 | 183 | 333 | 17.6 | 6.1 | 153 | 321 | 1803 | |||
| C21 | CAL AQUEDUCT CHECK 21 (KA017226) | CDEC | -119.9769 | 36.0142 | 10213 | 18.6 | 8.1 | 163.5 | 4.9 | 181 | 329 | 17.6 | 6.7 | 154 | 320 | 1803 | |||
| C29 | CAL AQUEDUCT CHECK 29 (KA024454) | CDEC | -119.3299 | 35.232 | 9608 | 19.4 | 8 | 164.1 | 3.7 | 189 | 322 | 18.7 | 7 | 158 | 291 | 1803 | |||
| C41 | CAL AQUEDUCT CHECK 41 (KA030341) | CDEC | -118.7119 | 34.834 | 8786 | 19.8 | 8.3 | 164.6 | 3.5 | 186 | 319 | 19.2 | 7.4 | 159 | 3280 | 1809 | |||
| C66 | CAL AQUEDUCT CHECK 66 (KA040341) | CDEC | -117.3036 | 34.336 | 4926 | 18.5 | 8.4 | 164.5 | 3 | 179 | 311 | 18 | 7.8 | 160 | 3448 | 1809 | |||
| 11173500 | CALAVERAS C NR SUNOL CA | USGS | -121.8177 | 37.4977 | 365 | 14.1 | 6.3 | 167.2 | 0 | 217 | 306 | 13.9 | 6 | 166 | 550 | 1805 | |||
| 01R090 | California C @ Valley View Rd. | WA.Ecology | -122.6602 | 48.9212 | 718 | 11.3 | 7.9 | 167.9 | 2.9 | 128 | 300 | 10.7 | 7.7 | 160 | 10 | 1711 | |||
| Streamnet_033 | CAMAS C @ RED ROAD NR KILGORE ID | PSMFC | -112.35696072 | 43.8875279 | 129 | NA | NA | NA | NA | NA | NA | 5.893 | 12.512 | -123.107 | 1 | 0 | |||
| 28H070 | Campen C nr Washougal | WA.Ecology | -122.3154 | 45.5773 | 12 | 11.2 | 5.7 | 164.3 | 3.2 | 154 | 260 | 10.7 | 5.7 | 156 | 40 | 1708 | |||
| 24L060 | Canon R @ Kleebs Trail | WA.Ecology | -123.8685 | 46.5787 | 1675 | 10.4 | 3 | 174.1 | 2.5 | 121 | 311 | 9.7 | 2.7 | 152 | 40 | 1710 | |||
| Storet_015 | CANYON C BASELINE | EPA | -122.211944 | 45.919444 | 2942 | 11.4 | 5.553 | 289.644 | 9.611 | -30.557 | 267.822 | 7.129 | 4.99 | -133.154 | 1 | 1 | |||
| 05F080 | Canyon C nr Masonic Park | WA.Ecology | -121.906 | 48.1212 | 1434 | 9.1 | 6.2 | 166.1 | 4.9 | 142 | 314 | 7.9 | 5.6 | 147 | 475 | 1711 | |||
| 10B070 | Carbon R nr Orting | WA.Ecology | -122.1526 | 47.0987 | 62 | 8.2 | 4.5 | 165.9 | 3.7 | 182 | 334 | 7.5 | 3.5 | 155 | 290 | 1711 | |||
| 18G250 | CCD Irrigation Dt. nr Sequim | WA.Ecology | -123.1577 | 48.0718 | 1784 | 8.3 | 5.1 | 162.3 | 3.6 | 175 | 318 | 7.5 | 4.4 | 148 | 240 | 1711 | |||
| 12116500 | CEDAR R @ CEDAR FALLS, WA | USGS | -121.7921 | 47.417 | 2718 | 9.7 | 7.2 | 150.3 | 3.2 | 180 | 326 | 9.1 | 6.6 | 142 | 902 | 1711 | |||
| 08C070 | Cedar R @ Logan St/Renton | WA.Ecology | -122.209 | 47.4857 | 1162 | 10.9 | 5.7 | 166.3 | 2.8 | 157 | 306 | 10.4 | 5.5 | 157 | 15 | 1711 | |||
| 08C090 | Cedar R @ Maple Valley | WA.Ecology | -122.0392 | 47.4059 | 36 | 9.9 | 5 | 171.3 | 0 | 124 | 288 | 9.8 | 5 | 168 | 325 | 1711 | |||
| 08C100 | Cedar R @ R Grade Rd | WA.Ecology | -121.9564 | 47.3849 | 102 | 9.7 | 3.5 | 171.6 | 3.2 | 153 | 297 | 9.1 | 3.8 | 159 | 543 | 1711 | |||
| 12119000 | CEDAR R @ RENTON, WA | USGS | -122.2035 | 47.4826 | 5011 | 10.9 | 5.4 | 164.4 | 2.1 | 168 | 310 | 10.5 | 5 | 158 | 15 | 1711 | |||
| 12115000 | CEDAR R NEAR CEDAR FALLS, WA | USGS | -121.6251 | 47.3701 | 3305 | 7.2 | 4.2 | 155.6 | 2.8 | 159 | 321 | 6.6 | 3.8 | 140 | 1560 | 1711 | |||
| 12A100 | Chambers C blw Steilacoom Lk | WA.Ecology | -122.536 | 47.1776 | 67 | 13.6 | 8.1 | 173.7 | 4.8 | 153 | 310 | 12.5 | 6.9 | 163 | 180 | 1711 | |||
| Streamnet_034 | CHAMOKANE C BELOW FALLS NEAR LONG LAKE, WASH. | PSMFC | -117.85827331 | 47.85811241 | 1238 | NA | NA | NA | NA | NA | NA | 9.33 | 6.61 | -110.727 | 1 | 0 | |||
| Storet_016 | CHANDLER CA MI 0.6 NR PROSSER WA | EPA | -119.766667 | 46.216667 | 83 | 13.081 | 8.87 | 258.085 | 3.166 | 57.732 | 217.859 | 12.427 | 8.369 | -116.267 | 1 | 1 | |||
| ONI | CHECK 13 (ONEILL INTAKE) | CDEC | -121.036 | 37.091 | 3990 | 17.8 | 8.1 | 166.4 | 4.5 | 172 | 304 | 17 | 7.3 | 157 | 176 | 1804 | |||
| DM2 | CHECK 20 | CDEC | -120.433 | 36.831 | 3990 | 18.2 | 8.6 | 169.1 | 4.5 | 166 | 318 | 17.3 | 7.5 | 160 | 165 | 1804 | |||
| DM3 | CHECK 21 | CDEC | -120.374 | 36.778 | 3998 | 18.2 | 8.6 | 168.7 | 4.3 | 167 | 317 | 17.3 | 7.5 | 160 | 164 | 1804 | |||
| 23A140 | Chehalis R @ Adna | WA.Ecology | -123.061 | 46.6276 | 72 | 12.6 | 7.6 | 171.4 | 4.3 | 127 | 299 | 11.6 | 7.2 | 158 | 175 | 1710 | |||
| 23A120 | Chehalis R @ Centralia | WA.Ecology | -122.9785 | 46.7115 | 180 | 13 | 8.4 | 170.4 | 4.9 | 134 | 308 | 11.8 | 7.7 | 157 | 170 | 1710 | |||
| 23A130 | Chehalis R @ Claquato | WA.Ecology | -123.0171 | 46.6419 | 12 | 11.7 | 8.7 | 177 | 6.8 | 148 | 307 | 10.2 | 7.3 | 161 | 201 | 1710 | |||
| 23A160 | Chehalis R @ Dryad | WA.Ecology | -123.2501 | 46.6309 | 1372 | 12.4 | 7.4 | 174.9 | 6.5 | 135 | 308 | 11.1 | 7 | 155 | 260 | 1710 | |||
| 23A110 | Chehalis R @ Galvin | WA.Ecology | -123.0201 | 46.7359 | 72 | 12.4 | 7.4 | 167.7 | 3 | 135 | 299 | 11.7 | 7.1 | 158 | 150 | 1710 | |||
| 23A070 | Chehalis R @ Porter | WA.Ecology | -123.3138 | 46.9379 | 1263 | 12.7 | 8.1 | 166.8 | 4.1 | 149 | 308 | 12 | 7.9 | 157 | 40 | 1710 | |||
| 12031000 | CHEHALIS R @ PORTER, WA | USGS | -123.3143 | 46.9393 | 4030 | 12.7 | 7.7 | 169 | 3.1 | 134 | 305 | 11.9 | 7.3 | 159 | 23 | 1710 | |||
| 23A100 | Chehalis R @ Prather Rd | WA.Ecology | -123.0355 | 46.7752 | 84 | 13 | 8.3 | 169.5 | 4.2 | 132 | 302 | 12 | 7.8 | 158 | 128 | 1710 | |||
| 12027500 | CHEHALIS R NEAR GRAND MOUND, WA | USGS | -123.0357 | 46.7759 | 7104 | 12.6 | 8 | 171.3 | 4.2 | 125 | 305 | 11.5 | 7.6 | 158 | 123 | 1710 | |||
| 23A170 | Chehalis R nr Doty | WA.Ecology | -123.2829 | 46.6348 | 111 | 11.9 | 9.5 | 166.6 | 6 | 182 | 302 | 10.8 | 9.3 | 152 | 290 | 1710 | |||
| 22C070 | Chehalis R nr Fuller | WA.Ecology | -123.4788 | 46.9784 | 42 | 11.9 | 6.7 | 163.8 | 2.3 | 127 | 306 | 11.4 | 6.5 | 155 | 35 | 1710 | |||
| 22C050 | Chehalis R nr Montesano | WA.Ecology | -123.6035 | 46.962 | 200 | 12 | 7 | 169.4 | 3.4 | 139 | 307 | 11.3 | 6.4 | 158 | 30 | 1710 | |||
| 47A070 | Chelan R @ Chelan | WA.Ecology | -120.0209 | 47.8396 | 271 | 12.7 | 9 | 153.1 | 3.9 | 243 | 298 | 12.4 | 8.6 | 152 | 660 | 1702 | |||
| 11278400 | CHERRY C BL DION R HOLM PH, NR MATHER CA | USGS | -119.9699 | 37.8902 | 1533 | 9.6 | 3.3 | 147.5 | 1.9 | 157 | 331 | 9.2 | 3.1 | 134 | NA | 1804 | |||
| Storet_017 | CHERRY C SE 1.4 S29 17N 19E | EPA | -120.483333 | 46.9375 | 180 | 11.357 | 5.694 | 264.001 | 4.671 | -5.185 | 240.67 | 9.818 | 5.506 | -125.995 | 1 | 1 | |||
| Streamnet_035 | CHEWELAH C @ CHEWELAH, WASH. | PSMFC | -117.71437278 | 48.28314174 | 322 | 10.259 | 6.645 | -92.674 | 5.358 | -12.901 | 239.354 | 8.449 | 6.283 | -117.609 | 1 | 1 | |||
| 452230122512201 | CHICKEN C @ SCHOLLS-SHERWOOD HWY, SHERWOOD OR | USGS | -122.8573 | 45.3749 | 1188 | 12.7 | 6.9 | 175.4 | 3.3 | 160 | 301 | 11.4 | 7.1 | 161 | 130 | 1709 | |||
| 15B050 | Chico C nr Chico | WA.Ecology | -122.7071 | 47.5962 | 23 | 9.9 | 4.6 | 165.7 | 0 | 141 | 304 | 9.7 | 4.4 | 161 | 25 | 1711 | |||
| 17B050 | Chimacum C @ mouth | WA.Ecology | -122.7854 | 48.0498 | 2583 | 10.3 | 5.7 | 170.3 | 0 | 163 | 300 | 10 | 5.5 | 167 | NA | 1711 | |||
| 45G060 | Chiwaukum C nr mouth | WA.Ecology | -120.7298 | 47.6801 | 2917 | 6.8 | 6.7 | 168.8 | 5.4 | 160 | 317 | 5.6 | 5.6 | 152 | 1640 | 1702 | |||
| 45C060 | Chumstick C nr mouth | WA.Ecology | -120.6487 | 47.6048 | 2120 | 8.4 | 5.4 | 155.7 | 0 | 239 | 273 | 8.3 | 5.3 | 155 | 1120 | 1702 | |||
| 05L070 | Church C nr Stanwood | WA.Ecology | -122.3146 | 48.2482 | 2284 | 9.5 | 5.6 | 166.2 | 0 | 213 | 301 | 9.4 | 5.4 | 164 | 70 | 1711 | |||
| Streamnet_036 | CISPUS R NEAR RANDLE, WASH. | PSMFC | -121.86294697 | 46.44728622 | 7314 | 7.668 | 4.266 | -114.643 | 2.669 | 61.308 | 220.843 | 7.082 | 3.95 | -129.028 | 1 | 1 | |||
| 14210000 | CLACKAMAS R @ ESTACADA, OR | USGS | -122.354 | 45.2998 | 1815 | 11 | 7.1 | 166.9 | 5 | 142 | 311 | 9.9 | 6.5 | 150 | 286 | 1709 | |||
| 14211010 | CLACKAMAS R NEAR OREGON CITY, OR | USGS | -122.5773 | 45.3793 | 1543 | 12.7 | 8.1 | 171 | 6.1 | 142 | 309 | 11.3 | 7.3 | 154 | 0 | 1709 | |||
| 19H080 | Clallam R nr Clallam Bay | WA.Ecology | -124.2558 | 48.244 | 1868 | 10 | 4.8 | 169.1 | 3.3 | 115 | 308 | 9.2 | 4.7 | 151 | 20 | 1711 | |||
| 12391950 | CLARK FORK R BELOW CABINET GORGE DAM ID | USGS | -116.0728 | 48.0881 | 951 | 11.3 | 8.4 | 149.2 | 3.2 | 158 | 318 | 10.6 | 8.2 | 139 | 2060 | 1701 | |||
| 39B070 | Cle Elum R nr Cle Elum | WA.Ecology | -121.004 | 47.1846 | 46 | 8.8 | 6.4 | 158.4 | 3.9 | 135 | 300 | 7.9 | 6.3 | 144 | 1980 | 1703 | |||
| Storet_018 | CLE ELUM RESERVOIR 100M ABOVE DAM | EPA | -121.083056 | 47.25 | 113 | 7.692 | 6.976 | -137.935 | 1.374 | 94.531 | 236.545 | 7.704 | 6.656 | -145.91 | 1 | 1 | |||
| Streamnet_037 | CLEAR C @ FOREST BOUNDARY, STATION #3 | PSMFC | -115.8264236 | 46.0410042 | 97 | NA | NA | NA | NA | NA | NA | -3.663 | 19.64 | -135.503 | 1 | 0 | |||
| Storet_019 | CLEAR C @ ROAD 9300 | EPA | -121.980556 | 46.119444 | 1603 | 14.83 | 9.396 | -55.752 | 18.282 | -8.078 | 267.643 | 5.189 | 7.262 | -134.128 | 1 | 1 | |||
| Streamnet_038 | CLEAR C NEAR MOUTH OF PINE KNOB CREEK | PSMFC | -115.7401581 | 46.0617867 | 153 | NA | NA | NA | NA | NA | NA | 3.517 | 8.621 | -127.602 | 1 | 0 | |||
| IGO | CLEAR C NR IGO | CDEC | -122.523 | 40.513 | 4848 | 11.4 | 3.3 | 148.2 | 0 | 171 | 228 | 11.4 | 3.3 | 148 | 673 | 1803 | |||
| Streamnet_039 | CLEAR C NR KOOSKIA ID | PSMFC | -115.95007469 | 46.13342998 | 184 | 9.322 | 10.839 | -110.466 | 5.21 | 89.723 | 204.616 | 9.527 | 8.99 | -126.309 | 1 | 1 | |||
| Storet_020 | CLEARWATER C - AB UPPER BRIDGE | EPA | -122.041667 | 46.291667 | 1595 | 12.89 | 7.752 | -65.36 | 14.135 | -8.28 | 263.434 | 4.99 | 7.873 | -130.997 | 1 | 1 | |||
| Storet_021 | CLEARWATER C - MIDDLE BRIDGE | EPA | -122.010278 | 46.263611 | 1881 | 9.637 | 6.186 | 272.621 | 6.934 | 15.806 | 269.503 | 7.284 | 4.567 | -132.781 | 1 | 1 | |||
| Storet_022 | CLEARWATER C - PARADISE FALLS | EPA | -122.009167 | 46.233333 | 2205 | 7.465 | 6.335 | 250.077 | 3.016 | 82.468 | 234.516 | 5.726 | 7.297 | -130.156 | 1 | 1 | |||
| Storet_023 | CLEARWATER C BASELINE | EPA | -122.050833 | 46.171944 | 2288 | 11.845 | 7.391 | 286.169 | 9.839 | 9.462 | 264.37 | 7.084 | 6.519 | -127.549 | 1 | 1 | |||
| 13339000 | CLEARWATER R @ KAMIAH ID | USGS | -116.0224 | 46.2328 | 724 | 11.2 | 10.7 | 167.3 | 9.3 | 172 | 311 | 9.3 | 8.7 | 152 | 1162 | 1706 | |||
| Storet_024 | CLEARWATER R @ OROFINO | EPA | -116.283333 | 46.483333 | 103 | 12.945 | 11.62 | 261.106 | 11.494 | 57.753 | 240.177 | 10.219 | 8.813 | -128.61 | 1 | 1 | View | ||
| Streamnet_040 | CLEARWATER R @ OROFINO ID | PSMFC | NA | NA | 1784 | NA | NA | NA | NA | NA | NA | 9.765 | 9.076 | -129.4 | 1 | 0 | |||
| 13340000 | CLEARWATER R @ OROFINO ID | USGS | -116.2575 | 46.4783 | 4342 | 11.6 | 11.4 | 173.8 | 9.6 | 150 | 311 | 9.5 | 9.5 | 156 | 990 | 1706 | |||
| 13342500 | CLEARWATER R @ SPALDING ID | USGS | -116.8274 | 46.4485 | 15943 | 10.3 | 8.1 | 165.3 | 4.9 | 164 | 306 | 9.3 | 7.2 | 154 | 770 | 1706 | |||
| Streamnet_041 | CLEARWATER R @ SPALDING ID | PSMFC | NA | NA | 13103 | 10.757 | 8.129 | -115.22 | 4.975 | 81.812 | 217.621 | 9.85 | 7.365 | -126.676 | 1 | 1 | |||
| USGS_001 | Clearwater R @ Spalding ID | USGS | -116.4935 | 46.2655 | 15453 | 10.466 | 8.207 | 253.559 | 5.215 | 75.69 | 221.741 | 9.42 | 7.252 | -123.439 | 1 | 1 | View | ||
| USGS_002 | Clearwater R Nr Peck ID | USGS | -116.233 | 46.3 | 14318 | 9.371 | 7.25 | 248.701 | 4.356 | 75.459 | 219.894 | 8.509 | 6.591 | -128.17 | 1 | 1 | View | ||
| Streamnet_042 | CLEARWATER R NR PECK ID | PSMFC | NA | NA | 12160 | 9.613 | 7.163 | -120.649 | 4.177 | 79.646 | 217.182 | 8.839 | 6.663 | -132.258 | 1 | 1 | |||
| 13341050 | CLEARWATER R NR PECK ID | USGS | -116.3925 | 46.5003 | 14677 | 9.3 | 7.1 | 161.3 | 4 | 162 | 306 | 8.5 | 6.5 | 150 | 930 | 1706 | |||
| Storet_025 | CLEARWATER R NR SPALDING | EPA | -116.815 | 46.452222 | 66 | 12.205 | 9.341 | 257.746 | 8.886 | 46.576 | 242.79 | 10.05 | 7.767 | -134.083 | 1 | 1 | |||
| CLC | CLIFTON COURT | CDEC | -121.5574 | 37.8298 | 8232 | 18.2 | 8 | 164.9 | 2.3 | 174 | 311 | 17.8 | 7.5 | 161 | 3 | 1805 | |||
| 22H070 | Cloquallum C nr Elma | WA.Ecology | -123.3871 | 47.0045 | 149 | 10.8 | 4.9 | 166 | 2.7 | 115 | 293 | 10.2 | 4.8 | 154 | 100 | 1710 | |||
| 12032500 | CLOQUALLUM R @ ELMA, WA | USGS | -123.3877 | 47.0045 | 283 | 10.7 | 6.2 | 176.5 | 3.2 | 194 | 309 | 10 | 5.4 | 167 | 20 | 1710 | |||
| 12A110 | Clover C abv Steilacoom Lk | WA.Ecology | -122.5225 | 47.1554 | 86 | 11.8 | 5.6 | 168.2 | 3.1 | 158 | 295 | 11.1 | 5.1 | 158 | 240 | 1711 | |||
| 12A130 | Clover C nr Parkland | WA.Ecology | -122.389 | 47.1262 | 24 | 12 | 4.4 | 178.1 | 4.5 | 132 | 291 | 11 | 3.8 | 157 | 320 | 1711 | |||
| Streamnet_043 | COAST FORK WILLAMETTE R @ LONDON, OREG. | PSMFC | NA | NA | 8627 | 12.807 | 6.715 | -93.909 | 6.648 | 13.813 | 241.779 | 10.806 | 5.671 | -123.664 | 1 | 1 | |||
| Streamnet_044 | COAST FORK WILLAMETTE R NEAR GOSHEN, OR | PSMFC | NA | NA | 4997 | 12.501 | 6.584 | -121.212 | 1.617 | 54.872 | 206.366 | 12.175 | 6.519 | -126.759 | 1 | 1 | |||
| 10336779 | COLD CK @ MOUTH, CA | USGS | -119.9693 | 38.9121 | 2062 | 6.5 | 5.6 | 174.1 | 3.2 | 126 | 305 | 5.7 | 5.2 | 160 | 6260 | 1605 | |||
| Storet_026 | COLEMAN C NW 1.4 S20 17N 19E | EPA | -120.488889 | 46.952778 | 74 | 9.402 | 7.508 | 255.116 | 3.319 | 94.245 | 197.076 | 8.938 | 7.011 | -117.078 | 1 | 1 | |||
| CLL | COLLINSVILLE | CDEC | -121.833 | 38.083 | 3938 | 15.9 | 6.1 | 158 | 0 | 202 | 309 | 15.8 | 6 | 157 | 0 | 1805 | |||
| CSE | COLLINSVILLE ON SACRAMENTO RIVER | CDEC | -121.8501 | 38.074 | 625 | 16.1 | 6.1 | 154.6 | 0 | 275 | 317 | 16 | 5.9 | 154 | 0 | 1805 | |||
| 11162720 | COLMA C A SOUTH SAN FRANCISCO CA | USGS | -122.4264 | 37.6538 | 561 | 18.6 | 6.3 | 169.3 | 0 | 196 | 302 | 18.5 | 6.1 | 168 | 12 | 1805 | |||
| Streamnet_047 | COLUMBIA R @ ALTOONA, WASH. | PSMFC | -123.62499376 | 46.25839278 | 2752 | NA | NA | NA | NA | NA | NA | 12.095 | 7.872 | -135.618 | 1 | 0 | |||
| Streamnet_045 | COLUMBIA R @ BEAVER ARMY TERMINAL NR QUINCY, ORE | PSMFC | -123.20988385 | 46.17375388 | 2953 | NA | NA | NA | NA | NA | NA | 12.617 | 7.668 | -136.824 | 1 | 0 | |||
| 14246900 | COLUMBIA R @ BEAVER ARMY TERMINAL NR QUINCY,OR | USGS | -123.1835 | 46.1812 | 6210 | 13 | 8.5 | 150.3 | 2.6 | 184 | 321 | 12.5 | 8 | 145 | 1 | 1708 | |||
| Streamnet_048 | COLUMBIA R @ BIGGS JUNCTION, OREG. | PSMFC | -120.90721045 | 45.63942079 | 613 | NA | NA | NA | NA | NA | NA | 11.799 | 8.011 | -144.824 | 1 | 0 | |||
| 25A075 | Columbia R @ Bradwood | WA.Ecology | -123.4318 | 46.1957 | 80 | 12.5 | 8.4 | 147.9 | 2.9 | 177 | 327 | 11.8 | 7.7 | 141 | 10 | 1708 | |||
| Storet_035 | COLUMBIA R @ BRADWOOD | EPA | -123.430556 | 46.195833 | 80 | 12.48 | 7.851 | 228.776 | 1.763 | 107.156 | 226.347 | 12.175 | 7.576 | -140.185 | 1 | 1 | |||
| Storet_029 | COLUMBIA R @ BRADWOOD DAILYAVE | EPA | -123.434444 | 46.191389 | 482 | 14.399 | 8.087 | 245.739 | 5.007 | 17.504 | 259.617 | 12.876 | 7.592 | -137.586 | 1 | 1 | View | ||
| Storet_030 | COLUMBIA R @ BRADWOOD DAILYMAX | EPA | -123.434444 | 46.191389 | 482 | 14.603 | 8.256 | 245.533 | 5.096 | 19.384 | 260.283 | 13.07 | 7.709 | -137.652 | 1 | 1 | View | ||
| Storet_031 | COLUMBIA R @ BRADWOOD DAILYMIN | EPA | -123.434444 | 46.191389 | 456 | 14.197 | 8.023 | 244.94 | 4.859 | 19.01 | 257.989 | 12.777 | 7.592 | -138.338 | 1 | 1 | View | ||
| Streamnet_049 | COLUMBIA R @ BRADWOOD, OREG. | PSMFC | -123.51361221 | 46.26540529 | 1706 | NA | NA | NA | NA | NA | NA | 12.335 | 7.902 | -135.946 | 1 | 0 | |||
| Storet_027 | COLUMBIA R @ CASCADE LOCKS | EPA | -122.671667 | 45.894167 | 54 | 12.047 | 7.392 | -128.136 | 3.224 | 161.461 | 198.002 | 11.961 | 7.116 | -129.116 | 1 | 1 | |||
| Storet_036 | COLUMBIA R @ COLUMBIA CITY | EPA | -122.8 | 45.883333 | 54 | 22.327 | 13.039 | 296.092 | 20.662 | -36.009 | 291.011 | 13.278 | 6.885 | -128.464 | 1 | 1 | |||
| Streamnet_050 | COLUMBIA R @ COLUMBIA CITY, OREG. | PSMFC | -122.78532046 | 45.86607113 | 364 | NA | NA | NA | NA | NA | NA | 11.901 | 7.421 | -134.412 | 1 | 0 | |||
| Storet_028 | COLUMBIA R @ CORBETT PARK | EPA | -122.885556 | 46.048056 | 52 | NA | NA | NA | NA | NA | NA | 11.9 | 7.452 | -132.677 | 1 | 0 | |||
| Storet_032 | COLUMBIA R @ CRESCENT BAR | EPA | -119.983333 | 47.25 | 70 | NA | NA | NA | NA | NA | NA | 11.305 | 6.068 | -144.987 | 1 | 0 | |||
| 25A110 | Columbia R @ Fisher Is Lt | WA.Ecology | -123.0887 | 46.1684 | 29 | 12.6 | 7.8 | 151.1 | 3.7 | 184 | 331 | 11.8 | 6.9 | 142 | 20 | 1708 | |||
| Storet_037 | COLUMBIA R @ GOBLE | EPA | -122.873889 | 46.020056 | 189 | 13.423 | 7.434 | 238.579 | 1.858 | 52.527 | 253.468 | 12.918 | 7.121 | -132.742 | 1 | 1 | |||
| 53A070 | Columbia R @ Grand Coulee | WA.Ecology | -118.982 | 47.9654 | 390 | 10.9 | 8.3 | 130 | 2.2 | 217 | 342 | 10.6 | 7.9 | 126 | 950 | 1702 | |||
| Streamnet_051 | COLUMBIA R @ KALAMA, WASH. | PSMFC | -122.85690304 | 46.01358683 | 3902 | NA | NA | NA | NA | NA | NA | 12.071 | 7.981 | -136.5 | 1 | 0 | |||
| Streamnet_052 | COLUMBIA R @ LONGVIEW, WA | PSMFC | -122.95824476 | 46.1018142 | 1626 | 12.506 | 8.162 | -128.059 | 2.321 | 81.664 | 243.486 | 12.035 | 7.737 | -134.032 | 1 | 1 | |||
| 31A090 | Columbia R @ McNary Dam | WA.Ecology | -119.2861 | 45.9371 | 84 | 12.7 | 8.6 | 148.2 | 2.7 | 200 | 309 | 12.3 | 8.1 | 144 | 350 | 1702 | |||
| 61A070 | Columbia R @ Northport | WA.Ecology | -117.7766 | 48.9224 | 344 | 10 | 7.9 | 149.7 | 3.1 | 164 | 322 | 9.3 | 7.4 | 141 | 1280 | 1702 | |||
| Streamnet_053 | COLUMBIA R @ NORTHPORT, WASH. | PSMFC | -117.77937831 | 48.92182837 | 2360 | 10.11 | 7.222 | -133.573 | 1.946 | 48.52 | 229.59 | 9.607 | 7.259 | -140.524 | 1 | 1 | |||
| Storet_038 | COLUMBIA R @ PARKS PORT | EPA | -122.782944 | 45.868833 | 86 | 13.188 | 7.359 | 238.772 | 0.918 | 77.493 | 212.617 | 12.993 | 7.252 | -128.888 | 1 | 1 | |||
| 36A055 | Columbia R @ Port of Pasco | WA.Ecology | -119.1011 | 46.2201 | 17 | 11 | 8.3 | 147.5 | 0 | 233 | 316 | 10.8 | 7.8 | 145 | 340 | 1702 | |||
| Streamnet_054 | COLUMBIA R @ RAINIER, OREG. | PSMFC | -122.93556268 | 46.09443976 | 2657 | 49.979 | 45.364 | -109.108 | 76.437 | 15.836 | 375.278 | 12.31 | 7.695 | -133.497 | 1 | 1 | |||
| Streamnet_055 | COLUMBIA R @ RICHLAND WASH | PSMFC | -119.04068307 | 46.19361935 | 6248 | 11.139 | 8.313 | -150.225 | -1.788 | 31.357 | 200.808 | 11.528 | 7.94 | -145.586 | 1 | 1 | |||
| 30A070 | Columbia R @ The Dalles | WA.Ecology | -121.1451 | 45.609 | 88 | 12.2 | 8.9 | 147.7 | 3.3 | 210 | 327 | 11.6 | 8.1 | 143 | 85 | 1707 | |||
| USGS_003 | Columbia R @ The Dalles, OR | USGS | -121.102 | 45.3627 | 557 | 12.774 | 9.589 | 230.183 | 2.818 | 108.241 | 253.721 | 12.963 | 8.034 | -145.086 | 1 | 1 | View | ||
| Streamnet_056 | COLUMBIA R @ THE DALLES, OREG. | PSMFC | -121.17259839 | 45.60449825 | 632 | NA | NA | NA | NA | NA | NA | 13.871 | 7.06 | -157.345 | 1 | 0 | |||
| 31A070 | Columbia R @ Umatilla | WA.Ecology | -119.3264 | 45.9338 | 272 | 11.8 | 8.7 | 144.1 | 0 | 232 | 301 | 11.6 | 8.4 | 142 | 240 | 1702 | |||
| Streamnet_057 | COLUMBIA R @ UMATILLA, OREG. | PSMFC | -119.34937103 | 45.92513712 | 1750 | 11.244 | 8.682 | -145.33 | -2.121 | 31.441 | 186.26 | 11.665 | 8.233 | -140.463 | 1 | 1 | |||
| 28A100 | Columbia R @ Vancouver | WA.Ecology | -122.6115 | 45.6109 | 24 | 13.1 | 9 | 152.6 | 3 | 180 | 302 | 12.5 | 8.6 | 147 | 20 | 1708 | |||
| Streamnet_058 | COLUMBIA R @ VANCOUVER, WASH. | PSMFC | -122.74362826 | 45.64600781 | 3545 | NA | NA | NA | NA | NA | NA | 12.07 | 8.099 | -135.219 | 1 | 0 | |||
| Streamnet_046 | COLUMBIA R @ VERNITA BR NR PRIEST RAPIDS DAM,WA | PSMFC | -119.73528677 | 46.64111082 | 2188 | 5.393 | 10.387 | -190.558 | -13.003 | -9.463 | 309.602 | 11.023 | 7.887 | -148.938 | 1 | 1 | |||
| 28A165 | Columbia R @ Warrendale | WA.Ecology | -122.0276 | 45.6123 | 81 | 12.1 | 8.6 | 143 | 2.6 | 190 | 330 | 11.6 | 8.1 | 137 | 75 | 1708 | |||
| Streamnet_059 | COLUMBIA R @ WARRENDALE, OREG. | PSMFC | -122.04154551 | 45.6097001 | 7845 | 12.443 | 7.563 | -138.988 | 1.706 | -30.529 | 81.665 | 12.216 | 7.968 | -137.963 | 1 | 1 | |||
| Streamnet_060 | COLUMBIA R @ WAUNA, OREG. | PSMFC | -123.40384 | 46.16160487 | 1690 | NA | NA | NA | NA | NA | NA | 12.286 | 7.368 | -135.68 | 1 | 0 | |||
| Storet_033 | COLUMBIA R BELOW ROCK ISLAND DAM | EPA | -120.083889 | 47.311111 | 205 | 10.056 | 6.546 | -125.84 | -4.396 | 140.549 | 468.41 | 11.733 | 7.569 | -142.798 | 1 | 1 | View | ||
| Storet_034 | COLUMBIA R BL ROCK ISLAND DAM | EPA | -120.081944 | 47.330556 | 51 | NA | NA | NA | NA | NA | NA | 11.627 | 7.452 | -151.137 | 1 | 0 | |||
| 25A150 | Columbia R blw Longview Br | WA.Ecology | -122.9615 | 46.1048 | 17 | 13 | 7.9 | 154.3 | 3.4 | 159 | 317 | 12.5 | 7.3 | 144 | 20 | 1708 | |||
| 44A070 | Columbia R blw Rock Is Dam | WA.Ecology | -120.0851 | 47.311 | 204 | 11.7 | 8.3 | 141.9 | 2.1 | 221 | 330 | 11.4 | 7.9 | 139 | 560 | 1702 | |||
| Storet_039 | COLUMBIA R ESTUARY STA 10 | EPA | -123.434444 | 46.201389 | 124 | 14.477 | 8.223 | 239.08 | 4.648 | 70.247 | 267.449 | 13.23 | 7.153 | -138.652 | 1 | 1 | |||
| Storet_040 | COLUMBIA R ESTUARY STA 12 | EPA | -123.256111 | 46.151111 | 122 | 14.239 | 7.777 | 237.397 | 3.603 | 77.993 | 256.367 | 13.419 | 7.022 | -137.471 | 1 | 1 | |||
| Storet_041 | COLUMBIA R ESTUARY STA 9 | EPA | -123.421667 | 46.219444 | 117 | 13.612 | 7.471 | 232.086 | 4.245 | 124.578 | 217.096 | 13.193 | 7.063 | -139.607 | 1 | 1 | |||
| Storet_042 | COLUMBIA R ESTUARY STA W2 | EPA | -123.426944 | 46.18 | 91 | 15.913 | 8.579 | 251.953 | 7.528 | 33.323 | 277.771 | 13.777 | 7.033 | -132.943 | 1 | 1 | |||
| Streamnet_061 | COLUMBIA R NR COLUMBIA CITY, OREG. | PSMFC | -122.79700589 | 45.88309814 | 1386 | 16.986 | 9.971 | -94.035 | 11.301 | -20.905 | 294.01 | 12.184 | 7.477 | -131.755 | 1 | 1 | |||
| 36A070 | Columbia R nr Vernita | WA.Ecology | -119.7317 | 46.6415 | 441 | 11.4 | 8.2 | 138.5 | 1.8 | 207 | 324 | 11.1 | 7.9 | 135 | 380 | 1702 | |||
| 59A110 | Colville R @ Blue Creek | WA.Ecology | -117.8197 | 48.3199 | 1557 | 10.2 | 9.9 | 176.2 | 4.5 | 138 | 298 | 9.2 | 9.3 | 166 | 1622 | 1702 | |||
| 59A130 | Colville R @ Chewelah | WA.Ecology | -117.7155 | 48.2604 | 334 | 11.4 | 9.7 | 183.8 | 6.3 | 116 | 289 | 10 | 10.2 | 174 | 1640 | 1702 | |||
| 59A070 | Colville R @ Kettle Falls | WA.Ecology | -118.0625 | 48.5943 | 250 | 10.3 | 9.8 | 169.5 | 3.4 | 145 | 304 | 9.6 | 9.4 | 162 | 1250 | 1702 | |||
| 59A140 | Colville R @ Newton Rd | WA.Ecology | -117.7383 | 48.2085 | 163 | 12.3 | 9.9 | 189.1 | 8 | 112 | 289 | 10.6 | 10.3 | 178 | 1649 | 1702 | |||
| 59A080 | Colville R abv Kettle Falls | WA.Ecology | -117.9923 | 48.5886 | 23 | 8.9 | 8.7 | 166.3 | 4.4 | 178 | 310 | 8.2 | 7.7 | 159 | 1530 | 1702 | |||
| CNT | CONTRA COSTA | CDEC | -121.7 | 37.995 | 3986 | 17.8 | 8.3 | 168.3 | 2.1 | 165 | 306 | 17.4 | 7.9 | 164 | 10 | 1805 | |||
| 32G060 | Coppei C nr mouth | WA.Ecology | -118.1661 | 46.2676 | 2773 | 11 | 8.5 | 174.1 | 3.5 | 131 | 300 | 10.2 | 8 | 164 | NA | 1707 | |||
| Storet_043 | COPPER C BASELINE-DISC | EPA | -122.263889 | 45.796944 | 1659 | 10.151 | 4.898 | 274.434 | 6.601 | 42.885 | 240.836 | 7.599 | 4.861 | -131.093 | 1 | 1 | |||
| Storet_044 | COQUILLE BAY @ BANDON LIGHTHOUSE | EPA | -124.410833 | 43.123 | 55 | NA | NA | NA | NA | NA | NA | 11.697 | 1.843 | -101.366 | 1 | 0 | |||
| Storet_045 | COQUILLE BAY @ MARKER #14 | EPA | -124.411111 | 43.122222 | 57 | NA | NA | NA | NA | NA | NA | 12.047 | 2.378 | -108.373 | 1 | 0 | |||
| Storet_046 | COQUILLE BAY @ OLD COAST GUARD STATION | EPA | -124.418056 | 43.122778 | 52 | 2.216 | 10.321 | -231.48 | -21.961 | -11.658 | 311.161 | 11.794 | 2.145 | -105.179 | 1 | 1 | |||
| Storet_047 | COQUILLE BAY @ OLD MOORE MILL SITE | EPA | -124.408611 | 43.123611 | 50 | 11.89 | 2.511 | -103.107 | -2.253 | 122.795 | 166.242 | 11.977 | 2.664 | -97.614 | 1 | 1 | |||
| Storet_048 | COQUILLE R @ STURDIVANT PK DOCK (COQUILLE) | EPA | -124.192528 | 43.173778 | 131 | 15.401 | 7.602 | 248.518 | 4.456 | 53.602 | 239.645 | 14.381 | 6.829 | -129.188 | 1 | 1 | |||
| CPP | CORDELIA PUMPING PLANT (KG002111) | CDEC | -122.1347 | 38.2276 | 10341 | 16.1 | 6.3 | 164 | 0 | 218 | 306 | 16 | 6.1 | 163 | 2 | 1805 | |||
| Streamnet_078 | Corduroy Junction | PSMFC | -115.94482709 | 45.34590927 | 347 | NA | NA | NA | NA | NA | NA | 6.007 | 6.09 | -121.388 | 1 | 0 | |||
| 11460000 | CORTE MADERA C A ROSS CA | USGS | -122.5569 | 37.963 | 283 | 15.2 | 4.7 | 168.1 | 1.9 | 140 | 310 | 14.8 | 4.3 | 160 | 7 | 1805 | |||
| Storet_049 | COTTONWOOD CAN DR SE1.4 S28 | EPA | -120.577778 | 46.580556 | 58 | 12.019 | 7.576 | 260.252 | 4.508 | 117.987 | 189.476 | 11.552 | 6.832 | -111.323 | 1 | 1 | |||
| Storet_050 | COUGAR C 100YD ABV SFK WENAHA | EPA | -117.841667 | 45.9125 | 157 | NA | NA | NA | NA | NA | NA | 3.02 | 4.959 | -139.079 | 1 | 0 | |||
| Streamnet_062 | COUGAR CREEK | PSMFC | -115.8598251 | 45.8237648 | 419 | 4.326 | 11.98 | -122.23 | 3.401 | 154.261 | 229.344 | 4.74 | 10.564 | -125.921 | 1 | 1 | |||
| 12507560 | COULEE DRAIN @ NORTH SATUS ROAD NEAR SATUS, WA | USGS | -120.1462 | 46.2968 | 382 | 12.5 | 7.6 | 163.7 | 0 | 236 | 295 | 12.5 | 7.4 | 163 | 675 | 1703 | |||
| Streamnet_063 | COULMBIA R @ PRESCOTT, OREG. | PSMFC | -122.87964919 | 46.04773918 | 735 | NA | NA | NA | NA | NA | NA | 12.445 | 8.029 | -129.681 | 1 | 0 | |||
| Storet_051 | COULTER C | EPA | -120.783333 | 47.75 | 54 | 9.635 | 8.178 | 290.129 | 11.563 | -2.279 | 250.076 | 5.429 | 6.095 | -126.225 | 1 | 1 | |||
| 26C070 | Coweeman R @ Kelso | WA.Ecology | -122.8971 | 46.1379 | 242 | 12.8 | 8.1 | 174.6 | 6 | 126 | 306 | 11.3 | 7.4 | 156 | 20 | 1708 | |||
| 26C075 | Coweeman R nr Kelso | WA.Ecology | -122.8396 | 46.1279 | 1395 | 12 | 7.4 | 174.9 | 5.4 | 129 | 306 | 10.7 | 6.7 | 157 | 30 | 1708 | |||
| 26C090 | Coweeman R nr Rose Valley | WA.Ecology | -122.7307 | 46.1729 | 43 | 11.1 | 5.3 | 177.4 | 5.2 | 103 | 305 | 9.7 | 5.1 | 149 | 360 | 1708 | |||
| Storet_052 | COWEMAN R @ KELSO | EPA | -122.896389 | 46.138333 | 228 | 14.763 | 8.82 | 275.993 | 9.57 | -0.408 | 250.223 | 11.575 | 7.165 | -124.116 | 1 | 1 | View | ||
| 38G070 | Cowiche C @ Powerhouse Rd. | WA.Ecology | -120.5799 | 46.6274 | 116 | 10.9 | 7.9 | 171.8 | 4.5 | 172 | 294 | 10.4 | 7.8 | 166 | 1165 | 1703 | |||
| 38G120 | Cowiche C @ Zimmerman rd | WA.Ecology | -120.6665 | 46.636 | 24 | 10.9 | 8.4 | 170.4 | 5.1 | 148 | 296 | 9.9 | 7.7 | 158 | 1400 | 1703 | |||
| 12498986 | COWICHE C NEAR YAKIMA | USGS | -120.5811 | 46.6272 | 487 | 10.6 | 8.6 | 170 | 5.3 | 156 | 295 | 9.5 | 8 | 159 | 1170 | 1703 | |||
| 26B180 | Cowlitz nr Kosmos B Cispus | WA.Ecology | -122.2762 | 46.4804 | 37 | 10 | 6 | 169.9 | 4.7 | 151 | 313 | 8.9 | 5.3 | 154 | 560 | 1708 | |||
| Storet_053 | COWLITZ R @ CASTLE ROCK | EPA | -122.913333 | 46.275 | 102 | 11.566 | 3.954 | 256.27 | 3.078 | -55.518 | 244.684 | 10.399 | 4.497 | -130.868 | 1 | 1 | View | ||
| 26B070 | Cowlitz R @ Kelso | WA.Ecology | -122.9143 | 46.1454 | 1160 | 10.6 | 5.4 | 158.8 | 2.2 | 172 | 306 | 10.3 | 5.3 | 152 | 5 | 1708 | |||
| Storet_054 | COWLITZ R @ KELSO | EPA | -122.913333 | 46.145833 | 358 | 10.833 | 5.109 | 243.933 | 1.667 | 51.397 | 241.002 | 10.414 | 4.871 | -129.121 | 1 | 1 | View | ||
| 26B150 | Cowlitz R @ Toledo | WA.Ecology | -122.8443 | 46.4387 | 155 | 9.8 | 4.4 | 150.1 | 0 | 212 | 322 | 9.6 | 4.2 | 148 | 120 | 1708 | |||
| Storet_055 | COWLITZ R @ TOLEDO | EPA | -122.843056 | 46.444722 | 144 | NA | NA | NA | NA | NA | NA | 9.835 | 4.124 | -131.382 | 1 | 0 | |||
| Streamnet_066 | COWLITZ R BELOW MAYFIELD DAM, WASH. | PSMFC | -122.61512666 | 46.51007194 | 9628 | 9.286 | 4.361 | -133.06 | 1.347 | 98.448 | 227.264 | 9.053 | 4.184 | -138.266 | 1 | 1 | |||
| Streamnet_067 | COWLITZ R BELOW MOSSYROCK DAM, WASH. | PSMFC | -122.40933422 | 46.52907983 | 4088 | 3.064 | 7.251 | -225.018 | -10.859 | -4.372 | 300.727 | 7.574 | 2.141 | -185.555 | 1 | 1 | |||
| Streamnet_068 | COWLITZ R NEAR KOSMOS, WA | PSMFC | -122.11703427 | 46.4660477 | 5543 | 9.28 | 5.532 | -115.24 | 3.862 | 73.623 | 227.692 | 8.463 | 4.857 | -129.948 | 1 | 1 | |||
| 26B200 | Cowlitz R nr Kosmos | WA.Ecology | -122.0906 | 46.4793 | 24 | 9.1 | 6.7 | 159.2 | 6.1 | 178 | 338 | 7.7 | 5 | 143 | 760 | 1708 | |||
| 26B190 | Cowlitz R nr Randle | WA.Ecology | -122.0987 | 46.4701 | 33 | 9.2 | 5.4 | 158.4 | 3.6 | 180 | 311 | 8.5 | 4.8 | 147 | 880 | 1708 | |||
| Streamnet_069 | COWLITZ R NR RANDLE, WASH. | PSMFC | -122.04139381 | 46.50115888 | 4510 | 9.156 | 5.694 | -113.178 | 4.333 | 70.731 | 238.265 | 8.163 | 4.815 | -130.538 | 1 | 1 | |||
| 11172175 | COYOTE C AB HWY 237 A MILPITAS CA | USGS | -121.9275 | 37.4222 | 432 | 16.7 | 5 | 168.6 | 0 | 215 | 299 | 16.6 | 4.8 | 168 | 10 | 1805 | |||
| 11169800 | COYOTE C NR GILROY CA | USGS | -121.4944 | 37.0777 | 665 | 14.8 | 6 | 163.8 | 0 | 218 | 268 | 14.7 | 5.8 | 163 | 790 | 1805 | |||
| Storet_056 | CR 'A' AB FOREST R 90 | EPA | -121.683611 | 46.214722 | 81 | NA | NA | NA | NA | NA | NA | -10.659 | 22.975 | -136.707 | 1 | 0 | |||
| 41A070 | Crab C nr Beverly | WA.Ecology | -119.8162 | 46.8312 | 1340 | 13.1 | 10.7 | 172.9 | 3.6 | 176 | 300 | 12.6 | 10.4 | 168 | 505 | 1702 | |||
| 41A110 | Crab C nr Moses Lake | WA.Ecology | -119.2661 | 47.1896 | 85 | 10.4 | 9.1 | 171.8 | 0 | 222 | 289 | 10.3 | 8.9 | 171 | 1075 | 1702 | |||
| 41A090 | Crab C nr Othello | WA.Ecology | -119.3661 | 46.8188 | 18 | 13.8 | 10.6 | 168.7 | 4.6 | 200 | 300 | 13.4 | 9.4 | 162 | 525 | 1702 | |||
| 41A075 | Crab C nr Smyrna | WA.Ecology | -119.6011 | 46.8435 | 32 | 14.1 | 10 | 170.9 | 0 | 173 | 195 | 13.9 | 10 | 169 | 540 | 1702 | |||
| Streamnet_070 | CRABTREE C NEAR SCIO, OR. | PSMFC | -122.84905517 | 44.65492093 | 158 | 111.393 | 96.804 | 4.079 | 198.221 | -79.943 | 258.803 | 7.814 | 14.886 | -118.106 | 1 | 1 | |||
| Streamnet_081 | Crooked C @ mouth | PSMFC | -115.6647339 | 45.4356346 | 863 | 4.695 | 1.286 | -38.69 | -12.003 | 136.846 | 329.789 | 3.104 | 12.752 | -132.632 | 1 | 1 | |||
| Streamnet_079 | Crooked C above Big Creek | PSMFC | -115.5450211 | 45.5135231 | 650 | NA | NA | NA | NA | NA | NA | 5.7 | 8.376 | -108.609 | 1 | 0 | |||
| Streamnet_080 | Crooked C above Horse Flat Creek | PSMFC | -115.4468231 | 45.5939865 | 741 | 11.766 | 11.725 | -61.183 | 22.47 | -19.451 | 267.056 | 2.079 | 7.93 | -129.574 | 1 | 1 | |||
| Streamnet_082 | Crooked C below Lake Creek | PSMFC | -115.5736771 | 45.5140572 | 658 | NA | NA | NA | NA | NA | NA | 5.92 | 7.248 | -109.49 | 1 | 0 | |||
| Streamnet_071 | CROOKED FORK NR POWELL RANGER STATION ID | PSMFC | -114.6793382 | 46.51182891 | 325 | 14.41 | 12.88 | -64.045 | 21.52 | -17.254 | 259.36 | 5.507 | 8.243 | -123.484 | 1 | 1 | |||
| Streamnet_083 | Crooked R @ Orogrande | PSMFC | -115.5366898 | 45.7175903 | 82 | NA | NA | NA | NA | NA | NA | -1.975 | 13.151 | -139.606 | 1 | 0 | |||
| Streamnet_084 | Crooked R @ the mouth | PSMFC | -115.5287781 | 45.8239479 | 59 | NA | NA | NA | NA | NA | NA | 11.382 | 3.245 | -122.211 | 1 | 0 | |||
| Streamnet_072 | CROOKED R BL OPAL SPRINGS, NR CULVER, OREG. | PSMFC | -121.26318865 | 44.52873821 | 3785 | 6.35 | 5.485 | -233.425 | -12.314 | -10.418 | 328.037 | 12.076 | 1.854 | -124.119 | 1 | 1 | |||
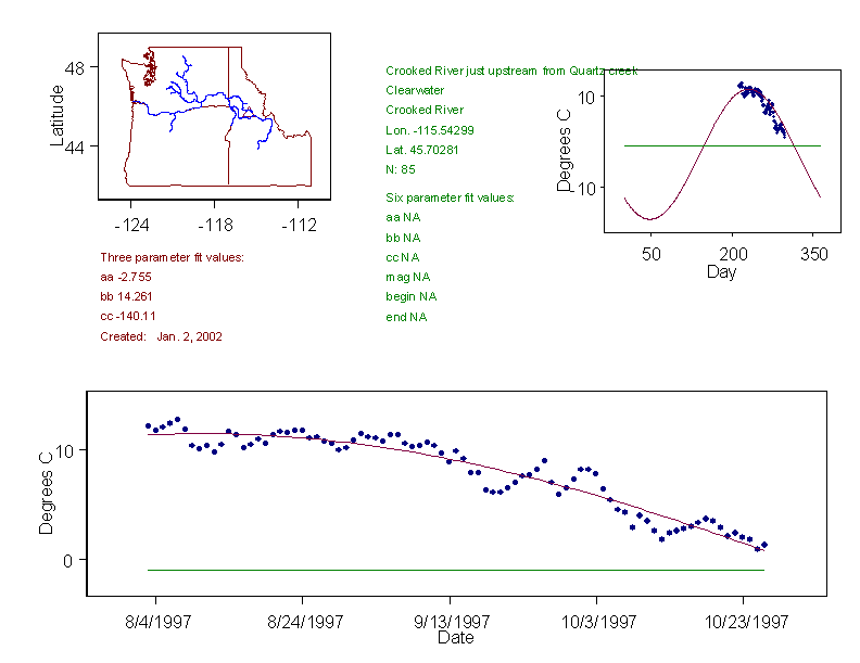
| Streamnet_085 | Crooked R just upstream from Quartz creek | PSMFC | -115.54299 | 45.70281 | 85 | NA | NA | NA | NA | NA | NA | -2.755 | 14.261 | -140.11 | 1 | 0 | |||
| Streamnet_086 | Crooked R narrows | PSMFC | -115.5516129 | 45.7913742 | 59 | NA | NA | NA | NA | NA | NA | 11.651 | 1.715 | -99.866 | 1 | 0 | |||
| Streamnet_073 | CROOKED R NEAR CULVER, OREG. | PSMFC | -121.26732943 | 44.56411529 | 3206 | 10.059 | 2.101 | -197.634 | -5.465 | 16.671 | 302.015 | 12.212 | 2.217 | -115.508 | 1 | 1 | |||
| Streamnet_074 | CROOKED R NR MOUTH NR ELK CITY ID | PSMFC | -115.52785555 | 45.82343269 | 539 | NA | NA | NA | NA | NA | NA | 3.49 | 12.701 | -126.381 | 1 | 0 | |||
| Streamnet_075 | CROOKED R NR OROGRANDE ID | PSMFC | -116.04694245 | 48.61688025 | 508 | NA | NA | NA | NA | NA | NA | 1.941 | 10.654 | -129.558 | 1 | 0 | |||
| 11180900 | CROW C NR HAYWARD CA | USGS | -122.0439 | 37.7049 | 484 | 13.8 | 5.1 | 167.6 | 0 | 169 | 251 | 13.2 | 4.3 | 162 | 270 | 1805 | |||
| Streamnet_076 | CRYSTAL SPRINGS C @ BYBEE ST, PORTLAND, OR | PSMFC | -122.64100369 | 45.47042446 | 259 | 13.344 | 3.716 | -113.998 | 1.376 | 96.458 | 182.843 | 13.194 | 3.573 | -117.013 | 1 | 1 | |||
| 14211542 | CRYSTAL SPRINGS C @ BYBEE ST, PORTLAND, OR | USGS | -122.642 | 45.474 | 2994 | 13.7 | 4.7 | 174.2 | 0 | 161 | 297 | 13.4 | 4.5 | 170 | NA | 1709 | |||
| 14211546 | CRYSTAL SPRINGS C @ MOUTH AT PORTLAND, OR | USGS | -122.6429 | 45.4607 | 2243 | 14 | 5.7 | 174.8 | 1.7 | 167 | 296 | 13.8 | 5.4 | 170 | NA | 1709 | |||
| Streamnet_077 | CRYSTAL SPRINGS C @ MOUTH AT PORTLAND, OR | PSMFC | -122.64143214 | 45.46267752 | 246 | 13.052 | 3.837 | -116.984 | -2.611 | 190.831 | 263.218 | 13.33 | 4.212 | -116.748 | 1 | 1 | |||
| Streamnet_087 | Culvert | PSMFC | -115.93166012 | 44.78560008 | 61 | NA | NA | NA | NA | NA | NA | 15.653 | -11.253 | -218.523 | 1 | 0 | |||
| Storet_057 | CUMMINGS CREEK | EPA | -117.616667 | 46.266667 | 184 | 7.481 | 3.919 | 237.269 | 2.187 | 84.946 | 187.099 | 7.129 | 3.906 | -134.921 | 1 | 1 | |||
| Storet_058 | CURLY C @ N76 | EPA | -121.910556 | 46.039444 | 145 | NA | NA | NA | NA | NA | NA | 5.96 | -1.805 | -217.114 | 1 | 0 | |||
| Storet_059 | CURLY C @ R N90 | EPA | -121.9625 | 46.056389 | 129 | NA | NA | NA | NA | NA | NA | 3.038 | 6.195 | -145.446 | 1 | 0 | |||
| 453113123003501 | DAIRY C @ HWY 8, HILLSBORO, OR | USGS | -123.011 | 45.5202 | 1366 | 12.3 | 7.5 | 170.9 | 3.3 | 160 | 307 | 11.5 | 7 | 161 | 130 | 1709 | |||
| 01Q070 | Dakota C @ Giles Rd. | WA.Ecology | -122.6818 | 48.9626 | 659 | 9.3 | 6.7 | 164.4 | 0 | 176 | 190 | 9.2 | 6.7 | 164 | 10 | 1711 | |||
| Storet_060 | DAMON SPRING DRAW | EPA | -120 | 47.1 | 69 | NA | NA | NA | NA | NA | NA | 12.826 | 3.715 | -102.378 | 1 | 0 | |||
| Streamnet_088 | DAWSON C NEAR MOUTH. 1994 RED R DISTRICT. | PSMFC | -115.3904877 | 45.7298279 | 124 | NA | NA | NA | NA | NA | NA | 3.917 | 10.187 | -113.507 | 1 | 0 | |||
| Streamnet_096 | Deadhorse Cr. | PSMFC | -116.0655518 | 45.6130486 | 663 | NA | NA | NA | NA | NA | NA | 2.871 | 8.287 | -130.696 | 1 | 0 | |||
| 35M100 | Deadman C nr Gould City | WA.Ecology | -117.6091 | 46.6049 | 2644 | 11.7 | 5.8 | 170.3 | 0 | 195 | 297 | 11.5 | 5.6 | 169 | 1050 | 1706 | |||
| 35M060 | Deadman C nr mouth | WA.Ecology | -117.7608 | 46.6185 | 1705 | 11 | 7.9 | 176.8 | 1.5 | 150 | 292 | 10.7 | 7.6 | 173 | 700 | 1706 | |||
| 55C065 | Deadman C nr Mouth | WA.Ecology | -117.3819 | 47.7954 | 12 | 10.3 | -7.4 | 344.5 | 1.5 | 107 | 302 | 9.9 | 7.4 | 157 | 1615 | 1701 | |||
| 10260500 | DEEP C NR HESPERIA CA | USGS | -117.2264 | 34.3431 | 1324 | 15.3 | 10.3 | 165.2 | 2.9 | 164 | 302 | 14.8 | 9.8 | 160 | 3030 | 1809 | |||
| DCH | DEER C @ HWY 32 | CDEC | -121.452 | 40.271 | 1847 | 7.8 | 5.6 | 165 | 0 | 130 | 190 | 7.7 | 5.7 | 165 | 50 | 1803 | |||
| DVD | DEER C BELOW STANFORD VINA DAM | CDEC | -121.899 | 39.964 | 4137 | 17.3 | 11.2 | 170.8 | 7.2 | 134 | 312 | 15.5 | 10 | 156 | 335 | 1803 | |||
| 05C090 | Deer C nr Oso | WA.Ecology | -121.9276 | 48.284 | 2253 | 9.9 | 7.8 | 170.5 | 6.9 | 138 | 310 | 8.3 | 6.9 | 149 | 260 | 1711 | |||
| DCV | DEER C NR VINA | CDEC | -121.947 | 40.014 | 4141 | 14.7 | 9 | 175 | 5.8 | 131 | 297 | 13.3 | 8.3 | 160 | 479 | 1803 | |||
| 11383500 | DEER C NR VINA CA | USGS | -121.9483 | 40.014 | 4363 | 14.9 | 9 | 173.9 | 5.4 | 130 | 297 | 13.6 | 8.5 | 160 | 479 | 1802 | |||
| DV7 | DEL VALLE CHECK 7 (KB001638) | CDEC | -121.7419 | 37.6547 | 8397 | 17.8 | 7.8 | 166.6 | 3.2 | 172 | 315 | 17.2 | 7.1 | 160 | 500 | 1805 | |||
| DCO | DEL VALLE CONSERVATION OUTLET WORKS | CDEC | -121.7468 | 37.6178 | 1546 | 12.9 | 1.5 | 136.6 | 0 | 169 | 203 | 12.9 | 1.6 | 136 | 542 | 1805 | |||
| Streamnet_089 | DEPLOYMENT OF RECORDER #902899 STATION #6 MOUTH OF | PSMFC | -115.7520828 | 46.0162125 | 608 | NA | NA | NA | NA | NA | NA | 6.579 | 6.809 | -113.632 | 1 | 0 | |||
| 09C070 | Des Moines C nr Mouth | WA.Ecology | -122.3276 | 47.4057 | 225 | 10.9 | 5.7 | 162.6 | 0 | 263 | 297 | 10.8 | 5.5 | 160 | 15 | 1711 | |||
| Streamnet_090 | DESCHUTES R @ BENHAM FALLS NR BEND, OREG. | PSMFC | -121.4203906 | 43.9324678 | 4023 | 11.136 | 7.684 | -85.337 | 6.445 | -30.612 | 269.868 | 8.582 | 6.325 | -112.54 | 1 | 1 | |||
| Storet_061 | DESCHUTES R @ DESCHUTES RIVER PARK | EPA | -120.9035 | 45.627722 | 1913 | 13.264 | 7.041 | 250.098 | 3.444 | 58.069 | 278.572 | 12.224 | 5.96 | -132.844 | 1 | 1 | View | ||
| 13A060 | Deschutes R @ E St Bridge | WA.Ecology | -122.9032 | 47.0118 | 1382 | 11.4 | 5.6 | 172.6 | 3.1 | 149 | 305 | 10.9 | 5.4 | 162 | 93 | 1711 | |||
| Storet_062 | DESCHUTES R @ HWY 26 (WARM SPRINGS) | EPA | -121.226667 | 44.76275 | 1694 | 11.689 | 4.758 | -135.23 | 3.74 | 85.952 | 303.57 | 10.375 | 3.204 | -160.016 | 1 | 1 | View | ||
| Streamnet_091 | DESCHUTES R @ MOODY, NEAR BIGGS OREG | PSMFC | -120.90489572 | 45.61354153 | 8243 | 11.937 | 6.007 | -116.07 | 0.833 | 57.487 | 220.781 | 11.758 | 5.895 | -119.169 | 1 | 1 | |||
| 14103000 | DESCHUTES R @ MOODY, NEAR BIGGS, OR | USGS | -120.9056 | 45.6221 | 8243 | 11.8 | 6.4 | 162.3 | 0 | 155 | 303 | 11.6 | 6.2 | 158 | 167 | 1707 | |||
| 13A100 | Deschutes R @ Rich Rd. | WA.Ecology | -122.8501 | 46.9451 | 492 | 11.8 | 6.7 | 178 | 3.5 | 145 | 303 | 11 | 6 | 169 | 160 | 1711 | |||
| 13A050 | Deschutes R @ Tumwater | WA.Ecology | -122.9026 | 47.0151 | 71 | 11.7 | 5.7 | 171.9 | 2.6 | 137 | 303 | 11.2 | 5.4 | 162 | 90 | 1711 | |||
| 13A120 | Deschutes R @ Waldrick Rd. | WA.Ecology | -122.8096 | 46.9201 | 491 | 11.6 | 6.7 | 175.3 | 3.3 | 159 | 302 | 11 | 6.2 | 167 | 220 | 1711 | |||
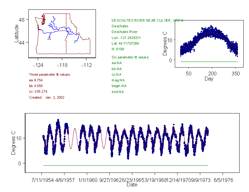
| Streamnet_092 | DESCHUTES R NEAR CULVER, OREG. | PSMFC | -121.2428311 | 44.71707268 | 6189 | 8.631 | 4.059 | -131.046 | -3.36 | -9.594 | 244.656 | 9.754 | 4.058 | -105.274 | 1 | 1 | |||
| Streamnet_093 | DESCHUTES R NEAR MADRAS, OREG. | PSMFC | -121.2441869 | 44.72054047 | 7585 | 9.709 | 3.654 | -155.063 | -1.706 | 11.54 | 245.919 | 10.242 | 3.356 | -141.216 | 1 | 1 | |||
| 13A150 | Deschutes R nr Rainier | WA.Ecology | -122.7307 | 46.8729 | 586 | 10.7 | 5.7 | 169.9 | 1.8 | 146 | 303 | 10.3 | 5.4 | 164 | 370 | 1711 | |||
| Streamnet_094 | DESOLATION C NEAR DALE, OREG. | PSMFC | -118.93521569 | 44.99769545 | 365 | 10.415 | 10.566 | -87.498 | 11.259 | 29.721 | 237.739 | 7.275 | 7.802 | -117.071 | 1 | 1 | |||
| DVC | DEVIL CANYON HEADWORKS (KA041288) | CDEC | -117.3307 | 34.2235 | 7896 | 15.9 | 7.5 | 151.8 | 0 | 176 | 315 | 15.7 | 7.2 | 149 | 2296 | 1807 | |||
| Storet_063 | DEVILS RUN C (ABOVE BLOWDOWN) | EPA | -116.897222 | 45.769444 | 179 | -2.492 | 19.481 | -119.177 | 2.15 | 175.246 | 211.254 | -0.843 | 17.137 | -121.586 | 1 | 1 | |||
| Storet_064 | DEVILS RUN C (BELOW BLOWDOWN) | EPA | -116.916667 | 45.772222 | 173 | -13.176 | 44.476 | -105.872 | 13.935 | 115.537 | 251.726 | -0.248 | 20.824 | -127.039 | 1 | 1 | |||
| Storet_065 | DEVILS RUN CREEK. BELOW SUMMIT CREEK | EPA | -116.95 | 45.777778 | 247 | -0.402 | 25.703 | -101.46 | 10.088 | 83.954 | 245.625 | -5.667 | 25.499 | -120.531 | 1 | 1 | |||
| 15A070 | Dewatto R nr Dewatto | WA.Ecology | -123.0266 | 47.469 | 42 | 9.7 | 4.8 | 170.6 | 1.8 | 142 | 304 | 9.3 | 4.5 | 163 | 70 | 1711 | |||
| 20D070 | Dickey R nr La Push | WA.Ecology | -124.5502 | 47.9684 | 62 | 11 | 7.9 | 167.1 | 3.6 | 173 | 308 | 10.6 | 7.8 | 160 | 30 | 1710 | |||
| 12508670 | DID 7 DRAIN NEAR MABTON, WA | USGS | -120.0656 | 46.2589 | 466 | 13.8 | 6.2 | 176.8 | 2.2 | 105 | 294 | 13.2 | 6.1 | 169 | 650 | 1703 | |||
| DMC | DMC HEADWORKS | CDEC | -121.588 | 37.78 | 3997 | 17.7 | 7.9 | 166.1 | 2.9 | 171 | 313 | 17.1 | 7.3 | 160 | 200 | 1805 | |||
| 10338700 | DONNER C @ HWY 89 NR TRUCKEE CA | USGS | -120.208 | 39.321 | 694 | 11.3 | 9.5 | 167.4 | 9 | 142 | 327 | 9 | 7.6 | 143 | 5870 | 1605 | |||
| 16D070 | Dosewallips R @ Brinnon | WA.Ecology | -122.8991 | 47.6901 | 1315 | 8.6 | 4.6 | 166.1 | 3.8 | 159 | 321 | 7.7 | 3.8 | 147 | 25 | 1711 | |||
| 32F150 | Dry C @ Hwy 125 | WA.Ecology | -118.3722 | 46.1521 | 2438 | 11.4 | 8.9 | 176.4 | 3.6 | 133 | 296 | 10.6 | 8.4 | 167 | NA | 1707 | |||
| 34M070 | Dry C @ Pullman | WA.Ecology | -117.1802 | 46.7313 | 11 | 11.7 | 9.3 | 181.7 | 7 | 113 | 311 | 9.5 | 7.8 | 161 | 2342 | 1706 | |||
| Streamnet_095 | DRY C NEAR COUGAR, WASH. | PSMFC | -122.30560034 | 46.12023637 | 568 | 10.024 | 6.838 | -88.398 | 9.153 | 19.428 | 249.831 | 7.129 | 4.501 | -135.855 | 1 | 1 | |||
| 16C070 | Duckabush R @ Mouth | WA.Ecology | -122.9349 | 47.649 | 30 | 9.1 | 4.2 | 176.1 | 5.4 | 124 | 303 | 8 | 3.8 | 148 | 50 | 1711 | |||
| 16C090 | Duckabush R nr Brinnon | WA.Ecology | -123.0116 | 47.684 | 828 | 7.9 | 4.2 | 159.9 | 3.7 | 151 | 312 | 7.2 | 4.3 | 143 | 300 | 1711 | |||
| Storet_066 | DUNGENESS R NEAR SEQUIM | EPA | -123.149444 | 48.076111 | 58 | 11.216 | 6.736 | 261.814 | 5.231 | 11.306 | 284.978 | 9.226 | 5.21 | -125.302 | 1 | 1 | |||
| 18A050 | Dungeness R nr Mouth | WA.Ecology | -123.129 | 48.1436 | 3447 | 8.7 | 5.5 | 161.9 | 3.4 | 172 | 321 | 8.1 | 4.8 | 150 | 10 | 1711 | |||
| Storet_067 | DUTCHER C @ FOREST BOUNDARY | EPA | -123.525 | 42.416667 | 80 | 3.475 | 11.702 | -130.767 | 0.961 | 173.931 | 206.382 | 6.016 | 8.878 | -137.936 | 1 | 1 | |||
| 09A060 | Duwamish R @ Allentown Br | WA.Ecology | -122.2802 | 47.4901 | 125 | 12.3 | 7.3 | 170.8 | 4.6 | 140 | 311 | 11.2 | 6.6 | 157 | 20 | 1711 | |||
| 09A070 | Duwamish R @ Foster | WA.Ecology | -122.2673 | 47.4824 | 56 | 12.1 | 6.9 | 167.8 | 4.3 | 136 | 314 | 11 | 6.3 | 153 | 20 | 1711 | |||
| Storet_068 | E FK SALMON R BLW HWY 35 | EPA | -121.683333 | 45.283333 | 56 | NA | NA | NA | NA | NA | NA | 5.124 | 8.16 | -133.864 | 1 | 0 | |||
| Storet_069 | E TOPPENISH DR @ WILSON R | EPA | -120.25 | 46.367778 | 68 | NA | NA | NA | NA | NA | NA | 13.012 | 3.366 | -122.142 | 1 | 0 | |||
| 27D190 | E.F. Lewis R @ Sunset Campground | WA.Ecology | -122.2523 | 45.8179 | 502 | 9.2 | 5.3 | 173.7 | 4.8 | 118 | 311 | 8 | 5.2 | 152 | 960 | 1708 | |||
| 03G100 | E.F. Nookachamps C @ Beaver Lk. R | WA.Ecology | -122.2102 | 48.4237 | 3504 | 9.6 | 6.7 | 169.2 | 5.2 | 135 | 313 | 8.3 | 5.9 | 150 | 100 | 1711 | |||
| Storet_070 | EARLY WINTERS C NR MOUTH | EPA | -120.466667 | 48.616667 | 66 | 5.325 | 5.28 | 250.828 | 3.191 | 122.22 | 228.723 | 5.495 | 2.985 | -133.534 | 1 | 1 | |||
| Storet_071 | EAST BIRCH C @ HWY. 395 (PILOT ROCK) | EPA | -118.833 | 45.483778 | 366 | NA | NA | NA | NA | NA | NA | -1397.012 | 1409.818 | -36.918 | 1 | 0 | |||
| Storet_072 | EAST FORK BEECH. LOWER | EPA | -118.916667 | 44.516667 | 240 | 7.374 | 14.28 | 263.139 | 11.124 | 107.637 | 229.929 | 3.973 | 13.045 | -129.231 | 1 | 1 | |||
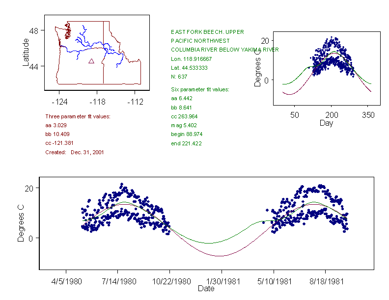
| Storet_073 | EAST FORK BEECH. UPPER | EPA | -118.916667 | 44.533333 | 637 | 6.442 | 8.641 | 263.964 | 5.402 | 88.974 | 221.422 | 3.029 | 10.409 | -121.381 | 1 | 1 | |||
| Storet_074 | EAST FORK JOHN DAY C | EPA | -116.229167 | 45.573611 | 59 | 6.281 | 5.093 | -125.548 | 2.263 | 113.312 | 217.643 | 6.121 | 4.39 | -139.003 | 1 | 1 | |||
| Storet_075 | EAST FORK LEWIS R BASELINE | EPA | -122.251667 | 45.8175 | 3181 | 10.4 | 5.593 | 274.493 | 6.375 | 21.235 | 253.111 | 7.387 | 5.677 | -128.114 | 1 | 1 | |||
| Streamnet_097 | EAST FORK LEWIS R NEAR HEISSON, WASH. | PSMFC | -122.46510802 | 45.83637315 | 7029 | 13.973 | 8.198 | -76.667 | 11.26 | -17.756 | 259.226 | 9.795 | 5.797 | -124.602 | 1 | 1 | |||
| 19D070 | East Twin R nr Mouth | WA.Ecology | -123.9383 | 48.1549 | 2231 | 9 | 4.4 | 170.2 | 3.5 | 116 | 311 | 8.1 | 4.2 | 149 | 50 | 1711 | |||
| Streamnet_099 | Eastfork Crooked River | PSMFC | -115.5476608 | 45.6953316 | 87 | NA | NA | NA | NA | NA | NA | -3.204 | 13.208 | -141.226 | 1 | 0 | |||
| Storet_076 | EDIZ HOOK II | EPA | -123.391667 | 48.2 | 508 | 7.432 | 1.637 | -212.683 | -2.294 | 6.461 | 286.947 | 8.334 | 0.749 | -170.943 | 1 | 1 | |||
| ELP | EEL R BELOW LAKE PILLSBURY 24HR AVG | CDEC | -122.9703 | 39.4081 | 1381 | 10.9 | 5 | 147.9 | 2 | 205 | 333 | 10.5 | 4.5 | 142 | 1740 | 1801 | |||
| 27D090 | EF Lewis R nr Dollar Corner | WA.Ecology | -122.5918 | 45.8146 | 2597 | 12.6 | 7.7 | 173.5 | 6.9 | 138 | 310 | 11.2 | 6.9 | 152 | 68 | 1708 | |||
| Storet_077 | EF LEWIS R NR DOLLAR CORNER | EPA | -122.590556 | 45.814722 | 239 | 15.419 | 9.244 | 284.249 | 12.672 | -10.739 | 267.653 | 10.68 | 6.264 | -128.214 | 1 | 1 | View | ||
| 12413360 | EF PINE C ABV GILBERT C NEAR PINEHURST ID | USGS | -116.1753 | 47.4403 | 2300 | 7.1 | 5.3 | 162.4 | 4 | 152 | 314 | 6.2 | 4.8 | 145 | 1960 | 1701 | |||
| 12413370 | EF PINE C ABV NABOB C NEAR PINEHURST ID | USGS | -116.2217 | 47.4767 | 2540 | 9 | 7.8 | 165.6 | 5.5 | 148 | 313 | 7.7 | 6.9 | 150 | 2490 | 1701 | |||
| 13341200 | EF POTLATCH R BL MALLORY C NR BOVILL ID | USGS | -116.2849 | 46.8612 | 400 | 8.2 | 8 | 177.5 | 6.2 | 128 | 296 | 6.7 | 7.4 | 159 | 3000 | 1706 | |||
| 13341400 | EF POTLATCH R NR BOVILL ID | USGS | -116.3921 | 46.8353 | 413 | 9.5 | 10.4 | 178.5 | 8.2 | 132 | 297 | 7.4 | 9.6 | 162 | 2800 | 1706 | |||
| 13297453 | EF SALMON R AB BIG BOULDER C NR CLAYTON ID | USGS | -114.4387 | 44.1055 | 1299 | 6 | 5.6 | 166.6 | 4 | 176 | 317 | 5.3 | 4.6 | 153 | NA | 1706 | |||
| Streamnet_098 | EF SALMON R AB BIG BOULDER C NR CLAYTON ID | PSMFC | -114.42988502 | 44.11318737 | 968 | 6.221 | 5.672 | -110.733 | 4.036 | 75.701 | 245.642 | 5.319 | 4.634 | -126.572 | 1 | 1 | |||
| Storet_078 | ELBOW C | EPA | -117.633333 | 45.9125 | 119 | 105.22 | 92.223 | 66.94 | 46.045 | 56.514 | 206.05 | 14.321 | 6.472 | -216.741 | 1 | 1 | |||
| 14337830 | ELK C BELOW ALCO CREEK, NEAR TRAIL, OR | USGS | -122.7114 | 42.7304 | 1894 | 13.6 | 9.3 | 174.9 | 8.2 | 125 | 310 | 11.6 | 8.2 | 153 | NA | 1710 | |||
| 14338000 | ELK C NEAR TRAIL, OR | USGS | -122.742 | 42.6787 | 11172 | 13.7 | 9.9 | 172.4 | 6.8 | 135 | 307 | 12.1 | 8.9 | 156 | 1493 | 1710 | |||
| 24M050 | Ellsworth C @ mouth | WA.Ecology | -123.8899 | 46.4054 | 1734 | 10.2 | 4.1 | 165.1 | 2.5 | 139 | 313 | 9.6 | 3.8 | 151 | 55 | 1710 | |||
| Storet_079 | ELOCHOMAN R NEAR CATHLAMET | EPA | -123.341111 | 46.221389 | 53 | 11.548 | 5.455 | 253.243 | 1.956 | 54.239 | 238.067 | 11.072 | 5.053 | -119.802 | 1 | 1 | View | ||
| 25C070 | Elochoman R nr Cathlamet | WA.Ecology | -123.3432 | 46.2209 | 77 | 11.1 | 6 | 164.8 | 2.6 | 176 | 309 | 10.7 | 5.5 | 158 | 80 | 1708 | |||
| 18B080 | Elwha R @ McDonald Br (USGS) | WA.Ecology | -123.5832 | 48.0548 | 76 | 8.5 | 5.1 | 157.4 | 3.3 | 163 | 323 | 7.8 | 4.4 | 144 | 200 | 1711 | |||
| Storet_080 | ELWHA R @ MCDONALD BRIDGE | EPA | -123.581944 | 48.055 | 76 | 8.653 | 4.954 | 241.328 | 2.919 | 71.115 | 246.907 | 7.949 | 4.361 | -136.55 | 1 | 1 | View | ||
| Storet_081 | ELWHA R NEAR PORT ANGELES | EPA | -123.576389 | 48.065556 | 94 | 9.485 | 5.317 | 243.979 | 3.207 | 43.828 | 262.788 | 8.495 | 4.698 | -137.483 | 1 | 1 | View | ||
| 18B070 | Elwha R nr Port Angeles | WA.Ecology | -123.5777 | 48.0654 | 855 | 9.1 | 5.7 | 149.9 | 3.3 | 192 | 328 | 8.6 | 5.4 | 135 | 220 | 1711 | |||
| EMM | EMMATON (USBR) | CDEC | -121.739 | 38.083 | 3503 | 15.8 | 6.5 | 157.3 | 0 | 201 | 310 | 15.7 | 6.3 | 156 | 0 | 1805 | |||
| 18M060 | Ennis C nr mouth | WA.Ecology | -123.4052 | 48.1123 | 2377 | 9 | 5 | 166.8 | 3.6 | 156 | 319 | 8.2 | 4.2 | 151 | NA | 1711 | |||
| 46A110 | Entiat R @ Dill C Bridge | WA.Ecology | -120.4234 | 47.8565 | 2065 | 7.5 | 8.1 | 169.6 | 6.8 | 173 | 315 | 6.2 | 6.6 | 154 | 1570 | 1702 | |||
| 46A170 | Entiat R @ North Fork Campground | WA.Ecology | -120.5809 | 47.9874 | 2384 | 6.9 | 6.9 | 178.4 | 5.9 | 139 | 312 | 5.5 | 5.7 | 157 | 2700 | 1702 | |||
| 46A150 | Entiat R @ Tommy C Bridge | WA.Ecology | -120.5515 | 47.9643 | 1743 | 5.9 | 6.7 | 169.4 | 5.5 | 162 | 316 | 4.8 | 5.5 | 151 | 2560 | 1702 | |||
| Storet_082 | ENTIAT R A ENTIAT FALLS | EPA | -120.566667 | 47.983333 | 63 | 5.919 | 6.478 | 264.437 | 6.312 | 66.712 | 254.543 | 4.163 | 4.03 | -129.238 | 1 | 1 | |||
| 46A160 | Entiat R blw Entiat Falls | WA.Ecology | -120.574 | 47.9824 | 2048 | 5.8 | 6.3 | 171.1 | 5.2 | 154 | 316 | 4.6 | 5.2 | 152 | 2620 | 1702 | |||
| Storet_083 | ENTIAT R NEAR ENTIAT | EPA | -120.249444 | 47.663333 | 297 | 9.532 | 8.277 | 255.113 | 7.036 | 79.988 | 246.693 | 7.956 | 6.373 | -125.466 | 1 | 1 | View | ||
| 46A070 | Entiat R nr Entiat | WA.Ecology | -120.2506 | 47.6632 | 1312 | 9.8 | 9.5 | 170.5 | 8.4 | 174 | 314 | 8.7 | 8.3 | 156 | 760 | 1702 | |||
| Storet_084 | F-6 | EPA | -123.397778 | 48.141111 | 58 | NA | NA | NA | NA | NA | NA | 9.157 | 0.887 | -142.14 | 1 | 0 | |||
| Streamnet_101 | FALL C BL WINBERRY C NR FALL C OREG. | PSMFC | -122.77378015 | 43.94508914 | 15380 | 6.953 | 6.628 | -174.84 | -8.173 | -31.35 | 280.915 | 10.351 | 4.44 | -132.821 | 1 | 1 | |||
| Streamnet_100 | FALL C NEAR LOWELL, OREG. | PSMFC | -122.57902483 | 43.97211353 | 7669 | 14.171 | 7.84 | -77.057 | 10.838 | -17.216 | 259.924 | 10.173 | 5.579 | -125.371 | 1 | 1 | |||
| 452348122454701 | FANNO C @ DURHAM CITY PARK, DURHAM, OR | USGS | -122.7642 | 45.3965 | 561 | 13 | 6.7 | 171.1 | 2.3 | 143 | 303 | 12.3 | 6.6 | 163 | 110 | 1709 | |||
| Streamnet_102 | FANNO C @ DURHAM, OR | PSMFC | -122.7608744 | 45.3956578 | 840 | 12.975 | 6.548 | -117.468 | 2.1 | 148.201 | 202.636 | 12.804 | 6.318 | -118.916 | 1 | 1 | |||
| 14206950 | FANNO C @ DURHAM, OR | USGS | -122.7548 | 45.4035 | 2293 | 13.2 | 7.1 | 171.4 | 2.5 | 159 | 302 | 12.7 | 6.7 | 166 | 116 | 1709 | |||
| FRP | FARRAR PARK | CDEC | -121.64 | 38.012 | 3999 | 17 | 7.5 | 164.6 | 0 | 190 | 305 | 16.8 | 7.3 | 163 | 0 | 1805 | |||
| 09K070 | Fauntleroy C nr Mouth | WA.Ecology | -122.3932 | 47.5226 | 180 | 10.9 | 3.3 | 155.7 | 0 | 212 | 300 | 10.8 | 3.2 | 152 | 7 | 1711 | |||
| Streamnet_103 | FH 21 | PSMFC | -115.87807199 | 45.25804045 | 208 | NA | NA | NA | NA | NA | NA | 10.631 | 2.233 | -182.481 | 1 | 0 | |||
| 14138870 | FIR C NEAR BRIGHTWOOD, OR | USGS | -122.0256 | 45.4801 | 10196 | 7.8 | 4.3 | 161.5 | 3 | 137 | 315 | 7.1 | 4 | 144 | 1440 | 1708 | |||
| Streamnet_106 | First Trap | PSMFC | -115.67650662 | 45.0425944 | 202 | NA | NA | NA | NA | NA | NA | 8.015 | 3.423 | -120.136 | 1 | 0 | |||
| Streamnet_104 | FISH C NR LOWELL ID | PSMFC | -115.34664944 | 46.33349253 | 445 | 9.225 | 9.508 | -103.075 | 7.756 | 67.328 | 207.022 | 7.636 | 8.437 | -117.967 | 1 | 1 | |||
| 13336900 | FISH C NR LOWELL ID | USGS | -115.3482 | 46.3335 | 810 | 8.9 | 9.3 | 171.5 | 7.8 | 157 | 302 | 7.2 | 8 | 155 | 1996 | 1706 | |||
| 01U070 | Fishtrap C @ Flynn Rd | WA.Ecology | -122.4963 | 48.9265 | 152 | 11.3 | 5.2 | 167.3 | 2.9 | 129 | 306 | 10.7 | 5.5 | 161 | 30 | 1711 | |||
| 12C070 | Flett C @ Custer Rd | WA.Ecology | -122.5193 | 47.1862 | 60 | 11.6 | 4.1 | 174.6 | 3.1 | 162 | 283 | 11.1 | 3.6 | 162 | 180 | 1711 | |||
| Streamnet_105 | FOSSIL C NR COUGAR, WASH. | PSMFC | -122.3403177 | 46.14031983 | 99 | NA | NA | NA | NA | NA | NA | -0.517 | 13.091 | -136.581 | 1 | 0 | |||
| 50B070 | Foster C @ Mouth | WA.Ecology | -119.6461 | 47.9942 | 65 | 12.7 | 9.8 | 181.9 | 4.3 | 110 | 281 | 11.8 | 10.2 | 175 | 830 | 1702 | |||
| 03C080 | Friday C @ Alger | WA.Ecology | -122.3484 | 48.6193 | 24 | 13.3 | 9 | 172.6 | 5.6 | 126 | 309 | 12 | 8.3 | 158 | 240 | 1711 | |||
| 03C060 | Friday C Blw Hatchery | WA.Ecology | -122.3283 | 48.5585 | 1996 | 10.3 | 5.9 | 163.1 | 0 | 138 | 239 | 10.2 | 5.9 | 161 | 70 | 1711 | |||
| Storet_085 | FROG C NORTH OF JAKEY BOUNDA | EPA | -121.7 | 45.216667 | 70 | NA | NA | NA | NA | NA | NA | 4.335 | 3.963 | -136.748 | 1 | 0 | |||
| Streamnet_107 | GALENA C JUST ABOVE FOREST BOUNDARY. 1994 RED | PSMFC | -115.3868408 | 45.7663345 | 126 | NA | NA | NA | NA | NA | NA | 13.616 | -7.312 | -200.06 | 1 | 0 | |||
| Streamnet_108 | GALES C NEAR GLENWOOD, OR | PSMFC | -123.36998348 | 45.64324809 | 864 | 9.595 | 3.592 | -116.854 | 2.743 | 8.223 | 295.669 | 8.546 | 3.048 | -140.734 | 1 | 1 | |||
| Streamnet_109 | GALES C NR GALES CREEK, OREG. | PSMFC | -123.17757828 | 45.54548001 | 2121 | 12.604 | 6.197 | -81.739 | 8.055 | -20.043 | 261.587 | 9.586 | 4.79 | -126.591 | 1 | 1 | |||
| Streamnet_110 | GATE C @ VIDA, OREG. | PSMFC | -122.57212145 | 44.14554859 | 260 | 19.91 | -10.434 | -224.889 | 18.67 | 25.389 | 255.483 | 10.064 | 5.525 | -126.191 | 1 | 1 | |||
| 13336300 | GEDNEY C NR SELWAY FALLS GUARD STATION ID | USGS | -115.3141 | 46.0575 | 389 | 9.4 | 7.7 | 162.1 | 5.8 | 162 | 315 | 8.1 | 6.7 | 147 | NA | 1706 | |||
| Streamnet_111 | GEDNEY C NR SELWAY FALLS GUARD STATION ID | PSMFC | -115.31311374 | 46.05803062 | 389 | NA | NA | NA | NA | NA | NA | 8.39 | 6.491 | -136.088 | 1 | 0 | |||
| 10336645 | GENERAL C NR MEEKS BAY CA | USGS | -120.1185 | 39.0519 | 1805 | 6.9 | 6.8 | 174.7 | 5.8 | 125 | 308 | 5.3 | 6.2 | 151 | NA | 1605 | |||
| 25D050 | Germany C @ mouth | WA.Ecology | -123.1253 | 46.1915 | 2289 | 10.5 | 5.9 | 168 | 3.5 | 135 | 309 | 9.7 | 5.6 | 154 | 20 | 1708 | |||
| Streamnet_114 | Glory Hole | PSMFC | -115.72454648 | 44.98716806 | 530 | 11.516 | 10.868 | -86.181 | 13.212 | 5.562 | 258.31 | 7.063 | 8.363 | -120.574 | 1 | 1 | |||
| Storet_086 | GOAT C @ R 375 BRIDGE | EPA | -120.366667 | 48.583333 | 98 | 6.157 | 6.778 | 246.685 | 4.022 | 109.922 | 222.568 | 6.401 | 4.089 | -144.5 | 1 | 1 | |||
| 12473980 | GOLD C ABOVE KEECHELUS LAKE NEAR HYAK, WA | USGS | -121.3829 | 47.3901 | 500 | 8.5 | 6 | 164.2 | 6.4 | 133 | 332 | 6.6 | 4.7 | 136 | NA | 1703 | |||
| 14A070 | Goldsborough C nr Shelton | WA.Ecology | -123.1252 | 47.2093 | 24 | 10.8 | 5 | 166.5 | 0 | 192 | 295 | 10.6 | 4.6 | 162 | 140 | 1711 | |||
| GYS | GOODYEAR SLOUGH | CDEC | -122.095 | 38.118 | 4787 | 16.4 | 6.5 | 169 | 0 | 204 | 304 | 16.2 | 6.2 | 167 | 0 | 1805 | |||
| 15P070 | Gorst C @ Gorst | WA.Ecology | -122.7062 | 47.5268 | 1154 | 9.3 | 2.7 | 159.8 | 0 | 223 | 310 | 9.2 | 2.6 | 158 | 10 | 1711 | |||
| Streamnet_112 | GRANDE RONDE R @ LA GRANDE, OREG. | PSMFC | -118.12836988 | 45.34519407 | 669 | 10.998 | 11.428 | -98.195 | 8.115 | 39.316 | 215.035 | 9.125 | 10.217 | -116.226 | 1 | 1 | |||
| Streamnet_113 | GRANDE RONDE R @ RONDOWA, OREG. | PSMFC | -117.78377667 | 45.72632712 | 737 | NA | NA | NA | NA | NA | NA | 8.641 | 7.521 | -119.813 | 1 | 0 | |||
| 35C070 | Grande Ronde R nr Anatone | WA.Ecology | -117.0054 | 46.0702 | 40 | 11.7 | 10.5 | 169.1 | 7 | 176 | 301 | 10.5 | 9.3 | 159 | 850 | 1706 | |||
| Storet_087 | GRANGER D @ HWY 223 AB GRANGER | EPA | -120.184167 | 46.343333 | 170 | 13.828 | 5.337 | 259.795 | 2.707 | 57.533 | 228.757 | 13.182 | 4.725 | -116.908 | 1 | 1 | |||
| 12505450 | GRANGER DRAIN @ GRANGER, WA | USGS | -120.187 | 46.3435 | 1347 | 14.5 | 5.3 | 179.3 | 3.8 | 131 | 301 | 13.6 | 4.7 | 163 | 720 | 1703 | |||
| GVI | GRASS VALLEY C INFLOW | CDEC | -122.752 | 40.621 | 3825 | 8.5 | 5.2 | 172.6 | 4 | 140 | 306 | 7.5 | 4.6 | 155 | 2750 | NA | |||
| 10345490 | GRAY C NR FLORISTON CA | USGS | -120.0313 | 39.3727 | 1807 | 7.4 | 6.6 | 174.9 | 4.7 | 162 | 306 | 6.5 | 5.5 | 162 | 5420 | 1605 | |||
| 25B070 | Grays R nr Grays River | WA.Ecology | -123.5665 | 46.3593 | 65 | 11.2 | 5.2 | 159.4 | 2 | 169 | 316 | 10.8 | 4.8 | 152 | 100 | 1708 | |||
| 25B060 | Grays R nr mouth | WA.Ecology | -123.5826 | 46.354 | 1974 | 10.9 | 4.6 | 167.2 | 2.9 | 123 | 309 | 10.2 | 4.4 | 151 | 10 | 1708 | |||
| 09A130 | Green Abv Big Soos/Auburn | WA.Ecology | -122.1751 | 47.3018 | 142 | 11.2 | 6.3 | 170.2 | 3.6 | 139 | 309 | 10.3 | 5.9 | 157 | 75 | 1711 | |||
| 09A090 | Green R @ 212th St nr Kent | WA.Ecology | -122.2648 | 47.4123 | 213 | 11.9 | 7.3 | 168.6 | 4.7 | 143 | 313 | 10.8 | 6.5 | 154 | 20 | 1711 | |||
| 09A110 | Green R @ Auburn | WA.Ecology | -122.2057 | 47.3154 | 94 | 10.5 | 5.2 | 167.3 | 0 | 203 | 309 | 10.3 | 4.8 | 164 | 55 | 1711 | |||
| 09A190 | Green R @ Kanaskat | WA.Ecology | -121.8935 | 47.3193 | 1043 | 9.8 | 6.7 | 155.6 | 4.5 | 168 | 326 | 9 | 6.3 | 140 | 775 | 1711 | |||
| 09A080 | Green R @ Tukwila | WA.Ecology | -122.2479 | 47.4654 | 280 | 11.6 | 7.2 | 166.1 | 4.6 | 150 | 316 | 10.7 | 6.6 | 152 | 4 | 1711 | |||
| Storet_088 | GREEN R BASELINE-DISC | EPA | -122.207778 | 46.395 | 130 | NA | NA | NA | NA | NA | NA | 10.13 | 5.691 | -62.741 | 1 | 0 | |||
| 09A170 | Green R nr Black Diamond | WA.Ecology | -122.0379 | 47.2807 | 24 | 10.8 | 6.4 | 163.4 | 4.6 | 173 | 323 | 9.8 | 5.3 | 150 | 199 | 1711 | |||
| 13023000 | GREYS R AB RESERVOIR NR ALPINE WY | USGS | -110.9769 | 43.1431 | 592 | 6.7 | 7.2 | 179.5 | 4.9 | 173 | 301 | 5.1 | 6.9 | 161 | 5729 | 1704 | |||
| Storet_089 | GRIFFIN LAKE INLET | EPA | -120.043056 | 46.247222 | 52 | 13.158 | 6.572 | -101.352 | 11.579 | 142.724 | 166.167 | 13.049 | 6.397 | -102.699 | 1 | 1 | |||
| 11167800 | GUADALUPE R AB ALMADEN EXPRESSWAY A SAN JOSE CA | USGS | -121.8797 | 37.2808 | 159 | 18.1 | 7.6 | 168.5 | 3.6 | 166 | 316 | 17.1 | 6.3 | 164 | 145 | 1805 | |||
| 11169025 | GUADALUPE R ABV HWY 101 A SAN JOSE CA | USGS | -121.933 | 37.3738 | 623 | 17.7 | 4.6 | 161.9 | 0 | 183 | 307 | 17.5 | 4.3 | 160 | 16 | 1805 | |||
| Storet_090 | H-12 | EPA | -123.413333 | 48.081667 | 67 | 9.291 | 0.445 | 235.911 | 1.703 | -13.728 | 96.625 | 9.046 | 0.936 | -119.972 | 1 | 1 | |||
| 56A200 | Hangman C @ Bradshaw Road | WA.Ecology | -117.2479 | 47.3928 | 12 | 9.3 | 9.4 | 177.9 | 7.4 | 117 | 298 | 7.2 | 9.2 | 158 | 2290 | 1701 | |||
| 56A070 | Hangman C @ Mouth | WA.Ecology | -117.4544 | 47.6546 | 1097 | 11 | 10.6 | 173.7 | 2.9 | 154 | 294 | 10.5 | 10.5 | 169 | 1720 | 1701 | |||
| 03J100 | Hansen C nr Sedro Woolley | WA.Ecology | -122.2018 | 48.5304 | 1941 | 9.8 | 5.2 | 164.2 | 3 | 147 | 314 | 9.1 | 4.8 | 151 | 110 | 1711 | |||
| HBP | HARVEY O BANKS PUMPING P (KA000331) | CDEC | -121.6203 | 37.8019 | 14848 | 17.9 | 8 | 166.5 | 3.3 | 175 | 316 | 17.3 | 7.2 | 160 | 240 | 1805 | |||
| 05A055 | Hat Slough nr Stanwood | WA.Ecology | -122.3371 | 48.2109 | 24 | 10.7 | 7 | 160.9 | 3.7 | 147 | 312 | 9.9 | 6.6 | 149 | 10 | 1711 | |||
| Storet_091 | HEADWATERS E FK SALMON R 1M ABV HWY 35 | EPA | -121.683333 | 45.283333 | 56 | NA | NA | NA | NA | NA | NA | 0.386 | 9.087 | -145.19 | 1 | 0 | |||
| Streamnet_115 | HENRYS FORK NR REXBURG ID | PSMFC | -111.91250606 | 43.81124588 | 235 | 10.581 | 10.489 | -112.487 | 6.58 | 109.605 | 219.067 | 7.62 | 11.927 | -129.248 | 1 | 1 | |||
| 13056500 | HENRYS FORK NR REXBURG ID | USGS | -111.905 | 43.8258 | 3894 | 9.8 | 10.7 | 170.2 | 4.1 | 170 | 301 | 9.1 | 10 | 163 | 4806 | 1704 | |||
| Storet_092 | HERD C @ MOUTH | EPA | -114.300556 | 44.150833 | 810 | 9.781 | 8.385 | 280.292 | 9.391 | 5.816 | 275.723 | 6.393 | 5.234 | -122.344 | 1 | 1 | |||
| 18J250 | Highland Irrigation Dt. nr Sequim | WA.Ecology | -123.1377 | 48.0298 | 3087 | 6.9 | 4.7 | 161.4 | 2.8 | 161 | 319 | 6.3 | 4.2 | 149 | 500 | 1711 | |||
| Storet_093 | HILL TOP LAKE OUTFLOW | EPA | -119.95 | 47.033333 | 96 | 12.443 | 10.865 | 257.724 | 1.889 | 112.025 | 198.969 | 12.188 | 10.459 | -108.973 | 1 | 1 | |||
| Streamnet_116 | HILLS C AB HILLS CR RES, NR OAKRIDGE, OREG. | PSMFC | -122.37014783 | 43.68126829 | 7199 | 10.278 | 6.177 | -106.575 | 5.3 | 36.979 | 231.696 | 8.907 | 5.542 | -129.948 | 1 | 1 | |||
| Streamnet_118 | Hobo | PSMFC | -116.36218964 | 44.69639744 | 3909 | NA | NA | NA | NA | NA | NA | 10.521 | 1.237 | -114.201 | 1 | 0 | |||
| Streamnet_119 | Hobo 1 | PSMFC | -116.29604707 | 44.84244326 | 214 | NA | NA | NA | NA | NA | NA | 0.717 | 9.777 | -130.515 | 1 | 0 | |||
| Streamnet_120 | Hobo 2 | PSMFC | -116.31773942 | 44.85700469 | 287 | NA | NA | NA | NA | NA | NA | 3.515 | 7.886 | -129.104 | 1 | 0 | |||
| Streamnet_121 | Hobo 3 | PSMFC | -116.33556126 | 44.88427839 | 272 | NA | NA | NA | NA | NA | NA | 1.963 | 13.365 | -126.185 | 1 | 0 | |||
| Streamnet_122 | Hobo 4 | PSMFC | -116.47971906 | 45.00316854 | 315 | 4.904 | 5.99 | -113.92 | 1.961 | 34.88 | 186.278 | 4.282 | 6.591 | -120.314 | 1 | 1 | |||
| Streamnet_123 | Hobo 5 | PSMFC | -116.36285663 | 44.91235016 | 202 | NA | NA | NA | NA | NA | NA | 0.263 | 17.418 | -132.093 | 1 | 0 | |||
| Streamnet_124 | Hobo 6 | PSMFC | -116.36208652 | 44.9133092 | 176 | NA | NA | NA | NA | NA | NA | 0.926 | 15.578 | -130.04 | 1 | 0 | |||
| Streamnet_125 | Hobo 8 | PSMFC | -116.4654509 | 44.9551566 | 410 | 12.069 | 8.713 | -103.996 | 8.937 | 12.3 | 237.794 | 9.584 | 8.503 | -134.581 | 1 | 1 | |||
| Streamnet_126 | Hobo 9 | PSMFC | -116.49246134 | 44.91180252 | 230 | 13.704 | 10.383 | -96.285 | 12.73 | 17.451 | 222.506 | 7.994 | 6.209 | -141.673 | 1 | 1 | |||
| 20B070 | Hoh R @ DNR Campground | WA.Ecology | -124.2477 | 47.8098 | 1116 | 9.8 | 4.5 | 165.3 | 3.4 | 152 | 318 | 9.2 | 4.2 | 148 | 350 | 1710 | |||
| Storet_094 | HOH R @ DNR CAMPGROUND | EPA | -124.249722 | 47.806944 | 107 | 12.418 | 6.62 | 280.018 | 8.7 | -12.68 | 300.752 | 8.708 | 3.649 | -127.479 | 1 | 1 | View | ||
| 19B090 | Hoko R nr Sekiu | WA.Ecology | -124.3541 | 48.2565 | 12 | 10.4 | 4.7 | 171.6 | 7.4 | 147 | 263 | 9.4 | 4.5 | 150 | 160 | 1711 | |||
| HLL | HOLLAND TRACT | CDEC | -121.579 | 38.008 | 3985 | 16.9 | 7.5 | 162.9 | 0 | 191 | 307 | 16.8 | 7.2 | 161 | 0 | 1805 | |||
| Streamnet_117 | HOODOO C MOUTH, STATION #4 | PSMFC | -115.8201447 | 46.0195999 | 649 | NA | NA | NA | NA | NA | NA | 7.537 | 6.552 | -102.373 | 1 | 0 | |||
| Streamnet_127 | Hornet GS | PSMFC | -116.625574 | 44.8382633 | 181 | NA | NA | NA | NA | NA | NA | 15.936 | -5.376 | -183.112 | 1 | 0 | |||
| 22A070 | Humptulips R nr Humptulips | WA.Ecology | -123.9618 | 47.2298 | 1113 | 11.4 | 6.3 | 172.3 | 5 | 132 | 308 | 10.4 | 6.2 | 156 | 145 | 1710 | |||
| Storet_095 | HUNGRY CREEK-LOWER BL HOBO UNIT #1 | EPA | -121.925 | 46.269167 | 188 | NA | NA | NA | NA | NA | NA | -6.639 | 16.233 | -141.867 | 1 | 0 | |||
| Storet_096 | HUNGRY CREEK-UPPER ABOVE UNIT #1 | EPA | -121.920833 | 46.271944 | 188 | NA | NA | NA | NA | NA | NA | -7.455 | 17.93 | -144.582 | 1 | 0 | |||
| 01C070 | Hutchinson C nr Acme | WA.Ecology | -122.1535 | 48.7243 | 2654 | 8 | 3.1 | 157.4 | 0 | 138 | 302 | 7.9 | 3.1 | 155 | 520 | 1711 | |||
| IBS | IBIS | CDEC | -122.113 | 38.157 | 2444 | 16.6 | 6.4 | 168.8 | 0 | 206 | 304 | 16.4 | 6.1 | 167 | 0 | 1805 | |||
| 45B070 | Icicle C nr Leavenworth | WA.Ecology | -120.6679 | 47.5634 | 36 | 7 | 7.1 | 167.2 | 5.7 | 180 | 326 | 5.9 | 5.5 | 154 | 1125 | 1702 | |||
| Storet_097 | ILLINOIS R @ MOUTH | EPA | -124.06575 | 42.548889 | 56 | 15.705 | 8.336 | 263.711 | 7.055 | 32.479 | 242.929 | 13.783 | 7.007 | -126.327 | 1 | 1 | View | ||
| Storet_098 | IMNAHA R @ CLOVERDALE CAMPGROUND | EPA | -116.922889 | 45.106889 | 1400 | NA | NA | NA | NA | NA | NA | 8.467 | 3.657 | -209.89 | 1 | 0 | |||
| Storet_099 | IMNAHA R D.S OF IMNAHA | EPA | -116.845806 | 45.631194 | 1486 | NA | NA | NA | NA | NA | NA | 63.643 | 47.576 | -329.534 | 1 | 0 | |||
| 18K250 | Independent Irrig. Dt. nr Sequim | WA.Ecology | -123.1463 | 48.057 | 3118 | 7.5 | 5.1 | 159.1 | 3 | 174 | 318 | 7 | 4.5 | 148 | 340 | 1711 | |||
| 18Q050 | Indian C @ mouth | WA.Ecology | -123.5846 | 48.0665 | 1569 | 8.2 | 2.7 | 169.4 | 0 | 246 | 293 | 8.2 | 2.6 | 168 | 215 | 1711 | |||
| 08B130 | Issaquah C nr Issaquah | WA.Ecology | -122.0477 | 47.552 | 104 | 10.8 | 5.2 | 163.9 | 2.1 | 120 | 313 | 10.2 | 5 | 153 | 45 | 1711 | |||
| Storet_100 | JAUSSAUD C 100YD ABV WENAHA R | EPA | -117.818611 | 45.920833 | 151 | NA | NA | NA | NA | NA | NA | 10.216 | -3.134 | -96.151 | 1 | 0 | |||
| Streamnet_134 | Jersey C @ the mouth | PSMFC | -115.4652481 | 45.4185715 | 183 | NA | NA | NA | NA | NA | NA | 4.398 | 9.735 | -137.17 | 1 | 0 | |||
| JER | JERSEY POINT | CDEC | -121.688 | 38.053 | 3999 | 16.4 | 6.8 | 160.1 | 0 | 192 | 310 | 16.2 | 6.5 | 158 | 0 | 1805 | |||
| 05G070 | Jim C @ Whites Rd. | WA.Ecology | -122.0532 | 48.1779 | 2346 | 10.4 | 6.2 | 166.8 | 3.9 | 135 | 311 | 9.5 | 5.8 | 151 | 165 | 1711 | |||
| 17C075 | Jimmycomelately C @ Hwy 101 | WA.Ecology | -123.0077 | 48.0195 | 1917 | 8.7 | 5.6 | 165.5 | 2.8 | 137 | 311 | 8.1 | 5.3 | 154 | NA | 1711 | |||
| 17C070 | Jimmycomelately C near Mouth | WA.Ecology | -123.0052 | 48.0203 | 731 | 10.4 | 6.7 | 175.3 | 6.2 | 191 | 313 | 9.6 | 5.5 | 168 | 10 | 1711 | |||
| Storet_101 | JOHN DAY @ GAGE | EPA | -116.233333 | 45.575 | 95 | 6.856 | 3.923 | 248.591 | 2.836 | 84.978 | 223.311 | 6.252 | 3.496 | -138.267 | 1 | 1 | |||
| Storet_102 | JOHN DAY R 1.5 MI WEST OF MT VERNON | EPA | -119.143861 | 44.416222 | 50 | 12.937 | 8.43 | 263.513 | 5.41 | 13.743 | 200.743 | 11.619 | 8.629 | -117.249 | 1 | 1 | |||
| Storet_103 | JOHN DAY R @ HWY 206 | EPA | -120.468639 | 45.476861 | 149 | 40.773 | 36.773 | 296.445 | 59.119 | -22.932 | 315.098 | 13.696 | 9.746 | -116.793 | 1 | 1 | |||
| Storet_104 | JOHN DAY R @ MCDONALD FERRY | EPA | -120.407194 | 45.584111 | 55 | 13.141 | 9.88 | 256.156 | 3.222 | 61.438 | 213.118 | 12.518 | 9.365 | -115.545 | 1 | 1 | View | ||
| 14048000 | JOHN DAY R @ MCDONALD FERRY, OR | USGS | -120.4095 | 45.5876 | 2872 | 13.4 | 10.8 | 171.6 | 4.3 | 157 | 305 | 12.6 | 9.9 | 164 | 392 | 1707 | |||
| Streamnet_128 | JOHN DAY R @ MCDONALD FERRY, OREG. | PSMFC | -120.40807362 | 45.59130524 | 2872 | 13.682 | 10.676 | -105.94 | 4.114 | 57.808 | 234.041 | 12.729 | 9.74 | -114.413 | 1 | 1 | |||
| Storet_105 | JOHN DAY R @ SERVICE C | EPA | -120.018667 | 44.782889 | 136 | 16.594 | 13.849 | 273.47 | 14.101 | 13.833 | 268.338 | 11.452 | 10.108 | -122.918 | 1 | 1 | |||
| Storet_106 | JOHN DAY R U.S DAYVILLE | EPA | -119.47725 | 44.463806 | 116 | 16.441 | 12.309 | 286.429 | 15.475 | -14.923 | 272.854 | 10.367 | 8.203 | -120.63 | 1 | 1 | |||
| Streamnet_135 | Johns C @ Gage | PSMFC | -115.8890228 | 45.8235016 | 446 | 9.884 | 8.791 | -89.998 | 11.957 | 57.841 | 244.049 | 4.039 | 9.66 | -131.215 | 1 | 1 | |||
| 08N070 | Johns C @ Gene Coulon Park | WA.Ecology | -122.2007 | 47.5034 | 12 | 12.7 | 5.2 | 150.8 | 0 | 250 | 321 | 12.7 | 5.1 | 150 | 13 | 1711 | |||
| 14211550 | JOHNSON C @ MILWAUKIE, OR | USGS | -122.6431 | 45.4529 | 3066 | 13.1 | 6.6 | 167.2 | 1.6 | 162 | 301 | 12.7 | 6.3 | 163 | 0 | 1709 | |||
| Streamnet_129 | JOHNSON C @ MILWAUKIE, OREG. | PSMFC | -122.64167219 | 45.45140138 | 327 | 21.437 | 11.746 | -68.081 | 18.326 | -48.919 | 309.923 | 12.616 | 5.347 | -123.009 | 1 | 1 | |||
| Streamnet_130 | JOHNSON C @ REGNER ROAD, AT GRESHAM, OR | PSMFC | -122.41972296 | 45.48522481 | 290 | 11.731 | 4.884 | -123.555 | 2.076 | 118.517 | 160.659 | 11.526 | 4.663 | -126.572 | 1 | 1 | |||
| 14211400 | JOHNSON C @ REGNER ROAD, AT GRESHAM, OR | USGS | -122.4218 | 45.4865 | 2773 | 12.2 | 6.3 | 171.5 | 2.6 | 127 | 301 | 11.6 | 6 | 161 | 305 | 1709 | |||
| 14211500 | JOHNSON C @ SYCAMORE, OR | USGS | -122.5079 | 45.4776 | 3067 | 12.5 | 6.7 | 172 | 2.6 | 131 | 301 | 11.9 | 6.4 | 163 | 228 | 1709 | |||
| Streamnet_131 | JOHNSON C @ SYCAMORE, OREG. | PSMFC | -122.50713031 | 45.47769549 | 359 | NA | NA | NA | NA | NA | NA | 12.025 | 5.46 | -123.337 | 1 | 0 | |||
| Streamnet_132 | JOHNSON C @ YELLOW PINE ID | PSMFC | -115.49898155 | 44.96139044 | 97 | NA | NA | NA | NA | NA | NA | -0.654 | 14.777 | -136.795 | 1 | 0 | |||
| 13313000 | JOHNSON C @ YELLOW PINE ID | USGS | -115.5 | 44.9617 | 551 | 7.5 | 7.4 | 173.3 | 6 | 151 | 306 | 6.2 | 6.6 | 152 | 4655 | 1706 | |||
| Streamnet_133 | JOHNSON C DEPLOYMENT #1 MARCH 5, 1992 | PSMFC | -115.5537643 | 46.1018372 | 94 | NA | NA | NA | NA | NA | NA | 12.287 | 6.688 | -159.953 | 1 | 0 | |||
| 35G060 | Joseph C nr mouth | WA.Ecology | -117.0168 | 46.0293 | 2673 | 11.6 | 10.6 | 173.6 | 5.2 | 149 | 300 | 10.5 | 9.8 | 164 | 1000 | 1706 | |||
| Streamnet_136 | KACHESS R NEAR EASTON, WASH. | PSMFC | -121.20203489 | 47.26130351 | 387 | 15.818 | 11.939 | -86.074 | 16.085 | -21.472 | 285.638 | 9.172 | 8.355 | -133.617 | 1 | 1 | |||
| 27B050 | Kalama R @ Kalama | WA.Ecology | -122.8564 | 46.0356 | 55 | 10.8 | 6.2 | 175.1 | 3.4 | 132 | 306 | 10 | 5.9 | 162 | NA | 1708 | |||
| Storet_107 | KALAMA R @ KALAMA | EPA | -122.855556 | 46.035556 | 55 | 11.103 | 6.216 | 266.156 | 3.609 | 28.114 | 230.32 | 10.124 | 5.784 | -114.429 | 1 | 1 | |||
| 27B110 | Kalama R @ Pigeon Springs | WA.Ecology | -122.6554 | 46.0334 | 23 | 8.6 | 4.4 | 165.9 | 1.8 | 128 | 304 | 8.2 | 4.2 | 156 | 400 | 1708 | |||
| Streamnet_138 | KALAMA R ABV SPENCER C NEAR KALAMA, WASH. | PSMFC | -122.81637683 | 46.04399393 | 2813 | 13.063 | 7.164 | -75.837 | 9.936 | -23.349 | 263.386 | 9.276 | 5.211 | -124.661 | 1 | 1 | |||
| Streamnet_139 | KALAMA R BELOW FALLS NEAR COUGAR, WASH. | PSMFC | -122.35903669 | 46.10680493 | 364 | 5.862 | 1.446 | -156.941 | 0.349 | 69.691 | 191.325 | 5.805 | 1.5 | -160.861 | 1 | 1 | |||
| Streamnet_140 | KALAMA R BELOW ITALIAN C NEAR KALAMA, WASH. | PSMFC | -122.7341663 | 46.02304266 | 6404 | 11.559 | 5.765 | -85.045 | 7.038 | -9.448 | 249.647 | 9.145 | 4.747 | -125.586 | 1 | 1 | |||
| Storet_108 | KALAMA R NEAR KALAMA | EPA | -122.836389 | 46.047778 | 260 | 14.552 | 7.922 | 294.208 | 11.952 | -24.882 | 268.869 | 9.875 | 4.914 | -125.784 | 1 | 1 | View | ||
| Streamnet_137 | KALAMA R NR COUGAR, WASH. | PSMFC | -122.35903471 | 46.10680731 | 300 | NA | NA | NA | NA | NA | NA | 6.346 | 3.287 | -140.088 | 1 | 0 | |||
| 27B070 | Kalama R nr Kalama | WA.Ecology | -122.8373 | 46.0473 | 989 | 10.8 | 6 | 170.6 | 4.4 | 138 | 305 | 9.9 | 6 | 156 | 40 | 1708 | |||
| 14211499 | KELLEY C @ SE 159TH DRIVE AT PORTLAND, OR | USGS | -122.4984 | 45.4768 | 2427 | 11.6 | 5.9 | 166.2 | 1.6 | 164 | 304 | 11.3 | 5.6 | 161 | 245 | 1709 | |||
| 60A070 | Kettle R nr Barstow | WA.Ecology | -118.1253 | 48.7846 | 639 | 10.4 | 11.3 | 169 | 8.5 | 171 | 305 | 9.2 | 10.4 | 156 | 1400 | 1702 | |||
| 11509500 | KLAMATH R @ KENO, OR | USGS | -121.9622 | 42.1332 | 272 | 13.3 | 9.8 | 171.1 | 3.8 | 104 | 294 | 12.5 | 9.7 | 159 | 3961 | 1801 | |||
| Streamnet_141 | KLICKITAT R NEAR PITT, WASH. | PSMFC | NA | NA | 7315 | 9.572 | 6.139 | -104.244 | 3.078 | 59.194 | 215.265 | 8.923 | 5.622 | -114.802 | 1 | 1 | |||
| 30B070 | Klickitat R nr Pitt | WA.Ecology | -121.2101 | 45.7565 | 157 | 10.4 | 7.3 | 174.7 | 3.8 | 141 | 302 | 9.5 | 6.5 | 163 | 390 | 1707 | |||
| KFS | KNIGHTS FERRY @ SONORA ROAD BRIDGE | CDEC | -120.667 | 37.819 | 2532 | 12 | 2.1 | 148.9 | 0 | 172 | 335 | 11.8 | 1.9 | 139 | 200 | 1804 | |||
| 12305000 | KOOTENAI R @ LEONIA ID | USGS | -116.0474 | 48.6177 | 4543 | 9.5 | 5.6 | 155.3 | 2.9 | 116 | 313 | 8.6 | 5.9 | 142 | NA | 1701 | |||
| Streamnet_142 | KOOTENAI R @ LEONIA ID | PSMFC | -116.04813812 | 48.61907407 | 4532 | 12.492 | 5.655 | -86.908 | 9.059 | -36.765 | 260.529 | 8.907 | 5.592 | -138.412 | 1 | 1 | |||
| 12322000 | KOOTENAI R @ PORTHILL ID | USGS | -116.5075 | 48.9964 | 13991 | 9.9 | 7.7 | 157.6 | 3.7 | 170 | 312 | 9.2 | 7.1 | 148 | 1700 | 1701 | |||
| Streamnet_143 | KOOTENAI R @ PORTHILL ID | PSMFC | -116.50347887 | 48.99861845 | 12154 | 9.824 | 7.5 | -125.522 | 2.892 | 95.542 | 218.986 | 9.311 | 7.114 | -132.338 | 1 | 1 | |||
| USGS_004 | Kootenai R Bl Libby Dam, Near Libby, MT | USGS | -115.1911 | 48.2403 | 460 | 8.556 | 5.783 | 192.909 | 2.342 | 109.844 | 199.834 | 8.576 | 6.087 | -182.294 | 1 | 1 | View | ||
| 12318500 | KOOTENAI R NR COPELAND ID | USGS | -116.4174 | 48.9119 | 5452 | 9.7 | 7.2 | 161.2 | 3.5 | 159 | 312 | 8.9 | 6.6 | 151 | 1700 | 1701 | |||
| Storet_109 | L-6 | EPA | -123.398333 | 48.133056 | 54 | NA | NA | NA | NA | NA | NA | 9.396 | 1.265 | -139.668 | 1 | 0 | |||
| 28I120 | Lacamas C @ Goodwin Road | WA.Ecology | -122.4569 | 45.6389 | 12 | 12.4 | 6.7 | 178 | 5.4 | 172 | 290 | 11.4 | 5.5 | 164 | 200 | 1708 | |||
| 11460400 | LAGUNITAS C A SAMUEL P TAYLOR STATE PARK CA | USGS | -122.7364 | 38.0269 | 256 | 12.6 | 2 | 177.9 | 0 | 177 | 211 | 12.5 | 2 | 176 | NA | 1805 | |||
| 46K050 | Lake C @ mouth | WA.Ecology | -120.5173 | 47.9376 | 1793 | 6 | 5.9 | 171 | 4.7 | 138 | 312 | 4.9 | 5.3 | 152 | 2130 | 1702 | |||
| Storet_110 | LAKE CREEK | EPA | -118.916667 | 44.55 | 92 | 6.697 | 5.987 | 252.62 | 5.949 | 49.477 | 246.568 | 5.135 | 5.476 | -141.704 | 1 | 1 | |||
| 28F070 | Lake R nr Ridgefield | WA.Ecology | -122.7404 | 45.8073 | 12 | 14.6 | 8.1 | 182 | 2 | 141 | 277 | 14.2 | 7.8 | 178 | 10 | 1708 | |||
| Storet_111 | LAKE SACAJAWEAN.A LK | EPA | -122.943611 | 46.128889 | 177 | NA | NA | NA | NA | NA | NA | 12.666 | 6.292 | -118.861 | 1 | 0 | |||
| Storet_112 | LAKE WAHA CENTER | EPA | -116.837222 | 46.210556 | 65 | NA | NA | NA | NA | NA | NA | 5.9 | 3.414 | -145.115 | 1 | 0 | |||
| Streamnet_144 | LAPWAI C NR LAPWAI ID | PSMFC | -116.80522436 | 46.42612395 | 154 | NA | NA | NA | NA | NA | NA | 12.124 | 8.584 | -129.648 | 1 | 0 | |||
| 13342450 | LAPWAI C NR LAPWAI ID | USGS | -116.8052 | 46.4266 | 769 | 11.4 | 8.5 | 162.1 | 0 | 203 | 288 | 11.2 | 8.3 | 158 | 864 | 1706 | |||
| 08L070 | Laughing Jacobs C nr Mouth | WA.Ecology | -122.0529 | 47.5659 | 87 | 10.6 | 3.7 | 166.5 | 0 | 254 | 312 | 10.5 | 3.3 | 158 | 15 | 1711 | |||
| 12B070 | Leach C nr Steilacoom | WA.Ecology | -122.5226 | 47.1982 | 145 | 10.4 | 3.4 | 162.5 | 1.5 | 162 | 313 | 10.2 | 3.3 | 154 | 160 | 1711 | |||
| Streamnet_160 | Leggett C @ the mouth | PSMFC | -115.6263275 | 45.8270302 | 70 | NA | NA | NA | NA | NA | NA | 8.82 | 9.398 | -80.659 | 1 | 0 | |||
| Streamnet_145 | LEMHI R NR LEMHI ID | PSMFC | -113.61661553 | 44.84878172 | 211 | NA | NA | NA | NA | NA | NA | 8.759 | 4.91 | -142.704 | 1 | 0 | |||
| Storet_114 | LEWIS R @ ARIEL | EPA | -122.555556 | 45.955833 | 74 | 6.743 | 7.126 | -196.456 | -7.122 | -2.479 | 273.502 | 9.431 | 4.239 | -170.396 | 1 | 1 | View | ||
| Streamnet_146 | LEWIS R @ ARIEL, WASH. | PSMFC | NA | NA | 2316 | 6.459 | 6.599 | -188.582 | -6.444 | -18.354 | 274.279 | 9.045 | 4.123 | -161.129 | 1 | 1 | |||
| Storet_115 | LEWIS R @ WOODLAND AT I-5 | EPA | -122.731944 | 45.890278 | 126 | 2.725 | 10.062 | -207.139 | -16.638 | -20.018 | 309.543 | 10.19 | 4.775 | -146.719 | 1 | 1 | |||
| Storet_116 | LEWIS R BASELINE | EPA | -122.016667 | 46.066667 | 3457 | 7.431 | 4.984 | 256.696 | 3.641 | 53.432 | 223.438 | 5.803 | 5.751 | -128.92 | 1 | 1 | |||
| Storet_113 | LEWIS R BL N88 | EPA | -121.728889 | 46.197222 | 94 | NA | NA | NA | NA | NA | NA | 16.145 | 12.783 | -422.657 | 1 | 0 | |||
| LFH | LEWISTON FISH HATCHERY | CDEC | -122.793 | 40.727 | 4965 | 9 | 1.6 | 154.9 | 0 | 246 | 299 | 9 | 1.6 | 154 | 1870 | NA | |||
| Storet_117 | LIMPY C NEAR ROAD 3602 | EPA | -123.55 | 42.433333 | 375 | 5.195 | 11.439 | 249.576 | 3.511 | 139.867 | 223.538 | 8.275 | 7.153 | -139.466 | 1 | 1 | |||
| 41J070 | Lind Coulee @ Hwy 17 | WA.Ecology | -119.1375 | 47.009 | 12 | 13.5 | 6 | 182.6 | 4.1 | 114 | 291 | 12.5 | 5.6 | 165 | 1050 | 1702 | |||
| Streamnet_147 | LITTLE ABIQUA C NEAR SCOTTS MILLS, OR | PSMFC | -122.62719552 | 44.95567007 | 1336 | 14.991 | 8.197 | -70.635 | 12.758 | -24.202 | 291.621 | 9.595 | 3.755 | -127.725 | 1 | 1 | |||
| 14200400 | LITTLE ABIQUA C NEAR SCOTTS MILLS, OR | USGS | -122.6284 | 44.9557 | 3873 | 10.2 | 4.3 | 170.9 | 2.7 | 135 | 311 | 9.5 | 3.9 | 156 | 800 | 1709 | |||
| 13297450 | LITTLE BOULDER C NR CLAYTON ID | USGS | -114.4472 | 44.099 | 2549 | 5.9 | 5.8 | 181 | 5.7 | 131 | 308 | 4.5 | 4.9 | 156 | 6200 | 1706 | |||
| Storet_118 | LITTLE ELK @ GAGE | EPA | -115.496944 | 45.895833 | 51 | 12.918 | 11.447 | -40.037 | 21.24 | -4.789 | 241.444 | 3.316 | 6.77 | -120.042 | 1 | 1 | |||
| 30C070 | Little Klickitat nr Wahkiacus | WA.Ecology | -121.0604 | 45.8432 | 2173 | 10.9 | 8.6 | 177.1 | 4.4 | 137 | 299 | 9.9 | 7.9 | 166 | 575 | 1707 | |||
| 30C150 | Little Klickitat R @ Hwy 97 | WA.Ecology | -120.7961 | 45.844 | 248 | 10.5 | 10.8 | 176.5 | 7.3 | 150 | 296 | 9 | 11.3 | 168 | 1660 | 1707 | |||
| 30C090 | Little Klickitat R @ Olson Rd. | WA.Ecology | -120.9258 | 45.8102 | 248 | 11.2 | 10.5 | 174.4 | 5 | 160 | 298 | 10.1 | 10.8 | 168 | 1420 | 1707 | |||
| Streamnet_161 | Little Mallard C @ mouth | PSMFC | -115.3049088 | 45.5297966 | 771 | 4.281 | 11.244 | -126.744 | 3.723 | 116.837 | 226.312 | 3.122 | 11.642 | -133.676 | 1 | 1 | |||
| Streamnet_162 | Little Mallard C below meadows | PSMFC | -115.3028412 | 45.5290184 | 642 | NA | NA | NA | NA | NA | NA | 6.021 | 7.45 | -95.387 | 1 | 0 | |||
| 38F070 | Little Naches nr Cliffdell | WA.Ecology | -121.0976 | 46.9887 | 48 | 8.9 | 8.3 | 176.1 | 7 | 144 | 312 | 7.2 | 6.9 | 156 | 2500 | 1703 | |||
| Streamnet_148 | LITTLE NF CLEARWATER R NR ELK RIVER ID | PSMFC | -115.87666825 | 46.88686084 | 827 | NA | NA | NA | NA | NA | NA | 6.286 | 6.197 | -124.887 | 1 | 0 | |||
| 13340760 | LITTLE NF CLEARWATER R NR ELK RIVER ID | USGS | -115.8474 | 46.9044 | 827 | 7.5 | 8.1 | 170.3 | 7.6 | 174 | 316 | 6.1 | 6.3 | 153 | NA | 1706 | |||
| 14182500 | LITTLE NORTH SANTIAM R NEAR MEHAMA, OR | USGS | -122.579 | 44.7915 | 2839 | 12.8 | 8.3 | 176.6 | 8.6 | 134 | 310 | 10.7 | 7.2 | 151 | 655 | 1709 | |||
| Streamnet_149 | LITTLE NORTH SANTIAM R NEAR MEHAMA, OREG. | PSMFC | -122.57840754 | 44.79078635 | 494 | 14.539 | 9.589 | -86.218 | 11.743 | 23.586 | 240.444 | 11.086 | 7.386 | -121.453 | 1 | 1 | |||
| 35Z070 | Little Penewawa C @ Mouth | WA.Ecology | -117.5891 | 46.7497 | 137 | 10.8 | 7.4 | 171.5 | 0 | 238 | 284 | 10.2 | 7.1 | 163 | 1650 | 1706 | |||
| 17D060 | Little Quilcene R nr mouth | WA.Ecology | -122.8757 | 47.8298 | 2604 | 9.1 | 5.2 | 166.7 | 2.3 | 158 | 309 | 8.7 | 4.7 | 158 | NA | 1711 | |||
| 18N050 | Little R @ mouth | WA.Ecology | -123.5713 | 48.0629 | 2513 | 8.3 | 3.6 | 165.7 | 2.9 | 138 | 318 | 7.6 | 3.2 | 145 | NA | 1711 | |||
| 14318000 | LITTLE R @ PEEL, OR | USGS | -123.0262 | 43.2526 | 2642 | 13 | 8.1 | 178.1 | 7.2 | 122 | 306 | 11.2 | 7.3 | 155 | 828 | 1710 | |||
| Streamnet_150 | LITTLE SALMON R @ RIGGINS ID | PSMFC | -116.32248266 | 45.41408422 | 98 | NA | NA | NA | NA | NA | NA | 3.978 | 13.173 | -139.805 | 1 | 0 | |||
| Streamnet_163 | Little Slate @ 221 Road | PSMFC | -116.1032333 | 45.4972496 | 531 | NA | NA | NA | NA | NA | NA | 2.48 | 8.595 | -123.068 | 1 | 0 | |||
| Streamnet_164 | Little Slate @ Gauging Station | PSMFC | -116.0663605 | 45.619957 | 390 | NA | NA | NA | NA | NA | NA | 1.664 | 11.167 | -133.879 | 1 | 0 | |||
| Streamnet_165 | Little Slate @ Royal Cr. | PSMFC | -116.0918503 | 45.522686 | 656 | NA | NA | NA | NA | NA | NA | 2.936 | 9.954 | -121.082 | 1 | 0 | |||
| Streamnet_166 | Little Slate @ Van Buren | PSMFC | -116.0820999 | 45.5325623 | 656 | NA | NA | NA | NA | NA | NA | 2.497 | 10.398 | -123.41 | 1 | 0 | |||
| Storet_119 | LITTLE SLATE C @ GAGE | EPA | -116.064444 | 45.619444 | 58 | 10.89 | 7.768 | 305.426 | 13.749 | -3.961 | 268.52 | 5.125 | 3.898 | -135.537 | 1 | 1 | |||
| Streamnet_167 | Little Slate C @ Mouth | PSMFC | -116.0663452 | 45.6196823 | 355 | NA | NA | NA | NA | NA | NA | 2.792 | 9.568 | -133.619 | 1 | 0 | |||
| 55B200 | Little Spokane @ Chattaroy | WA.Ecology | -117.3563 | 47.8893 | 24 | 10 | 9.3 | 175.7 | 4.5 | 111 | 299 | 8.8 | 9.1 | 163 | 1685 | 1701 | |||
| 55B085 | Little Spokane nr Dartford | WA.Ecology | -117.4049 | 47.7846 | 64 | 10.7 | -8.7 | 354.9 | 2.1 | 102 | 254 | 10.2 | 9 | 167 | 1600 | 1701 | |||
| Streamnet_151 | LITTLE SPOKANE R @ DARTFORD, WASH. | PSMFC | NA | NA | 862 | -4.7 | 11.504 | -239.924 | -33.181 | 1.749 | 335.277 | 10.599 | 7.009 | -110.02 | 1 | 1 | |||
| 55B082 | Little Spokane R abv Dartford Creek | WA.Ecology | -117.4155 | 47.7835 | 24 | 9.7 | 9.4 | 170.3 | 3.1 | 168 | 291 | 9.2 | 8.8 | 165 | 1578 | 1701 | |||
| 55B100 | Little Spokane R abv Deadman Creek | WA.Ecology | -117.3827 | 47.7982 | 24 | 10.4 | 10.7 | 171.8 | 3.7 | 184 | 298 | 9.8 | 9.9 | 168 | 1615 | 1701 | |||
| 45L050 | Little Wenatchee @ 2 Rvr Grav.Pit | WA.Ecology | -120.8454 | 47.8309 | 10 | 6.6 | 6.9 | 165.4 | 7.7 | 162 | 318 | 4.5 | 5.8 | 137 | 1875 | 1702 | |||
| 45L110 | Little Wenatchee R blw Rainey Cr. | WA.Ecology | -120.9454 | 47.8493 | 2329 | 7 | 7 | 169.8 | 7.2 | 152 | 317 | 5.4 | 5.8 | 145 | 2040 | 1702 | |||
| 15M070 | Llt Anderson C @ Anderson Hill Rd | WA.Ecology | -122.7554 | 47.6604 | 1909 | 8.1 | 2.9 | 160.7 | 0 | 147 | 313 | 7.9 | 2.8 | 154 | 20 | 1711 | |||
| 13337000 | LOCHSA R NR LOWELL ID | USGS | -115.5872 | 46.1508 | 664 | 10.5 | 10.7 | 168.2 | 10.3 | 163 | 312 | 8.7 | 8.7 | 147 | 1452 | 1706 | |||
| 13336700 | LOCHSA R NR POWELL RANGER STATION ID | USGS | -114.8843 | 46.4833 | 353 | 7.3 | 8.6 | 172.5 | 8 | 156 | 315 | 5.6 | 6.8 | 153 | NA | 1706 | |||
| Streamnet_168 | Logan Creek | PSMFC | -114.73215698 | 45.09457141 | 185 | NA | NA | NA | NA | NA | NA | 2.592 | 9.034 | -128.774 | 1 | 0 | |||
| Streamnet_169 | Long Gulch | PSMFC | -116.61397006 | 44.7180244 | 253 | NA | NA | NA | NA | NA | NA | 14.944 | -5.939 | -181.531 | 1 | 0 | |||
| 14169000 | LONG TOM R NEAR ALVADORE, OR | USGS | -123.2998 | 44.1235 | 1396 | 14.5 | 8.6 | 164.5 | 3.1 | 173 | 309 | 13.9 | 8 | 158 | 332 | 1709 | |||
| 09J090 | Longfellow C abv 24-25th St juctn | WA.Ecology | -122.3646 | 47.5446 | 105 | 12.4 | 3 | 164.4 | 0 | 260 | 298 | 12.2 | 2.8 | 153 | 35 | 1711 | |||
| 13324300 | LOOKINGGLASS C NEAR LOOKING GLASS, OR | USGS | -117.8649 | 45.7318 | 3437 | 7.6 | 5.3 | 176 | 4.1 | 140 | 293 | 6.7 | 4.8 | 159 | 2530 | 1706 | |||
| Streamnet_152 | LOOKOUT C NR BLUE R OREG | PSMFC | -122.25594469 | 44.20999624 | 7663 | 10.475 | 6.166 | -104.358 | 6.053 | 25.949 | 235.924 | 8.805 | 5.561 | -132.437 | 1 | 1 | |||
| Streamnet_153 | LOSTINE R @ LOSTINE, OREG. | PSMFC | -117.48897815 | 45.55225907 | 523 | NA | NA | NA | NA | NA | NA | 7.043 | 6.209 | -125.381 | 1 | 0 | |||
| Streamnet_154 | LOSTINE R NEAR LOSTINE, OREG. | PSMFC | -117.42607602 | 45.43936599 | 365 | 6.661 | 5.504 | -123.279 | -1.554 | 61.39 | 118.052 | 6.773 | 5.385 | -120.973 | 1 | 1 | |||
| Streamnet_170 | Lower | PSMFC | -116.21103536 | 44.54444424 | 2705 | 6.943 | 6.815 | -107.862 | 7.02 | 44.703 | 232.186 | 5.095 | 7.148 | -127.73 | 1 | 1 | |||
| Storet_120 | LOWER BARLOW C | EPA | -121.616667 | 45.233333 | 57 | 7.473 | 4.452 | -94.348 | 5.545 | 103.405 | 197.212 | 4.079 | 6.718 | -129.116 | 1 | 1 | |||
| Streamnet_171 | Lower Bench | PSMFC | -116.33109697 | 44.80709416 | 183 | NA | NA | NA | NA | NA | NA | 13.37 | -5.828 | -165.193 | 1 | 0 | |||
| Storet_121 | LOWER FROG C | EPA | -121.666667 | 45.2 | 74 | 8.743 | -4.731 | -205.702 | 8.043 | 93.647 | 217.984 | 3.624 | 2.989 | -123.28 | 1 | 1 | |||
| Streamnet_172 | Lower Lake | PSMFC | -116.15607779 | 45.06616713 | 79 | NA | NA | NA | NA | NA | NA | -5.409 | 26.671 | -119.335 | 1 | 0 | |||
| Streamnet_173 | Lower Meadow | PSMFC | -116.20616228 | 44.51197489 | 91 | NA | NA | NA | NA | NA | NA | -0.31 | 14.953 | -129.742 | 1 | 0 | |||
| Streamnet_155 | LOWER MEADOW C @ MCCOMAS MEADOWS, BOTTOM OF M | PSMFC | -115.9202728 | 45.8879738 | 734 | 15.699 | 13.515 | -72.048 | 20.284 | 4.5 | 264.965 | 6.379 | 10.291 | -125.812 | 1 | 1 | |||
| Streamnet_156 | LOWER MOOSE BUTTE TRAP ABOVE INLET | PSMFC | -115.3580933 | 45.6998291 | 101 | NA | NA | NA | NA | NA | NA | -0.584 | 15.109 | -128.055 | 1 | 0 | |||
| Streamnet_157 | LOWER MOOSE BUTTE TRAP BELOW OUTLET | PSMFC | -115.3579178 | 45.7000771 | 101 | NA | NA | NA | NA | NA | NA | -0.542 | 15.227 | -127.801 | 1 | 0 | |||
| Streamnet_174 | Lower Mouth | PSMFC | -115.78372175 | 45.07471584 | 478 | NA | NA | NA | NA | NA | NA | 3.658 | 7.018 | -132.823 | 1 | 0 | |||
| Streamnet_175 | Lower Newsome above mouth | PSMFC | -115.6134033 | 45.8293953 | 83 | NA | NA | NA | NA | NA | NA | 15.543 | 13.295 | -63.513 | 1 | 0 | |||
| Streamnet_158 | LOWER RED R BELOW MULLINS @ OLD BRIDGE FOUNDA | PSMFC | -115.3524704 | 45.7098465 | 483 | NA | NA | NA | NA | NA | NA | 5.834 | 9.822 | -112.878 | 1 | 0 | |||
| Streamnet_176 | Lower Sugar | PSMFC | -115.33619042 | 44.93581672 | 125 | NA | NA | NA | NA | NA | NA | 3.002 | 6.168 | -129.593 | 1 | 0 | |||
| Streamnet_159 | LUCKIAMUTE R @ PEDEE OREG | PSMFC | -123.50438767 | 44.71919353 | 1583 | 14.719 | 7.385 | -81.95 | 8.848 | -20.614 | 251.514 | 11.552 | 6.068 | -122.541 | 1 | 1 | |||
| 19G070 | Lyre R nr Shadow | WA.Ecology | -123.8352 | 48.1506 | 1777 | 11.7 | 5.4 | 156.9 | 3.4 | 121 | 313 | 10.8 | 5.4 | 141 | 50 | 1711 | |||
| 07D150 | M F Snoqualmie R nr Ellisville | WA.Ecology | -121.7694 | 47.5162 | 173 | 9.6 | 9 | 167.7 | 8.1 | 184 | 308 | 8.2 | 8.9 | 152 | 460 | 1711 | |||
| Streamnet_177 | M F WILLAMETTE R AB SALT CR., NR OAKRIDGE, OREG | PSMFC | -122.43714184 | 43.72024487 | 12331 | 3.93 | 9.975 | -198.677 | -13.096 | -20.132 | 256.049 | 8.72 | 3.407 | -173.492 | 1 | 1 | |||
| Streamnet_178 | M FK JOHN DAY R @ RITTER, OREG. | PSMFC | -119.13978667 | 44.88849525 | 1080 | 34.089 | -27.696 | -219.993 | 54.296 | -22.179 | 271.584 | 13.328 | 2.233 | -170.497 | 1 | 1 | |||
| 01G070 | M.F. Nooksack R | WA.Ecology | -122.113 | 48.7846 | 148 | 6.5 | 3.7 | 151.8 | 2 | 130 | 315 | 6.1 | 3.9 | 141 | 680 | 1711 | |||
| Storet_122 | MAD ABOVE FRENCH CORRAL BRIDGE | EPA | -120.433333 | 47.733333 | 252 | 14.621 | -7.469 | 132.795 | 16.821 | 16.695 | 221.594 | 10.114 | 5.621 | -94.249 | 1 | 1 | |||
| 46C100 | Mad R abv Camp Nine | WA.Ecology | -120.4801 | 47.7926 | 2472 | 6.7 | 7 | 172.3 | 6.1 | 160 | 312 | 5.4 | 5.6 | 155 | 2200 | 1702 | |||
| Streamnet_179 | MAIN RED R @ COLE 66 BRIDGE 1992 | PSMFC | -115.3867798 | 45.7763977 | 341 | NA | NA | NA | NA | NA | NA | 6.49 | 10.577 | -115.597 | 1 | 0 | |||
| Streamnet_180 | MAIN RED R @ RANGER STATION. 1994 RED RIVER D | PSMFC | -115.3430557 | 45.7104568 | 576 | NA | NA | NA | NA | NA | NA | 6.696 | 8.905 | -108.568 | 1 | 0 | |||
| Streamnet_210 | Main Slate @ Forest Boundary | PSMFC | -116.2002411 | 45.6313324 | 475 | 5.751 | 15.435 | -114.391 | 11.367 | 94.206 | 251.362 | 2.874 | 13.504 | -136.918 | 1 | 1 | |||
| Streamnet_211 | Main Slate @ Little Slate | PSMFC | -116.0663605 | 45.619957 | 384 | NA | NA | NA | NA | NA | NA | 2.161 | 10.78 | -135.323 | 1 | 0 | |||
| Streamnet_212 | Main Slate @ Mouth | PSMFC | -116.2819748 | 45.6401825 | 584 | NA | NA | NA | NA | NA | NA | 6.96 | 8.582 | -145.714 | 1 | 0 | |||
| Streamnet_181 | MALAD R NR GOODING ID | PSMFC | -115.2550474 | 43.27690938 | 215 | NA | NA | NA | NA | NA | NA | 13.051 | 9.539 | -135.587 | 1 | 0 | |||
| 10265140 | MAMMOTH C FLUME NR MAMMOTH LAKES CA | USGS | -118.9004 | 37.6405 | 1804 | 7.2 | 8 | 175.7 | 4.8 | 130 | 299 | 5.8 | 8.1 | 161 | NA | NA | |||
| 39J090 | Manastash C @ Manastash Rd. | WA.Ecology | -120.6845 | 46.9676 | 1593 | 8.1 | 8.6 | 172.4 | 6.5 | 148 | 309 | 6.7 | 7.5 | 155 | 2040 | 1703 | |||
| 01K050 | Maple C @ mouth | WA.Ecology | -122.081 | 48.914 | 1968 | 8.5 | 3 | 163.7 | 0 | 175 | 193 | 8.4 | 3 | 163 | 480 | 1711 | |||
| Storet_123 | MARION DR @ HWY 97 | EPA | -120.319444 | 46.324167 | 67 | 18.672 | 8.75 | 304.475 | 14.828 | -35.915 | 283.567 | 12.352 | 3.876 | -128.116 | 1 | 1 | |||
| 12505510 | MARION DRAIN @ INDIAN CHURCH R AT GRANGER, WA | USGS | -120.1995 | 46.331 | 554 | 13.5 | 6.2 | 168.5 | 2.3 | 153 | 304 | 13 | 5.9 | 161 | 695 | 1703 | |||
| 37D080 | Marion Drin nr Granger | WA.Ecology | -120.2251 | 46.3204 | 48 | 11.6 | 5.4 | 161.7 | 1.8 | 143 | 308 | 11.2 | 5.2 | 154 | 710 | 1703 | |||
| Streamnet_182 | MARSH C NR MCCAMMON ID | PSMFC | -112.22444988 | 42.62979859 | 271 | NA | NA | NA | NA | NA | NA | 9.586 | 9.943 | -121.903 | 1 | 0 | |||
| MRZ | MARTINEZ | CDEC | -122.138 | 38.028 | 5446 | 15.9 | 5.6 | 156.5 | 0 | 226 | 316 | 15.7 | 5.4 | 155 | 8 | 1805 | |||
| 10339250 | MARTIS CK @ HWY 267 NR TRUCKEE, CA | USGS | -120.1213 | 39.3021 | 300 | 8.1 | 8.3 | 181.6 | 4.8 | 145 | 301 | 7.1 | 7.1 | 169 | NA | 1605 | |||
| 18D060 | Matriotti C @ Olympic Game Farm | WA.Ecology | -123.1424 | 48.1359 | 344 | 9.6 | 3.6 | 160.1 | 0 | 191 | 317 | 9.4 | 3.3 | 155 | 20 | 1711 | |||
| Storet_124 | MAURICE C | EPA | -115.499444 | 45.830278 | 50 | NA | NA | NA | NA | NA | NA | 3.357 | 7.165 | -123.881 | 1 | 0 | |||
| Storet_125 | MAYFIELD LAKE | EPA | -122.580556 | 46.504167 | 51 | NA | NA | NA | NA | NA | NA | 8.563 | 3.2 | -209.542 | 1 | 0 | |||
| MSS | MCCLOUD R ABOVE SHASTA LAKE | CDEC | -122.219 | 40.958 | 7051 | 11 | 5.8 | 178.4 | 3.3 | 133 | 300 | 10.3 | 5.3 | 165 | 1100 | NA | |||
| 18P070 | McDonald C @ Hwy 101 | WA.Ecology | -123.2363 | 48.089 | 2472 | 8 | 5.4 | 164.7 | 1.9 | 143 | 307 | 7.6 | 5.2 | 157 | NA | 1711 | |||
| Storet_126 | MCKAY C @ KIRK ROAD (PENDLETON) | EPA | -118.823028 | 45.654444 | 3354 | NA | NA | NA | NA | NA | NA | 25.095 | -13.802 | -127.421 | 1 | 0 | |||
| Storet_146 | McKAY C @ KIRK ROAD (PENDLETON) | EPA | -118.823028 | 45.654444 | 75 | NA | NA | NA | NA | NA | NA | 11.683 | 3.282 | -130.792 | 1 | 0 | |||
| Storet_127 | MCKAY C @ SHAW ROAD (U.S OF RESERVIOR) | EPA | -118.772833 | 45.550556 | 367 | NA | NA | NA | NA | NA | NA | -548.633 | 562.857 | -37.524 | 1 | 0 | |||
| Streamnet_186 | MCKENZIE R @ FINN ROCK, OR | PSMFC | -122.35648129 | 44.1462522 | 856 | 8.317 | 3.485 | -151.079 | -1.053 | 17.995 | 177.532 | 8.54 | 3.193 | -148.255 | 1 | 1 | |||
| Streamnet_214 | McKENZIE R @ LEABURG DAM, OR | PSMFC | -122.58121579 | 44.14922298 | 332 | 11.857 | -1.454 | 2310.812 | 5.568 | 11.783 | 225.429 | 9.163 | 2.979 | -145.489 | 1 | 1 | |||
| Streamnet_183 | MCKENZIE R @ MCKENZIE BRIDGE, OREG. | PSMFC | -122.07482913 | 44.18967952 | 3389 | 7.462 | 2.412 | -114.643 | 1.069 | 41.258 | 226.668 | 7.201 | 2.324 | -126.503 | 1 | 1 | |||
| 14159110 | MCKENZIE R ABOVE SOUTH FORK, NEAR RAINBOW, OR | USGS | -122.2565 | 44.1664 | 1612 | 8 | 3.1 | 169 | 1.6 | 141 | 305 | 7.6 | 2.9 | 157 | 1150 | 1709 | |||
| Streamnet_213 | McKENZIE R ABV HAYDEN BR, @ SPRINGFIELD, OR | PSMFC | -122.94780992 | 44.067441 | 117 | NA | NA | NA | NA | NA | NA | 7.872 | 7.277 | -140.058 | 1 | 0 | |||
| Streamnet_184 | MCKENZIE R BL TRAIL BR DAM NR BELKNAP SPRGS, ORE. | PSMFC | -122.03011933 | 44.306547 | 3824 | 6.731 | 2.424 | -126.282 | 0.673 | 41.404 | 225.344 | 6.573 | 2.41 | -133.26 | 1 | 1 | |||
| Streamnet_187 | MCKENZIE R NEAR COBURG, OREG. | PSMFC | -123.03381925 | 44.09695207 | 4550 | 10.782 | 4.522 | -116.382 | 1.748 | 47.707 | 218.68 | 10.379 | 4.385 | -125.888 | 1 | 1 | |||
| Streamnet_188 | MCKENZIE R NEAR SPRINGFIELD, OREG. | PSMFC | -123.07332232 | 44.11812181 | 240 | NA | NA | NA | NA | NA | NA | 9.588 | 4.07 | -137.826 | 1 | 0 | |||
| 14162500 | MCKENZIE R NEAR VIDA, OR | USGS | -122.4706 | 44.1248 | 10707 | 8.6 | 3.7 | 153.7 | 0 | 155 | 307 | 8.4 | 3.6 | 147 | 855 | 1709 | |||
| 14163900 | MCKENZIE R NEAR WALTERVILLE, OR | USGS | -122.7712 | 44.0698 | 4480 | 11.7 | 4.7 | 156.7 | 2 | 155 | 305 | 11.3 | 4.5 | 148 | 600 | 1709 | |||
| Streamnet_185 | MCKENZIE R NR VIDA OREG | PSMFC | -122.44408225 | 44.11570475 | 8562 | 8.458 | 3.419 | -130.671 | 0.461 | 87.166 | 197.317 | 8.392 | 3.4 | -132.896 | 1 | 1 | |||
| Streamnet_189 | MDLE SANTIAM R @ MOUTH NR FOSTER, OREG. | PSMFC | -122.63192192 | 44.41737835 | 4381 | 13.382 | 8.095 | -92.957 | 9.176 | 12.85 | 242.62 | 10.53 | 6.688 | -127.873 | 1 | 1 | |||
| Storet_128 | MEACHUM C @ R ROAD BRIDGE | EPA | -118.353778 | 45.7025 | 683 | NA | NA | NA | NA | NA | NA | 5.403 | 18.385 | -110.69 | 1 | 0 | |||
| Streamnet_215 | Meadow | PSMFC | -116.26177954 | 45.14545905 | 236 | NA | NA | NA | NA | NA | NA | 11.887 | 4.959 | -803.757 | 1 | 0 | |||
| Streamnet_216 | Meadow C @ Campground | PSMFC | -115.926796 | 45.8292503 | 604 | 13.754 | 11.443 | -77.287 | 16.196 | 21.673 | 258.092 | 5.821 | 10.362 | -126.741 | 1 | 1 | |||
| Storet_129 | MEADOW C @ END OF ROAD | EPA | -117.729167 | 46.160278 | 358 | 17.069 | 12.831 | -28.734 | 30.332 | -49.626 | 255.845 | -0.602 | 11.645 | -124.335 | 1 | 1 | |||
| Streamnet_217 | Meadow C @ Guard Station. | PSMFC | -115.2953491 | 46.045639 | 82 | NA | NA | NA | NA | NA | NA | -6.946 | 22.351 | -135.789 | 1 | 0 | |||
| Streamnet_190 | MEADOW C ABOVE BEAR CREEK NEAR STARKEY, OREG. | PSMFC | -118.50371702 | 45.26067296 | 746 | 11.432 | 10.838 | -79.201 | 12.196 | -7.766 | 242.465 | 7.311 | 8.523 | -115.088 | 1 | 1 | |||
| Streamnet_191 | MEADOW C BELOW SMITH CREEK NEAR STARKEY, OREG | PSMFC | -118.60375089 | 45.28474929 | 768 | 11.1 | 10.664 | -74.851 | 13.405 | -12.273 | 254.209 | 6.342 | 7.364 | -116.922 | 1 | 1 | |||
| Streamnet_192 | MEADOW C NEAR MOUTH - 1993 | PSMFC | -115.927475 | 45.8289719 | 166 | NA | NA | NA | NA | NA | NA | 7.926 | 9.737 | -105.942 | 1 | 0 | |||
| 13336100 | MEADOW C NR LOWELL ID | USGS | -115.2907 | 46.0307 | 1929 | 8.4 | 8.2 | 173.5 | 6.9 | 143 | 309 | 6.8 | 7 | 155 | 1770 | 1706 | |||
| Streamnet_193 | MEADOW C NR LOWELL ID | PSMFC | -115.2906138 | 46.03378173 | 1929 | NA | NA | NA | NA | NA | NA | 7.086 | 6.727 | -123.358 | 1 | 0 | |||
| Storet_130 | MEADOW POINT. NE OF | EPA | -123.395 | 47.716667 | 73 | NA | NA | NA | NA | NA | NA | 10.604 | 2.723 | -153.923 | 1 | 0 | |||
| MBC | MERCED R @ BRICEBURG | CDEC | -120.0221 | 37.6208 | 1301 | 14.9 | 10.1 | 163 | 9 | 159 | 324 | 12.6 | 8.3 | 142 | 991 | 1804 | |||
| CRS | MERCED R @ CRESSY | CDEC | -120.663 | 37.425 | 5894 | 17.6 | 7.8 | 171.6 | 5.4 | 164 | 296 | 16.6 | 6.9 | 159 | 165 | 1804 | |||
| MSJ | MERCED R ABV SAN JOAQUIN RIVER CONFL | CDEC | -120.9718 | 37.3476 | 1075 | 17.3 | 7.5 | 171.9 | 4.5 | 188 | 304 | 16.8 | 6.7 | 167 | 52 | 1804 | |||
| MGS | MERCED R NEAR G ST IN SNELLING | CDEC | -120.4524 | 37.5038 | 1639 | 14.7 | 4.2 | 162 | 3.6 | 153 | 335 | 13.8 | 3.3 | 143 | 250 | 1804 | |||
| MHA | MERCED R NEAR HAGAMAN PARK | CDEC | -120.8359 | 37.3708 | 794 | 16.6 | 6.8 | 172.3 | 0 | 258 | 284 | 16.5 | 6.7 | 172 | 56 | 1804 | |||
| M59 | MERCED R NEAR HWY 59 BRIDGE SNELLING | CDEC | -120.5028 | 37.4697 | 1791 | 14.9 | 4.3 | 163.9 | 2.7 | 159 | 299 | 14.4 | 4 | 153 | 200 | 1804 | |||
| MST | MERCED R NEAR STEVINSON | CDEC | -120.931 | 37.371 | 5879 | 18.3 | 8.4 | 173.3 | 4.2 | 171 | 285 | 17.7 | 7.8 | 166 | 82 | 1804 | |||
| MSF | MERCED R NR SANTE FE BRIDGE CRESSEY | CDEC | -120.6545 | 37.4336 | 1784 | 17.1 | 7.6 | 171.5 | 5.3 | 162 | 294 | 16.1 | 6.7 | 159 | 115 | 1804 | |||
| 08D070 | Mercer Slough nr Bellevue | WA.Ecology | -122.1859 | 47.5818 | 23 | 13.3 | 9.3 | 173.6 | 2.7 | 161 | 298 | 12.8 | 8.8 | 169 | 17 | 1711 | |||
| 48A140 | Methow R @ Twisp | WA.Ecology | -120.1142 | 48.3593 | 908 | 9.1 | 8 | 171.3 | 7.1 | 163 | 312 | 7.9 | 7.6 | 154 | 1552 | 1702 | |||
| Storet_131 | METHOW R @ TWISP | EPA | -120.113056 | 48.359722 | 78 | 8.362 | 6.561 | 253.749 | 5.788 | 73.916 | 253.97 | 6.981 | 4.897 | -129.987 | 1 | 1 | View | ||
| 48A150 | Methow R @ Winthrop | WA.Ecology | -120.1776 | 48.4735 | 12 | 7.8 | 6.4 | 169.9 | 4.5 | 167 | 309 | 6.9 | 5.4 | 157 | 1754 | 1702 | |||
| Storet_132 | METHOW R NEAR PATEROS | EPA | -119.955556 | 48.074722 | 305 | 10.528 | 8.692 | 258.476 | 7.016 | 81.146 | 245.684 | 8.996 | 6.64 | -120.346 | 1 | 1 | View | ||
| Storet_133 | METHOW R NEAR TWISP | EPA | -120.105833 | 48.348056 | 132 | 8.316 | 6.633 | 254.158 | 5.308 | 80.817 | 243.585 | 7.194 | 5.267 | -126.414 | 1 | 1 | View | ||
| 48A070 | Methow R nr Pateros | WA.Ecology | -119.9568 | 48.0746 | 1253 | 10.8 | 10.1 | 173.9 | 8.8 | 173 | 311 | 9.3 | 9.1 | 158 | 870 | 1702 | |||
| Streamnet_194 | METHOW R NR PATEROS, WASH. | PSMFC | NA | NA | 788 | 10.145 | 9.322 | -105.167 | 6.513 | 95.176 | 215.853 | 9.031 | 8.054 | -114.356 | 1 | 1 | |||
| 48A130 | Methow R nr Twisp | WA.Ecology | -120.107 | 48.3479 | 139 | 8 | 7.1 | 170.7 | 5.8 | 173 | 321 | 6.9 | 5.5 | 156 | 1552 | 1702 | |||
| Streamnet_195 | METOLIUS R NEAR GRANDVIEW, OREG. | PSMFC | -121.50240266 | 44.63732067 | 7059 | NA | NA | NA | NA | NA | NA | 7.241 | 2.247 | -109.916 | 1 | 0 | |||
| 13256800 | MF WEISER R AB FALL C NR MESA ID | USGS | -116.3734 | 44.6452 | 587 | 8.3 | 8.7 | 170.7 | 6.2 | 156 | 302 | 7 | 7.8 | 155 | NA | 1705 | |||
| Streamnet_196 | MF WILLAMETTE R @ JASPER, OR | PSMFC | -122.90540693 | 43.99855089 | 11522 | 9.254 | 6.09 | -161.563 | -4.97 | -12.17 | 242.487 | 10.938 | 4.649 | -137.77 | 1 | 1 | |||
| Streamnet_197 | MF WILLAMETTE R BLW N FORK, NR OAKRIDGE, OR. | PSMFC | -122.55917563 | 43.80175484 | 21556 | 9.899 | 5.2 | -119.564 | 2.664 | 61.363 | 216.44 | 9.343 | 5.002 | -131.015 | 1 | 1 | |||
| Streamnet_218 | Middle | PSMFC | -116.20269582 | 44.57462548 | 294 | NA | NA | NA | NA | NA | NA | 6.714 | 6.848 | -90.951 | 1 | 0 | |||
| Storet_134 | MIDDLE ALPINE CR | EPA | -121.633333 | 45.266667 | 73 | 4.471 | 6.903 | -132.143 | 3.03 | 152.747 | 209.28 | 3.514 | 7.461 | -140.386 | 1 | 1 | |||
| Streamnet_198 | MIDDLE FORK CLEAR C NEAR SOLO CR. | PSMFC | -115.75212 | 46.03885 | 263 | NA | NA | NA | NA | NA | NA | 2.581 | 10.203 | -133.565 | 1 | 0 | |||
| Storet_135 | MIDDLE FORK COQUILLE R @ HWY 42 (HOFFMAN ST PK) | EPA | -124.113333 | 43.033056 | 60 | 14.647 | 6.959 | 247.604 | 4.233 | 65.05 | 212.392 | 13.965 | 6.578 | -127.358 | 1 | 1 | |||
| 12034500 | MIDDLE FORK SATSOP R NEAR SATSOP, WA | USGS | -123.4902 | 47.0859 | 273 | 10.3 | 6.8 | 169.3 | 0 | 236 | 308 | 10 | 6.4 | 167 | NA | 1710 | |||
| Streamnet_199 | MIDDLE FORK WILLAMETTE R NEAR DEXTER, OREG. | PSMFC | -122.83446423 | 43.94454486 | 14229 | 25.385 | 20.25 | -119.79 | 32.063 | 38.073 | 367.563 | 10.807 | 4.453 | -149.331 | 1 | 1 | |||
| Storet_136 | MIDDLE JOHN DAY CR | EPA | -116.227778 | 45.570833 | 58 | 15.187 | 12.847 | 309.429 | 22.747 | -16.287 | 281.663 | 4.87 | 5.177 | -132.585 | 1 | 1 | |||
| 24H070 | Middle Nemah R nr Nemah | WA.Ecology | -123.8879 | 46.4937 | 24 | 10.7 | 4.4 | 164.4 | 2.2 | 134 | 309 | 10.2 | 4.2 | 153 | 25 | 1710 | |||
| MTB | MIDDLE R @ TRACY BLVD | CDEC | -121.456 | 37.881 | 594 | 17.4 | 8 | 168.4 | 3 | 176 | 315 | 16.9 | 7.2 | 162 | 20 | 1804 | |||
| Streamnet_200 | MIDDLE SANTIAM R NEAR CASCADIA, OREG. | PSMFC | -122.37723266 | 44.5139531 | 6334 | 11.003 | 6.507 | -99.794 | 7.272 | 21.067 | 237.587 | 8.902 | 5.781 | -132.847 | 1 | 1 | |||
| 25F100 | Mill C @ DNR | WA.Ecology | -123.2132 | 46.2187 | 1165 | 9.6 | 4.7 | 163 | 2.1 | 135 | 310 | 9.2 | 4.5 | 152 | 275 | 1708 | |||
| 32C070 | Mill C @ Swegle Rd | WA.Ecology | -118.4708 | 46.0419 | 66 | 13.6 | 9 | 166.9 | 4.9 | 146 | 300 | 12.6 | 8.5 | 155 | 610 | 1707 | |||
| 32C110 | Mill C @ Tausick Way | WA.Ecology | -118.2839 | 46.076 | 42 | 11.7 | 8.5 | 166.3 | 5.4 | 129 | 309 | 10.5 | 8.2 | 151 | 1140 | 1707 | |||
| MCH | MILL C BELOW HWY 99 | CDEC | -122.101 | 40.043 | 2266 | 16.3 | 10.3 | 171.8 | 8.2 | 146 | 317 | 14.3 | 8.7 | 154 | 230 | 1803 | |||
| Streamnet_201 | MILL C NEAR COLVILLE, WASH. | PSMFC | -117.85671924 | 48.58028092 | 332 | 7.674 | 6.456 | -117.578 | 2.836 | 62.761 | 143.678 | 7.347 | 6.685 | -122.891 | 1 | 1 | |||
| MLM | MILL C NR LOS MOLINOS | CDEC | -122.0231 | 40.0547 | 4141 | 14.3 | 8.2 | 171 | 5.7 | 143 | 308 | 13 | 7.3 | 156 | 385 | 1803 | |||
| 11381500 | MILL C NR LOS MOLINOS CA | USGS | -122.0242 | 40.0546 | 4358 | 14.4 | 8.2 | 171.8 | 5.4 | 142 | 306 | 13.2 | 7.4 | 157 | 385 | 1802 | |||
| 25F060 | Mill C nr mouth | WA.Ecology | -123.1786 | 46.1906 | 2062 | 10.1 | 5.2 | 167.6 | 3 | 149 | 311 | 9.4 | 4.7 | 156 | 20 | 1708 | |||
| 23F070 | Mill Ck nr Bordeaux | WA.Ecology | -123.0969 | 46.8961 | 12 | 10.2 | 4.1 | 154.1 | 0 | 169 | 309 | 10 | 3.9 | 150 | 270 | 1710 | |||
| Streamnet_219 | Mill Creek | PSMFC | -115.9317627 | 45.8294754 | 295 | NA | NA | NA | NA | NA | NA | 4.558 | 11.53 | -125.732 | 1 | 0 | |||
| 09D070 | Miller C nr Mouth | WA.Ecology | -122.3522 | 47.4454 | 316 | 11.1 | 5.2 | 162.3 | 0 | 267 | 297 | 11 | 5.1 | 160 | 18 | 1711 | |||
| 13331500 | MINAM R @ MINAM, OR | USGS | -117.7266 | 45.6199 | 6975 | 8.8 | 9.1 | 170.1 | 8.7 | 170 | 318 | 7.2 | 7 | 152 | 2540 | 1706 | |||
| Streamnet_202 | MINAM R @ MINAM, OREG. | PSMFC | -117.72056874 | 45.62082992 | 6975 | NA | NA | NA | NA | NA | NA | 7.334 | 6.945 | -127.45 | 1 | 0 | |||
| Storet_137 | MINAM R @ USGS_GAGE (MINAM) | EPA | -117.729944 | 45.619556 | 7550 | -0.805 | 17.39 | 219.667 | 1.469 | 206.287 | 210.687 | -0.802 | 17.359 | -145.432 | 1 | 1 | |||
| Storet_138 | MINAM R REACH @ D.S END | EPA | -117.72125 | 45.620722 | 90 | NA | NA | NA | NA | NA | NA | NA | NA | NA | 0 | 0 | |||
| Storet_139 | MINAM R REACH @ U.S END | EPA | -117.7275 | 45.609 | 91 | NA | NA | NA | NA | NA | NA | -252.543 | 432.685 | -138.124 | 1 | 0 | |||
| Streamnet_203 | MOHAWK R NR SPRINGFIELD, OREG. | PSMFC | -122.9554631 | 44.09309044 | 2399 | 16.01 | 8.784 | -84.868 | 10.434 | -12.177 | 258.77 | 12.267 | 6.96 | -124.907 | 1 | 1 | |||
| 10261500 | MOJAVE R A LO NARROWS NR VICTORVILLE CA | USGS | -117.3206 | 34.573 | 3713 | 17.1 | 7.8 | 165.6 | 1.9 | 167 | 307 | 16.7 | 7.4 | 161 | 2643 | 1809 | |||
| Streamnet_204 | MOLALLA R AB PC NR WILHOIT, OREG. | PSMFC | -122.47914478 | 45.00879414 | 1523 | 11.771 | 6.898 | -96.658 | 7.464 | 15.056 | 232.957 | 9.649 | 6.236 | -129.108 | 1 | 1 | |||
| Streamnet_205 | MOLALLA R NR CANBY, OREG. | PSMFC | -122.68747092 | 45.24432931 | 2013 | 13.834 | 8.126 | -107.823 | 5.372 | 32.287 | 223.152 | 12.517 | 7.663 | -125.583 | 1 | 1 | |||
| MSL | MONTEZUMA SLOUGH @ ROARING R | CDEC | -121.8872 | 38.0934 | 616 | 15.7 | 5.9 | 155.9 | 0 | 276 | 315 | 15.6 | 5.8 | 156 | 0 | 1805 | |||
| Streamnet_206 | MOOSE BUTTE C ^25FT ABOVE FOREST BOUNDARY. 1994 | PSMFC | -115.3565979 | 45.7013206 | 592 | 44.496 | 42.062 | -39.157 | 79.212 | -60.168 | 298.38 | 6.294 | 7.799 | -105.647 | 1 | 1 | |||
| Streamnet_207 | MOOSE C @ MOUTH NR MOOSE CREEK RANGER STATION | PSMFC | NA | NA | 210 | 11.12 | 16.096 | -170.171 | 17.756 | 182.778 | 411.027 | 6.663 | 9.814 | -130.67 | 1 | 1 | |||
| 13200000 | MORES C AB ROBIE CREEK NR ARROWROCK DAM ID | USGS | -115.9897 | 43.6481 | 2102 | 10 | 10.7 | 173 | 7.4 | 149 | 306 | 8.4 | 9.3 | 158 | 3120 | 1705 | |||
| Streamnet_208 | MORES C AB ROBIE CREEK NR ARROWROCK DAM ID | PSMFC | -115.98990415 | 43.64759344 | 1964 | NA | NA | NA | NA | NA | NA | 8.743 | 8.954 | -119.574 | 1 | 0 | |||
| Storet_140 | MORGAN C @ HWY 93. | EPA | -114.175556 | 44.611111 | 423 | 8.12 | 9.113 | 265.116 | 5.995 | 48.191 | 250.522 | 6.794 | 6.381 | -118.973 | 1 | 1 | |||
| 18C070 | Morse C @ Four Seasons Ranch | WA.Ecology | -123.3535 | 48.1079 | 3548 | 7.9 | 5 | 164.5 | 3.5 | 144 | 318 | 7.1 | 4.5 | 148 | NA | 1711 | |||
| 18C150 | Morse C blw Aqueduct | WA.Ecology | -123.3505 | 48.0379 | 2705 | 7.5 | 4.4 | 166.7 | 3.5 | 134 | 317 | 6.6 | 4 | 145 | 630 | 1711 | |||
| 14113200 | MOSIER C NEAR MOSIER, OR | USGS | -121.3773 | 45.649 | 537 | 10.8 | 8 | 174.5 | 4 | 118 | 303 | 9.7 | 7.8 | 160 | 425 | 1707 | |||
| Streamnet_220 | Mouth | PSMFC | -116.22562893 | 44.66793501 | 1868 | 6.447 | 6.466 | -122.186 | 3.943 | 93.094 | 227.619 | 5.918 | 6.145 | -131.654 | 1 | 1 | |||
| Streamnet_221 | Mouth East Fork O'Hara Creek | PSMFC | -115.5231171 | 45.9982948 | 131 | NA | NA | NA | NA | NA | NA | 1.419 | 10.44 | -131.122 | 1 | 0 | |||
| Streamnet_222 | Mouth of Gedney Creek | PSMFC | -115.3131104 | 46.0580292 | 79 | NA | NA | NA | NA | NA | NA | -16.918 | 33.114 | -140.024 | 1 | 0 | |||
| Streamnet_209 | MOUTH OF SILVER CREEK | PSMFC | -115.7903366 | 45.8061981 | 83 | NA | NA | NA | NA | NA | NA | 3.189 | 10.512 | -123.385 | 1 | 0 | |||
| 37I070 | Moxee Drain @ Birchfield Rd. | WA.Ecology | -120.4382 | 46.5458 | 151 | 13.3 | 7.9 | 174.8 | 3.4 | 208 | 303 | 13 | 7.5 | 169 | 965 | 1703 | |||
| Storet_141 | MOXEE DRAIN @ BIRCHFIELD ROAD | EPA | -120.437222 | 46.546389 | 172 | 13.725 | 7.495 | 261.741 | 3.474 | 50.617 | 225.729 | 12.871 | 6.736 | -114.304 | 1 | 1 | |||
| MDL | MUD LAKE | CDEC | -120.14 | 38.615 | 1673 | 11.1 | 9.3 | 173.3 | 6.9 | 115 | 307 | 9 | 9.3 | 153 | 7900 | 1802 | |||
| MSG | MUD SLOUGH NR GUSTINE | CDEC | -120.9056 | 37.2625 | 2368 | 19 | 8.9 | 173.4 | 2.9 | 165 | 303 | 18.4 | 8.3 | 168 | 70 | 1804 | |||
| 11262900 | MUD SLOUGH NR GUSTINE CA | USGS | -120.9066 | 37.2624 | 8508 | 18.9 | 8.8 | 173.5 | 3.1 | 174 | 305 | 18.4 | 8.1 | 168 | 25 | 1804 | |||
| Storet_142 | MUDDY R - TEMP LOCATION | EPA | -122.004722 | 46.113889 | 81 | NA | NA | NA | NA | NA | NA | 3.601 | 9.223 | -136.053 | 1 | 0 | |||
| Storet_143 | MUDDY R BASELINE | EPA | -122.013611 | 46.121389 | 2680 | 8.298 | 4.661 | 254.737 | 3.47 | 42.079 | 205.887 | 7.081 | 5.418 | -126.901 | 1 | 1 | |||
| Storet_144 | MUDDY R SALVAGE-ABOVE | EPA | -122.15 | 46.166667 | 60 | NA | NA | NA | NA | NA | NA | -11.29 | 16.371 | -128.084 | 1 | 0 | |||
| Streamnet_223 | Mule | PSMFC | -115.16875771 | 44.9734952 | 64 | NA | NA | NA | NA | NA | NA | 10.769 | 2.474 | -98.045 | 1 | 0 | |||
| Storet_145 | MULTNOMAH CHANNEL @ ST HELENS | EPA | -122.798611 | 45.845833 | 154 | 14.2 | 7.657 | 246.978 | 3.022 | 42.448 | 252.775 | 13.313 | 7.087 | -128.482 | 1 | 1 | |||
| 14316500 | N UMPQUA R ABV COPELAND CK NR TOKETEE FALLS,OR | USGS | -122.5367 | 43.296 | 1496 | 8.6 | 5.1 | 172.7 | 3.4 | 139 | 300 | 7.9 | 5 | 158 | 1580 | 1710 | |||
| Storet_147 | N. CENTRAL LAKE OZETTE 1.4 MILE W. OF GARDEN IS. | EPA | -124.623333 | 48.105667 | 96 | NA | NA | NA | NA | NA | NA | 11.094 | 3.827 | -152.421 | 1 | 0 | |||
| Streamnet_224 | N. SANTIAM R @ FISHERMANS BEND NR MILL CITY, O | PSMFC | -123.00521714 | 44.68687267 | 371 | 10.096 | 2.465 | -174.121 | 1.305 | 58.661 | 190.02 | 9.691 | 3.012 | -174.231 | 1 | 1 | |||
| Storet_148 | N.F. CLEARWATER @ AHSAHKA | EPA | -116.320833 | 46.508333 | 99 | 9.558 | 5.127 | 231.387 | 1.697 | 59.037 | 245.165 | 9.149 | 4.962 | -142.019 | 1 | 1 | View | ||
| 49M100 | N.F. Salmon C nr Conconully | WA.Ecology | -119.7742 | 48.5954 | 2334 | 6.5 | 7 | 179.3 | 6.6 | 123 | 309 | 4.8 | 6.2 | 155 | 2855 | 1702 | |||
| 38A110 | Naches R @ Naches | WA.Ecology | -120.6998 | 46.7243 | 34 | 10.3 | 8.3 | 161 | 6.3 | 177 | 313 | 9.2 | 7.1 | 147 | 1460 | 1703 | |||
| Storet_149 | NACHES R @ NELSON BRIDGE | EPA | -120.586389 | 46.631944 | 128 | 11.069 | 9.162 | 260.477 | 7.409 | 36.044 | 277.496 | 8.645 | 6.605 | -126.148 | 1 | 1 | |||
| 38A070 | Naches R @ Yakima | WA.Ecology | -120.5206 | 46.6279 | 48 | 11.1 | 8.3 | 163.3 | 4.2 | 183 | 312 | 10.4 | 7.3 | 155 | 1060 | 1703 | |||
| 38A050 | Naches R @ Yakima on US HWY 97 | WA.Ecology | -120.5154 | 46.6295 | 138 | 10.4 | 8.5 | 166 | 5.5 | 163 | 316 | 9.2 | 7.3 | 154 | 1070 | 1703 | |||
| 38A130 | Naches R nr Naches | WA.Ecology | -120.7887 | 46.7462 | 194 | 10.3 | 9.1 | 168 | 7.2 | 160 | 305 | 8.8 | 8.9 | 153 | 1590 | 1703 | |||
| Streamnet_238 | Nameless | PSMFC | -116.3762593 | 45.16237343 | 466 | NA | NA | NA | NA | NA | NA | 6.761 | 3.133 | -140.89 | 1 | 0 | |||
| 11458000 | NAPA R NR NAPA CA | USGS | -122.3033 | 38.3682 | 1100 | 16.5 | 7.2 | 174.6 | 2 | 159 | 303 | 16.1 | 6.8 | 170 | 24 | 1805 | |||
| 11456000 | NAPA R NR ST HELENA CA | USGS | -122.4558 | 38.5113 | 5955 | 15.5 | 6.1 | 175.6 | 0 | 135 | 289 | 15.3 | 6 | 173 | 193 | 1805 | |||
| 12010000 | NASELLE R NEAR NASELLE, WA | USGS | -123.7435 | 46.374 | 3652 | 11.5 | 5.6 | 170.7 | 3.9 | 124 | 309 | 10.5 | 5.2 | 153 | 24 | 1710 | |||
| 24F070 | Naselle R nr Naselle | WA.Ecology | -123.7468 | 46.3729 | 588 | 11.5 | 6.1 | 174.3 | 4.4 | 130 | 303 | 10.6 | 6 | 159 | 75 | 1710 | |||
| 45J070 | Nason C nr mouth | WA.Ecology | -120.7165 | 47.8001 | 3037 | 8.5 | 8.6 | 169.6 | 8.1 | 165 | 315 | 6.9 | 6.9 | 150 | 1740 | 1702 | |||
| NSL | NATIONAL STEEL | CDEC | -121.8881 | 38.1221 | 2117 | 15.9 | 6.9 | 162.7 | 0 | 201 | 307 | 15.6 | 6.6 | 160 | 0 | 1803 | |||
| 51A070 | Nespelem R @ Nespelem | WA.Ecology | -118.9814 | 48.1668 | 144 | 8.7 | 6.3 | 165.6 | 0 | 248 | 291 | 8.6 | 6.1 | 165 | 1815 | 1702 | |||
| Streamnet_239 | Nethker Creek | PSMFC | -115.90457877 | 45.26410244 | 344 | NA | NA | NA | NA | NA | NA | 5.618 | 5.893 | -130.094 | 1 | 0 | |||
| Storet_150 | NEW DUNGENESS. NE OF | EPA | -123.063333 | 48.26 | 863 | 7.61 | 1.373 | -210.962 | -2.277 | 12.63 | 312.656 | 8.564 | 0.934 | -153.273 | 1 | 1 | |||
| Storet_151 | NEW DUNGENESS. NW OF | EPA | -123.231667 | 48.25 | 466 | 7.288 | 1.843 | -207.979 | -2.897 | -6.427 | 307.162 | 8.558 | 1.037 | -154.55 | 1 | 1 | |||
| 09F150 | Newaukum C nr Enumclaw | WA.Ecology | -122.067 | 47.283 | 92 | 10.3 | 5.4 | 178.5 | 5 | 161 | 307 | 9.6 | 5.3 | 167 | 180 | 1711 | |||
| 23B070 | Newaukum R nr Chehalis | WA.Ecology | -122.9446 | 46.6198 | 179 | 12.3 | 7.7 | 175.3 | 4.3 | 130 | 303 | 11.3 | 7.1 | 163 | 190 | 1710 | |||
| 13341000 | NF CLEARWATER R @ AHSAHKA ID | USGS | -116.3204 | 46.5043 | 4492 | 11 | 11 | 171.4 | 9.6 | 154 | 311 | 8.9 | 9.1 | 153 | 969 | 1706 | |||
| Streamnet_225 | NF CLEARWATER R @ AHSAHKA ID | PSMFC | -116.30543501 | 46.50933677 | 3815 | 11.4 | 10.725 | -103.995 | 9.272 | 56.028 | 228.028 | 9.166 | 8.951 | -124.287 | 1 | 1 | |||
| Streamnet_226 | NF CLEARWATER R NR CANYON RANGER STATION ID | PSMFC | -115.57108375 | 46.83805212 | 9070 | NA | NA | NA | NA | NA | NA | 7.751 | 7.8 | -128.104 | 1 | 0 | |||
| 13340600 | NF CLEARWATER R NR CANYON RANGER STATION ID | USGS | -115.6211 | 46.8406 | 11465 | 9.3 | 9.6 | 172.2 | 8 | 153 | 312 | 7.6 | 8 | 154 | 1660 | 1706 | |||
| USGS_005 | NF Clearwater R Nr Canyon Ranger Station ID | USGS | -115.3711 | 46.5026 | 10163 | 10.742 | 10.602 | 267.117 | 10.803 | 37.92 | 250.556 | 7.57 | 7.951 | -125.648 | 1 | 1 | View | ||
| Streamnet_227 | NF COEUR D ALENE R @ ENAVILLE ID | PSMFC | NA | NA | 288 | NA | NA | NA | NA | NA | NA | 5.407 | 11.942 | -138.712 | 1 | 0 | |||
| 23C070 | NF Newaukum R @ Forest | WA.Ecology | -122.8521 | 46.6082 | 24 | 11.9 | 6.2 | 158.2 | 3.2 | 141 | 259 | 11.4 | 6.4 | 150 | 280 | 1710 | |||
| Streamnet_228 | NF PAYETTE R @ CASCADE ID | PSMFC | NA | NA | 85 | NA | NA | NA | NA | NA | NA | 3.513 | 18.449 | -144.538 | 1 | 0 | |||
| Streamnet_229 | NF PAYETTE R @ MCCALL ID | PSMFC | NA | NA | 98 | NA | NA | NA | NA | NA | NA | -1.088 | 24.179 | -141.183 | 1 | 0 | |||
| 13239000 | NF PAYETTE R @ MCCALL ID | USGS | -116.1192 | 44.9072 | 504 | 11.7 | 10.4 | 164 | 9.1 | 124 | 308 | 9.6 | 10.5 | 143 | 4967 | 1705 | |||
| 13246000 | NF PAYETTE R NR BANKS ID | USGS | -116.1079 | 44.1138 | 1130 | 10.9 | 11 | 171.8 | 8 | 140 | 313 | 9.1 | 9.8 | 155 | 3081 | 1705 | |||
| Streamnet_230 | NF PAYETTE R NR BANKS ID | PSMFC | NA | NA | 1130 | 11.912 | 11.209 | -101.078 | 9.082 | 29.025 | 245.037 | 9.375 | 9.593 | -123.915 | 1 | 1 | |||
| 21D070 | NF Quinault R @ Amanda | WA.Ecology | -123.6238 | 47.5954 | 116 | 6.2 | 3.6 | 148.8 | 2.1 | 178 | 327 | 5.8 | 3.2 | 138 | 620 | 1710 | |||
| 12056500 | NF SKOKOMISH R BL STAIRCASE RPDS NR HOODSPORT, WA | USGS | -123.3299 | 47.5143 | 4312 | 7.8 | 4.5 | 156.3 | 3.1 | 143 | 323 | 7 | 4.2 | 139 | 762 | 1711 | |||
| Streamnet_231 | NF SKOOKUMCHUCK C NR WHITE BIRD ID | PSMFC | -116.2067288 | 45.72631688 | 200 | 8.072 | 3.887 | -137.858 | 3.86 | 64.972 | 328.429 | 7.046 | 2.832 | -152.5 | 1 | 1 | |||
| 05B070 | NF Stillaguamish R @ Cicero | WA.Ecology | -122.0131 | 48.2673 | 977 | 10.2 | 7.4 | 169 | 6.7 | 152 | 313 | 9.1 | 7 | 150 | 110 | 1711 | |||
| 05B090 | NF Stillaguamish R @ Oso | WA.Ecology | -121.888 | 48.2721 | 2268 | 9.8 | 5.9 | 166.4 | 4.5 | 150 | 313 | 8.9 | 5.3 | 149 | 205 | 1711 | |||
| 05B110 | NF Stillaguamish R nr Darrington | WA.Ecology | -121.7024 | 48.28 | 791 | 8.9 | 6 | 165.1 | 5.1 | 146 | 313 | 8 | 5.9 | 148 | 435 | 1711 | |||
| Storet_152 | NF TOUCHET R ABOVE SKYLINE BASIN | EPA | -117.833667 | 46.001528 | 117 | 18.39 | 16.791 | 306.092 | 31.047 | -26.462 | 308.827 | 4.353 | 2.591 | -137.263 | 1 | 1 | |||
| NTR | NF TRINITY R @ HELENA | CDEC | -123.127 | 40.782 | 1815 | 12.4 | 8.1 | 178.7 | 8.6 | 131 | 312 | 10.1 | 6.2 | 155 | 1345 | NA | |||
| 11A140 | Nisqually R @ Elbe | WA.Ecology | -122.1918 | 46.7621 | 90 | 7.1 | 3.6 | 168.4 | 0 | 168 | 285 | 6.9 | 3.5 | 165 | 1280 | 1711 | |||
| 11A110 | Nisqually R @ LaGrande | WA.Ecology | -122.3307 | 46.8434 | 24 | 8.8 | 4.7 | 144.8 | 2.9 | 190 | 343 | 8.2 | 4 | 133 | 485 | 1711 | |||
| 11A080 | Nisqually R @ McKenna | WA.Ecology | -122.5609 | 46.9332 | 110 | 9.5 | 5 | 148.3 | 1.8 | 168 | 317 | 9.1 | 4.8 | 141 | 290 | 1711 | |||
| 11A070 | Nisqually R @ Nisqually | WA.Ecology | -122.6962 | 47.0618 | 977 | 10 | 5.1 | 148.1 | 0 | 190 | 324 | 9.9 | 5 | 143 | 20 | 1711 | |||
| Streamnet_232 | NO FK BULL RUN R NEAR MULTNOMAH FALLS, OREG. | PSMFC | -122.03461174 | 45.49388504 | 6256 | 7.084 | 3.584 | -128.063 | 0.595 | 71.72 | 150.294 | 7.023 | 3.62 | -130.083 | 1 | 1 | |||
| Streamnet_233 | NO SANTIAM R BL BOULDER C NR DETROIT, OREG. | PSMFC | -122.10187663 | 44.70801696 | 12467 | 8.245 | 4.766 | -107.81 | 3.452 | 32.437 | 225.413 | 7.353 | 4.466 | -127.494 | 1 | 1 | |||
| 14178000 | NO SANTIAM R BLW BOULDER CRK, NR DETROIT, OR | USGS | -122.1012 | 44.7068 | 15078 | 8.1 | 5 | 167.9 | 3.5 | 136 | 306 | 7.3 | 4.6 | 151 | 1590 | 1709 | |||
| 45R050 | Noname C nr Cashmere | WA.Ecology | -120.4773 | 47.5212 | 246 | 12.8 | 5.6 | 184.2 | 5.2 | 177 | 306 | 11.5 | 5.2 | 160 | 790 | 1702 | |||
| 45R070 | Noname C on Mill Rd. | WA.Ecology | -120.4784 | 47.5206 | 12 | 12 | 4.4 | 172.6 | 5.2 | 153 | 310 | 10.9 | 3.5 | 148 | 790 | 1702 | |||
| 01A050 | Nooksack R @ Brennan | WA.Ecology | -122.58 | 48.819 | 888 | 10 | 6.7 | 167.5 | 4.2 | 172 | 311 | 9.5 | 6.2 | 156 | 10 | 1711 | |||
| 01A070 | Nooksack R @ Ferndale | WA.Ecology | -122.5829 | 48.854 | 172 | 9.5 | 5.7 | 164.8 | 3.2 | 171 | 316 | 8.9 | 5 | 155 | 18 | 1711 | |||
| 01A120 | Nooksack R @ No Cedarville | WA.Ecology | -122.2936 | 48.8416 | 1364 | 9.2 | 5.5 | 168.1 | 3.9 | 165 | 313 | 8.6 | 5 | 154 | 140 | 1711 | |||
| 01A140 | Nooksack R above the MF | WA.Ecology | -122.1542 | 48.838 | 2459 | 8.5 | 4.7 | 167.2 | 2.9 | 171 | 314 | 8 | 4.1 | 156 | 297 | 1711 | |||
| 01A090 | Nooksack R nr Lynden | WA.Ecology | -122.4854 | 48.9204 | 68 | 8.8 | 5.2 | 165.7 | 3.7 | 185 | 308 | 8.2 | 4.5 | 155 | 38 | 1711 | |||
| Streamnet_240 | Norht Fork Slate | PSMFC | -116.1177368 | 45.6397476 | 744 | 8.808 | 8.194 | -100.233 | 9.485 | 50.085 | 243.06 | 3.802 | 10.197 | -134.484 | 1 | 1 | |||
| 08K100 | North C nr Everett | WA.Ecology | -122.2243 | 47.8964 | 12 | 9.9 | 5.5 | 165.2 | 4 | 157 | 315 | 9.1 | 4.8 | 150 | 450 | 1711 | |||
| Storet_153 | NORTH END LAKE OZETTE 1.2 MILE WEST OF DEER BAY | EPA | -124.653833 | 48.142 | 69 | NA | NA | NA | NA | NA | NA | 11.449 | 3.948 | -156.509 | 1 | 0 | |||
| BNF | NORTH FORK BATTLE C NEAR MANTON | CDEC | -121.986 | 40.424 | 3687 | 12.9 | 4.9 | 170.9 | 2.2 | 143 | 297 | 12.4 | 4.6 | 161 | 998 | 1803 | |||
| 14138900 | NORTH FORK BULL RUN R NEAR MULTNOMAH FALLS, OR | USGS | -122.0359 | 45.4943 | 9960 | 7.1 | 3.8 | 156.6 | 0 | 122 | 303 | 7 | 3.8 | 152 | 1060 | 1708 | |||
| Storet_154 | NORTH FORK COQUILLE @ HWY 42 (MYRTLE POINT) | EPA | -124.136667 | 43.078583 | 82 | 14.725 | 6.897 | 254.88 | 5.397 | 52.982 | 229.182 | 13.589 | 6.072 | -126.147 | 1 | 1 | |||
| NFG | NORTH FORK GUALALA R NEAR GUALALA | CDEC | -123.502 | 38.785 | 896 | 13.4 | 2.9 | 167.5 | 1.4 | 104 | 298 | 13.1 | 2.9 | 154 | 30 | NA | |||
| Storet_155 | NORTH FORK REYNOLDS CREEK. LOWER | EPA | -118.516667 | 44.45 | 1097 | 6.715 | 1.441 | 262.409 | 2.42 | 67.315 | 211.071 | 6.349 | 1.195 | -134.354 | 1 | 1 | |||
| 12147500 | NORTH FORK TOLT R NEAR CARNATION, WA | USGS | -121.7887 | 47.7123 | 3946 | 8.4 | 3.6 | 165.1 | 2.5 | 132 | 312 | 7.8 | 3.4 | 148 | 600 | 1711 | |||
| Streamnet_241 | North Fork Whitebird Cr. | PSMFC | -116.2303238 | 45.7915611 | 641 | NA | NA | NA | NA | NA | NA | 7.01 | 8.707 | -128.333 | 1 | 0 | |||
| 12011000 | NORTH NEMAH R NEAR SOUTH BEND, WA | USGS | -123.8346 | 46.4915 | 386 | 10.4 | 4.9 | 158.4 | 3.3 | 210 | 307 | 10 | 4.3 | 151 | 60 | 1710 | |||
| Storet_156 | NORTH OF | EPA | -123.401389 | 48.161111 | 96 | NA | NA | NA | NA | NA | NA | 8.901 | 0.667 | -144.489 | 1 | 0 | |||
| 24D090 | North R @ Artic | WA.Ecology | -123.7116 | 46.8837 | 12 | 13 | 6.5 | 193.8 | 5.7 | 115 | 278 | 11.7 | 6 | 175 | 65 | 1710 | |||
| 12017000 | NORTH R NEAR RAYMOND, WA | USGS | -123.8507 | 46.8073 | 3636 | 12 | 6.8 | 171.2 | 4.3 | 122 | 307 | 10.9 | 6.4 | 155 | 7 | 1710 | |||
| 24D070 | North R nr Raymond | WA.Ecology | -123.8313 | 46.8292 | 73 | 11 | 5.8 | 169.9 | 2.5 | 139 | 306 | 10.4 | 5.5 | 160 | 40 | 1710 | |||
| 14183000 | NORTH SANTIAM R @ MEHAMA, OR | USGS | -122.6179 | 44.7887 | 2828 | 9.7 | 4.4 | 142 | 0 | 172 | 311 | 9.5 | 4.3 | 137 | 602 | 1709 | |||
| Streamnet_234 | NORTH SANTIAM R @ MEHAMA, OREG. | PSMFC | -122.61651627 | 44.78875345 | 464 | 9.487 | 4.263 | -133.787 | 1.729 | 99.548 | 183.649 | 9.29 | 4.308 | -140.106 | 1 | 1 | |||
| Streamnet_235 | NORTH SANTIAM R @ NIAGARA, OREG. | PSMFC | -122.29880263 | 44.75470579 | 15163 | 2.623 | 10.027 | -203.277 | -13.688 | -16.879 | 268.629 | 7.819 | 3.412 | -170.656 | 1 | 1 | |||
| Streamnet_236 | NORTH SANTIAM R NEAR JEFFERSON, OREG. | PSMFC | -122.97137805 | 44.70717963 | 458 | 11.677 | 5.693 | -120.173 | 3.823 | 87.291 | 199.515 | 10.953 | 5.295 | -134.537 | 1 | 1 | |||
| 14316460 | NORTH UMPQUA R @ SODA SPGS, NR TOKETEE FALLS, OR | USGS | -122.5128 | 43.306 | 3049 | 8.5 | 5 | 173.5 | 3.3 | 132 | 304 | 7.7 | 4.5 | 157 | 1720 | 1710 | |||
| 14317450 | NORTH UMPQUA R NEAR IDLEYLD PARK, OR | USGS | -122.9998 | 43.3246 | 3023 | 11.2 | 6.7 | 177.8 | 5.5 | 126 | 304 | 9.8 | 6 | 158 | 780 | 1710 | |||
| Streamnet_237 | NORTH YAMHILL R @ PIKE, OREG. | PSMFC | -123.37886048 | 45.36546814 | 2025 | 13.529 | 7.324 | -90.497 | 7.301 | -8.219 | 249.838 | 11.032 | 6.36 | -123.107 | 1 | 1 | |||
| 49A170 | Okanogan R @ Janis | WA.Ecology | -119.4706 | 48.649 | 24 | 11.2 | 11.1 | 170.2 | 8.2 | 181 | 326 | 9.5 | 8.8 | 159 | 945 | 1702 | |||
| 49A070 | Okanogan R @ Malott | WA.Ecology | -119.7045 | 48.2804 | 542 | 11.7 | 11.9 | 169.6 | 8.4 | 183 | 307 | 10.6 | 10.6 | 159 | 790 | 1702 | |||
| Streamnet_242 | OKANOGAN R @ MALOTT, WA | PSMFC | -119.73225625 | 48.23849844 | 566 | NA | NA | NA | NA | NA | NA | 9.156 | 7.611 | -119.272 | 1 | 0 | |||
| 12447200 | OKANOGAN R @ MALOTT, WA | USGS | -119.7045 | 48.2813 | 2209 | 11.6 | 11.8 | 168.6 | 8 | 189 | 298 | 10.4 | 10.2 | 160 | 783 | 1702 | |||
| 49A090 | Okanogan R @ Okanogan | WA.Ecology | -119.5778 | 48.3632 | 158 | 11.5 | 11.3 | 169.5 | 7.2 | 182 | 314 | 10.3 | 9.6 | 161 | 815 | 1702 | |||
| 49A190 | Okanogan R @ Oroville | WA.Ecology | -119.4267 | 48.9391 | 1289 | 12.4 | 11.7 | 160 | 3.1 | 146 | 303 | 11.8 | 11.7 | 155 | 917 | 1702 | |||
| 12439500 | OKANOGAN R @ OROVILLE, WA | USGS | -119.4203 | 48.9307 | 1041 | 12.2 | 11.3 | 158.2 | 0 | 160 | 304 | 12.1 | 11.2 | 156 | 900 | 1702 | |||
| Streamnet_243 | OKANOGAN R @ OROVILLE, WASH. | PSMFC | -119.41870051 | 48.93237682 | 495 | NA | NA | NA | NA | NA | NA | 12.172 | 11.04 | -122.787 | 1 | 0 | |||
| 49A180 | Okanogan R @ Tonaskat | WA.Ecology | -119.4453 | 48.7068 | 12 | 11.1 | 12.3 | 169.9 | 8.6 | 167 | 318 | 9.4 | 10.2 | 155 | 882 | 1702 | |||
| 12445000 | OKANOGAN R NEAR TONASKET, WA | USGS | -119.4617 | 48.6324 | 955 | 12 | 11.2 | 167.9 | 6.4 | 179 | 307 | 10.7 | 10 | 156 | 860 | 1702 | |||
| Streamnet_244 | OKANOGAN R NEAR TONASKET, WASH. | PSMFC | -119.4588794 | 48.63299181 | 450 | 12.803 | 10.81 | -110.7 | 7.403 | 70.847 | 237.321 | 10.623 | 9.951 | -131.865 | 1 | 1 | |||
| 49A050 | Okanogan R nr Brewster | WA.Ecology | -119.7095 | 48.1029 | 70 | 12.5 | 11.2 | 170.4 | 6.4 | 183 | 310 | 11.5 | 9.8 | 163 | 762 | 1702 | |||
| 15K070 | Olalla C @ Forsman Rd. | WA.Ecology | -122.5676 | 47.4284 | 86 | 10.5 | -2.9 | 350.4 | 1.7 | 86 | 296 | 10 | 3.3 | 160 | 55 | 1711 | |||
| OH1 | OLD R @ HEAD | CDEC | -121.329 | 37.808 | 2144 | 18.2 | 8.1 | 171.5 | 4.6 | 163 | 311 | 17.2 | 7.1 | 160 | 15 | 1804 | |||
| 26F050 | Olequa C @ 7th Street | WA.Ecology | -122.9645 | 46.4018 | 83 | 11.5 | 7 | 171 | 5.3 | 181 | 289 | 10.9 | 7 | 163 | 200 | 1708 | |||
| 49C100 | Omak C nr St. Marys Mission | WA.Ecology | -119.4459 | 48.3668 | 2549 | 9.2 | 10 | 174.6 | 4 | 124 | 300 | 8.2 | 9.5 | 165 | 1205 | 1702 | |||
| 11274538 | ORESTIMBA C @ R R NR CROWS LANDING CA | USGS | -121.016 | 37.4135 | 5933 | 17.5 | 8 | 172.3 | 2.6 | 171 | 304 | 17.1 | 7.4 | 167 | 65 | 1804 | |||
| OCL | ORESTIMBA CK @ R R NR CROWS LNDG | CDEC | -121.015 | 37.4136 | 2351 | 16.5 | 7.9 | 174.6 | 2.7 | 155 | 303 | 16 | 7.3 | 169 | 65 | 1804 | |||
| Streamnet_247 | Original | PSMFC | -115.72345648 | 44.99891124 | 326 | NA | NA | NA | NA | NA | NA | 2.909 | 10.059 | -130.153 | 1 | 0 | |||
| Streamnet_248 | Overpass | PSMFC | -116.00979552 | 45.13040962 | 212 | NA | NA | NA | NA | NA | NA | 1.197 | 11.379 | -146.52 | 1 | 0 | |||
| Streamnet_245 | OWYHEE R @ OWYHEE, OREG. | PSMFC | -117.0508794 | 43.79597661 | 1127 | 14.898 | 8.682 | -92.492 | 6.749 | -30.071 | 268.223 | 12.233 | 7.693 | -117.724 | 1 | 1 | |||
| Streamnet_246 | OWYHEE R NEAR ROME, OREG. | PSMFC | -117.65751085 | 42.86719291 | 1536 | 17.576 | 13.826 | -80.509 | 15.655 | -31.929 | 275.798 | 11.196 | 10.255 | -119.43 | 1 | 1 | |||
| Storet_157 | OZETTE LAKE | EPA | -124.65 | 48.1375 | 60 | NA | NA | NA | NA | NA | NA | 9.21 | 3.09 | -152.758 | 1 | 0 | |||
| PPP | PACHECO PUMPING PLANT (SLR00000) | CDEC | -121.1806 | 37.0619 | 10198 | 16.5 | 5.5 | 131.5 | 3.2 | 166 | 347 | 15.7 | 5.2 | 117 | 548 | 1804 | |||
| Streamnet_249 | PAHSIMEROI R @ ELLIS ID | PSMFC | -114.04717708 | 44.69138062 | 209 | NA | NA | NA | NA | NA | NA | 10.089 | 5.011 | -126.529 | 1 | 0 | |||
| 34A120 | Palouse R @ Colfax | WA.Ecology | -117.3605 | 46.8957 | 13 | 11.2 | 11.9 | 178.8 | 5.6 | 117 | 290 | 9.8 | 11.3 | 167 | 2050 | 1706 | |||
| 34A070 | Palouse R @ Hooper | WA.Ecology | -118.148 | 46.7588 | 613 | 12.5 | 11.2 | 172.4 | 4.6 | 151 | 302 | 11.6 | 10.5 | 164 | 1060 | 1706 | |||
| 34A170 | Palouse R @ Palouse | WA.Ecology | -117.0768 | 46.9091 | 1045 | 11.6 | 12.3 | 180.6 | 8.1 | 122 | 294 | 9.6 | 12.9 | 168 | 2090 | 1706 | |||
| 34A110 | Palouse R abv Buck Canyon | WA.Ecology | -117.3381 | 46.9077 | 64 | 11.1 | 10.6 | 170.7 | 5.8 | 137 | 299 | 9.9 | 9.9 | 158 | 1980 | 1706 | |||
| 34A090 | Palouse R nr Diamond | WA.Ecology | -117.4152 | 46.9282 | 42 | 12.1 | 11.5 | 169.3 | 5.8 | 162 | 301 | 11.2 | 10.4 | 159 | 1860 | 1706 | |||
| Streamnet_250 | PALOUSE R NR POTLATCH ID | PSMFC | NA | NA | 142 | NA | NA | NA | NA | NA | NA | 4.266 | 19.916 | -129.948 | 1 | 0 | |||
| 13345000 | PALOUSE R NR POTLATCH ID | USGS | -116.951 | 46.9152 | 728 | 11.4 | 12.3 | 173.3 | 8.8 | 131 | 299 | 9.4 | 12.1 | 155 | 2455 | 1706 | |||
| 29G060 | Panther C nr Carson | WA.Ecology | -121.8483 | 45.7711 | 822 | 7.4 | 3.3 | 169.5 | 1.6 | 135 | 304 | 7.1 | 3.2 | 158 | 622 | 1707 | |||
| 34C060 | Paradise C @ Mouth | WA.Ecology | -117.164 | 46.7206 | 244 | 10.9 | 7.7 | 190.6 | 4 | 98 | 277 | 9.7 | 8.2 | 179 | 2360 | 1706 | |||
| 34C070 | Paradise C nr Pullman | WA.Ecology | -117.1371 | 46.721 | 24 | 11.7 | 9.4 | 167.8 | 4.8 | 105 | 305 | 10.4 | 9.3 | 154 | 2480 | 1706 | |||
| Storet_158 | PATAHA C 1.2 MI ABV NFS BOUNDRY | EPA | -117.516667 | 46.281111 | 107 | 9.04 | 8.345 | 302.633 | 13.611 | 7.455 | 224.014 | 5.138 | 7.118 | -110.512 | 1 | 1 | |||
| Storet_159 | PATAHA C @ NFS BOUNDRY | EPA | -117.514444 | 46.291667 | 344 | NA | NA | NA | NA | NA | NA | 2.94 | 7.526 | -117.377 | 1 | 0 | |||
| 35F110 | Pataha C @ Rosy Grade | WA.Ecology | -117.5563 | 46.3612 | 11 | 7.8 | 9.8 | 186.3 | 10.3 | 131 | 305 | 5.8 | 7.3 | 155 | 3235 | 1706 | |||
| 35F050 | Pataha C near mouth | WA.Ecology | -117.973 | 46.5122 | 2654 | 11.4 | 9.9 | 175.7 | 3.4 | 156 | 295 | 10.7 | 9.3 | 170 | 886 | 1706 | |||
| Streamnet_260 | Patrick Creek | PSMFC | -116.22161484 | 45.3644463 | 121 | NA | NA | NA | NA | NA | NA | -0.217 | 14.14 | -138.021 | 1 | 0 | |||
| 07P070 | Patterson Ck nr Fall City | WA.Ecology | -121.9268 | 47.5915 | 180 | 10.5 | 5.1 | 170 | 2.5 | 182 | 293 | 10.3 | 5.1 | 165 | 70 | 1711 | |||
| 13238000 | PAYETTE R NR BANKS ID | USGS | -116.0998 | 44.0854 | 763 | 9.2 | 8.9 | 173.3 | 7.4 | 177 | 316 | 7.7 | 7.2 | 157 | 2805 | 1705 | |||
| 13249500 | PAYETTE R NR EMMETT ID | USGS | -116.4428 | 43.9306 | 355 | 12 | 9.4 | 164.2 | 5.3 | 156 | 315 | 10.8 | 8.4 | 152 | 2400 | 1705 | |||
| Streamnet_251 | PAYETTE R NR HORSESHOE BEND ID | PSMFC | NA | NA | 881 | 10.601 | 9.4 | -104.952 | 7.924 | 57.787 | 229.59 | 8.833 | 8.089 | -124.001 | 1 | 1 | |||
| 13247500 | PAYETTE R NR HORSESHOE BEND ID | USGS | -116.1967 | 43.9433 | 901 | 10.2 | 9.8 | 172.6 | 8.4 | 155 | 310 | 8.5 | 8.4 | 156 | 2625 | 1705 | |||
| 13251000 | PAYETTE R NR PAYETTE ID | USGS | -116.9253 | 44.0422 | 655 | 12.3 | 10.9 | 164.9 | 5.6 | 180 | 300 | 11.5 | 10.2 | 154 | 2138 | 1705 | |||
| Streamnet_252 | PAYETTE R NR PAYETTE ID | PSMFC | NA | NA | 249 | NA | NA | NA | NA | NA | NA | 7.895 | 14.052 | -133.444 | 1 | 0 | |||
| PTG | PEAR TREE GULCH | CDEC | -123.116 | 40.766 | 3907 | 11.6 | 5.7 | 167.8 | 3.9 | 163 | 309 | 10.8 | 4.9 | 155 | 1350 | NA | |||
| Streamnet_261 | Peasley C @ Mouth | PSMFC | -115.8181839 | 45.8174095 | 314 | 6.037 | 1.424 | -15.74 | -9.645 | 142.804 | 317.878 | 3.886 | 10.457 | -128.513 | 1 | 1 | |||
| Storet_160 | PEAVINE C A | EPA | -117.1 | 45.8 | 59 | NA | NA | NA | NA | NA | NA | 5.113 | 8.318 | -109.565 | 1 | 0 | |||
| Storet_161 | PEAVINE C D | EPA | -117.083333 | 45.75 | 71 | NA | NA | NA | NA | NA | NA | 5.642 | 11.448 | -120.481 | 1 | 0 | |||
| Storet_162 | PEAVINE C F | EPA | -117.083333 | 45.733333 | 189 | 24.786 | 18.349 | 317.235 | 34.987 | -1.783 | 248.488 | 3.897 | 19.078 | -124.283 | 1 | 1 | |||
| Storet_163 | PEAVINE C I | EPA | -117.083333 | 45.716667 | 58 | NA | NA | NA | NA | NA | NA | 7.899 | 10.647 | -113.485 | 1 | 0 | |||
| 62A080 | Pend Oreille R @ Border | WA.Ecology | -117.3536 | 48.9988 | 86 | 11 | 10.7 | 157.6 | 5.2 | 163 | 319 | 9.9 | 9.6 | 148 | 1722 | 1701 | |||
| Streamnet_253 | PEND OREILLE R @ INTERNATIONAL BOUNDARY | PSMFC | -117.35064512 | 48.99655653 | 2283 | NA | NA | NA | NA | NA | NA | 10.265 | 9.32 | -133.48 | 1 | 0 | |||
| 12398600 | PEND OREILLE R @ INTERNATIONAL BOUNDARY | USGS | -117.3536 | 48.9988 | 4525 | 12.2 | 10.1 | 157.4 | 4.3 | 165 | 317 | 11.3 | 9.3 | 149 | 1700 | 1701 | |||
| 62A090 | Pend Oreille R @ Metaline Falls | WA.Ecology | -117.3733 | 48.8649 | 199 | 11.2 | 10.7 | 160.9 | 5 | 160 | 314 | 10.1 | 9.9 | 152 | 2020 | 1701 | |||
| 62A150 | Pend Oreille R @ Newport | WA.Ecology | -117.0349 | 48.1852 | 476 | 11.2 | 9.9 | 159.6 | 4.6 | 147 | 316 | 10 | 9.2 | 149 | 2030 | 1701 | |||
| 62A070 | Pend Oreille R @ Waneta BC (USGS) | WA.Ecology | -117.6233 | 49.0069 | 18 | 11.1 | 9.8 | 153.5 | 4.2 | 183 | 315 | 10.4 | 8.8 | 147 | 1304 | 1701 | |||
| Storet_166 | PEPPER C @ R N836 | EPA | -121.983333 | 46.1 | 169 | 9.59 | 4.226 | 176.327 | 0.785 | 189.397 | 194.921 | 9.825 | 4.245 | -192.626 | 1 | 1 | |||
| Storet_164 | PEPPER C AB EYEBALL NO 3 | EPA | -121.953611 | 46.118333 | 330 | NA | NA | NA | NA | NA | NA | 5.402 | 5.123 | -136.619 | 1 | 0 | |||
| Storet_165 | PEPPER C AB N836B | EPA | -121.973889 | 46.086111 | 78 | NA | NA | NA | NA | NA | NA | 9.465 | 3.223 | -95.536 | 1 | 0 | |||
| Storet_167 | PEPPER C BELOW SALT NO 3 | EPA | -121.983333 | 46.083333 | 342 | 8.244 | 3.67 | -105.077 | 3.352 | 138.104 | 212.552 | 8.183 | 2.856 | -112.016 | 1 | 1 | |||
| 11162500 | PESCADERO C NR PESCADERO CA | USGS | -122.3289 | 37.2608 | 4034 | 12.9 | 5.3 | 169.4 | 2.1 | 152 | 311 | 12.4 | 4.9 | 161 | 62 | 1805 | |||
| 45F070 | Peshastin C @ Green Bridge Rd. | WA.Ecology | -120.6029 | 47.5523 | 2742 | 9 | 8.3 | 171.2 | 7.2 | 158 | 314 | 7.5 | 6.8 | 153 | NA | 1702 | |||
| 45F150 | Peshastin C abv Tronsen Cr. | WA.Ecology | -120.6542 | 47.3968 | 303 | 8.1 | 7.7 | 177.1 | 5.7 | 135 | 304 | 6.8 | 6.8 | 161 | 2560 | 1702 | |||
| 11162620 | PILARCITOS C BL STONE DAM NR HILLSBOROUGH CA | USGS | -122.3994 | 37.5247 | 748 | 12.3 | 4.4 | 169.6 | 0 | 162 | 308 | 12.1 | 4.1 | 165 | 500 | 1805 | |||
| 05D070 | Pilchuck C @ Bridge 626 | WA.Ecology | -122.2188 | 48.2134 | 2487 | 11 | 7.4 | 168.7 | 3.9 | 127 | 306 | 10 | 7 | 155 | NA | 1711 | |||
| 07B150 | Pilchuck R @ Menzel Lake Rd. | WA.Ecology | -121.9149 | 48.0187 | 76 | 9.3 | 5.3 | 166.3 | 2.9 | 120 | 299 | 8.8 | 5.6 | 158 | 440 | 1711 | |||
| 07B120 | Pilchuck R @ Robe-Menzel Rd. | WA.Ecology | -121.9574 | 48.0547 | 76 | 10.3 | 6.3 | 168.3 | 2.9 | 121 | 299 | 9.8 | 6.5 | 162 | 340 | 1711 | |||
| 07B055 | Pilchuck R @ Snohomish | WA.Ecology | -122.0833 | 47.9129 | 237 | 11.6 | 7.4 | 168.2 | 3.1 | 171 | 306 | 11 | 6.8 | 161 | 25 | 1711 | |||
| Storet_168 | PIN C AB FOREST R 90 | EPA | -121.711111 | 46.205278 | 58 | NA | NA | NA | NA | NA | NA | -107.952 | 121.776 | -139.605 | 1 | 0 | |||
| Storet_169 | PINE C 200 METERS U.S LONE PINE CREEK | EPA | -120.270833 | 44.900556 | 267 | NA | NA | NA | NA | NA | NA | 389.015 | 397.691 | -8.009 | 1 | 0 | |||
| Streamnet_254 | PINE C @ PINE CITY ROAD AT PINE CITY, WA | PSMFC | -117.50431014 | 47.20596212 | 281 | NA | NA | NA | NA | NA | NA | 11.102 | 8.871 | -112.107 | 1 | 0 | |||
| Streamnet_255 | PINE C @ PINE CITY, WA | PSMFC | -117.50431346 | 47.20596059 | 562 | 8.288 | 6.714 | -107.924 | -3.977 | 78.683 | 274.788 | 9.485 | 8.362 | -105.247 | 1 | 1 | |||
| Storet_170 | PINE C @ R MILE 0.4 | EPA | -120.440167 | 44.910417 | 257 | NA | NA | NA | NA | NA | NA | -1951.502 | 1969.411 | -168.468 | 1 | 0 | |||
| 34F090 | Pine C @ Rosalia | WA.Ecology | -117.3748 | 47.2411 | 101 | 10.5 | 11 | 178.3 | 5.9 | 191 | 300 | 10 | 10.6 | 173 | 2190 | 1706 | |||
| 11460170 | PINE C A BOLINAS CA | USGS | -122.693 | 37.9185 | 229 | 13.3 | 2.6 | 165.2 | 1.3 | 146 | 318 | 13 | 2.3 | 156 | 6 | 1805 | |||
| 12413445 | PINE C BELOW AMY GULCH NEAR PINEHURST ID | USGS | -116.2419 | 47.5144 | 2759 | 8.1 | 4.6 | 133.2 | 0 | 187 | 298 | 7.9 | 4.5 | 129 | 2300 | 1701 | |||
| 14046890 | PINE C NEAR CLARNO, OR | USGS | -120.4409 | 44.9104 | 2118 | 12 | 4.8 | 168.8 | 0 | 118 | 294 | 11.8 | 4.7 | 165 | 1340 | 1707 | |||
| PMN | PIT R NEAR MONTGOMERY CREEK | CDEC | -122.016 | 40.843 | 6856 | 12.3 | 6.7 | 162.2 | 1.8 | 161 | 306 | 11.9 | 6.4 | 157 | 1036 | NA | |||
| PTS | PITTSBURG | CDEC | -121.883 | 38.033 | 3946 | 16.4 | 6.2 | 158.4 | 0 | 202 | 313 | 16.3 | 6 | 157 | 10 | 1805 | |||
| 34H070 | Pleasant Valley C blw St John | WA.Ecology | -117.631 | 47.1052 | 12 | 10.7 | 8.5 | 178.1 | 2.8 | 98 | 285 | 10 | 8.5 | 170 | 575 | 1706 | |||
| Storet_171 | POISON C @ LEWIS R | EPA | -121.728056 | 46.195556 | 115 | NA | NA | NA | NA | NA | NA | 7.749 | -6.495 | -619.499 | 1 | 0 | |||
| Streamnet_262 | Pony Meadows | PSMFC | -115.68672389 | 45.19279214 | 79 | NA | NA | NA | NA | NA | NA | 14.606 | -6.475 | -194.903 | 1 | 0 | |||
| Storet_172 | PORT ANGELES HARBOR @ EDIZ HOOK | EPA | -123.398889 | 48.139444 | 50 | 8.786 | 1.618 | -203.961 | -2.312 | 51.536 | 272.151 | 9.427 | 1.194 | -157.513 | 1 | 1 | |||
| Storet_173 | PORT ANGELES HRB @ FIBREBD MILL | EPA | -123.456111 | 48.130278 | 52 | 5.769 | 6.489 | -205.809 | -10.266 | -16.77 | 273.712 | 9.758 | 1.657 | -151.275 | 1 | 1 | |||
| PCT | PORT CHICAGO | CDEC | -122.025 | 38.059 | 3307 | 15.5 | 5.7 | 154.9 | 0 | 231 | 304 | 15.5 | 5.7 | 155 | 0 | 1805 | |||
| 13075500 | PORTNEUF R @ POCATELLO ID | USGS | -112.4681 | 42.8717 | 755 | 10.8 | 11.5 | 172.4 | 5.3 | 180 | 294 | 9.8 | 10.7 | 161 | 4418 | 1704 | |||
| Streamnet_256 | PORTNEUF R @ POCATELLO ID | PSMFC | -112.23315174 | 42.62702275 | 252 | 12.67 | 9.161 | -109.519 | 6.803 | 90.62 | 217.691 | 7.931 | 12.601 | -130.109 | 1 | 1 | |||
| Streamnet_257 | PORTNEUF R @ TOPAZ ID | PSMFC | -112.03260445 | 42.37796947 | 272 | 13.285 | 7.499 | -112.5 | 5.964 | 93.178 | 213.75 | 8.793 | 11.268 | -131.586 | 1 | 1 | |||
| 13073000 | PORTNEUF R @ TOPAZ ID | USGS | -112.0881 | 42.6247 | 1218 | 12.4 | 8.7 | 166.2 | 3.5 | 181 | 297 | 11.8 | 8.3 | 155 | 4918 | 1704 | |||
| Streamnet_263 | Poverty Flat | PSMFC | -115.70398254 | 44.83230612 | 244 | NA | NA | NA | NA | NA | NA | 1.277 | 15.332 | -127.58 | 1 | 0 | |||
| Streamnet_258 | PRIEST R NR PRIEST RIVER ID | PSMFC | NA | NA | 124 | NA | NA | NA | NA | NA | NA | 2.793 | 18.079 | -130.762 | 1 | 0 | |||
| PPT | PRISONERS POINT | CDEC | -121.562 | 38.066 | 1272 | 16.4 | 7.1 | 161.2 | 0 | 176 | 306 | 16.2 | 6.9 | 159 | 0 | 1805 | |||
| Storet_174 | PROTECTION ISLAND | EPA | -122.88 | 48.206667 | 686 | NA | NA | NA | NA | NA | NA | 8.698 | 1.051 | -155.317 | 1 | 0 | |||
| Storet_175 | PT ANGELES HBR @ EDIZ HOOK HEAD | EPA | -123.459444 | 48.135 | 251 | 9.263 | 1.338 | -163.985 | -1.029 | 74.486 | 248.886 | 9.527 | 1.306 | -143.558 | 1 | 1 | |||
| Storet_176 | PT ANGELES HBR @ FERRY LANDING | EPA | -123.428333 | 48.122778 | 51 | 6.75 | 5.383 | -202.216 | -8.094 | -17.976 | 272.414 | 9.89 | 1.654 | -153.138 | 1 | 1 | |||
| Storet_177 | PT ANGELES HBR @ RAYONIER MILL | EPA | -123.407778 | 48.123056 | 83 | 9.24 | 1.183 | -159.606 | -1.311 | 100.485 | 230.462 | 9.424 | 1.264 | -138.529 | 1 | 1 | |||
| Storet_178 | PT ANGLS HBR @ EDIZ HK PILOT ST | EPA | -123.424444 | 48.140278 | 50 | 9.464 | 1.27 | -153.066 | -0.569 | 122.322 | 191.419 | 9.519 | 1.293 | -146.726 | 1 | 1 | |||
| Streamnet_259 | PUDDING R @ AURORA, OREG. | PSMFC | -122.74885241 | 45.23366269 | 1216 | 16.446 | 10.049 | -95.903 | 9.562 | 11.555 | 262.71 | 13.289 | 7.884 | -125.307 | 1 | 1 | |||
| Storet_179 | PUNY C @ R N524 AT MP 7.22 | EPA | -122.116667 | 45.901111 | 90 | NA | NA | NA | NA | NA | NA | 13.847 | -6.134 | -204.224 | 1 | 0 | |||
| 10A090 | Puyallup R @ McMillin | WA.Ecology | -122.2265 | 47.1401 | 43 | 9.8 | 5.5 | 166.1 | 2.6 | 191 | 314 | 9.4 | 5 | 161 | 99 | 1711 | |||
| 10A070 | Puyallup R @ Meridian St | WA.Ecology | -122.2937 | 47.2026 | 424 | 9.6 | 5.3 | 160.2 | 1.5 | 178 | 311 | 9.3 | 5 | 156 | 30 | 1711 | |||
| 10A110 | Puyallup R @ Orting | WA.Ecology | -122.2134 | 47.089 | 295 | 8.1 | 4.2 | 167.9 | 0 | 183 | 311 | 7.9 | 3.8 | 163 | 200 | 1711 | |||
| 10A050 | Puyallup R @ Puyallup | WA.Ecology | -122.3414 | 47.2136 | 371 | 9.9 | 5.8 | 161.5 | 1.9 | 170 | 311 | 9.7 | 5.5 | 155 | 20 | 1711 | |||
| 19A070 | Pysht R nr Pysht | WA.Ecology | -124.1577 | 48.1895 | 1964 | 10.3 | 5.5 | 174.2 | 3.9 | 114 | 304 | 9.3 | 5.3 | 155 | 50 | 1711 | |||
| Streamnet_265 | Quartz C @ the mouth | PSMFC | -115.5426559 | 45.7030907 | 84 | NA | NA | NA | NA | NA | NA | -2.853 | 13.69 | -139.932 | 1 | 0 | |||
| Storet_180 | QUARTZ C BASELINE | EPA | -121.8475 | 46.1825 | 2832 | 9.341 | 6.919 | 276.194 | 9.435 | 40.034 | 246.792 | 4.522 | 7.794 | -134.18 | 1 | 1 | |||
| Streamnet_264 | QUARTZVILLE C NEAR CASCADIA, OREG. | PSMFC | -122.43481674 | 44.53994587 | 7533 | 11.755 | 7.281 | -100.954 | 7.743 | 31.364 | 234.303 | 9.653 | 6.209 | -131.157 | 1 | 1 | |||
| 21A070 | Queets R @ Queets | WA.Ecology | -124.3338 | 47.5418 | 46 | 11.4 | 5.8 | 179.8 | 5.7 | 109 | 305 | 10 | 5.4 | 154 | 30 | 1710 | |||
| 21A080 | Queets R nr Clearwater (USGS) | WA.Ecology | -124.3152 | 47.5387 | 36 | 10.4 | 6.2 | 167.9 | 3.2 | 148 | 309 | 9.7 | 5.6 | 157 | 40 | 1710 | |||
| 21B090 | Quinault R @ Lake Quinault | WA.Ecology | -123.8893 | 47.4576 | 81 | 10.9 | 5.8 | 159.5 | 4.8 | 142 | 315 | 9.8 | 5.3 | 139 | 200 | 1710 | |||
| 07Q070 | Raging R @ Fall City | WA.Ecology | -121.8891 | 47.5643 | 24 | 10.2 | 6.6 | 163.6 | 3.4 | 223 | 310 | 9.8 | 5.9 | 160 | 100 | 1711 | |||
| Streamnet_266 | RAINY C NR KOSMOS, WASH. | PSMFC | -122.1777131 | 46.49690934 | 1066 | 10.494 | 5.193 | -101.837 | 3.923 | 8.124 | 237.206 | 9.295 | 4.851 | -124.662 | 1 | 1 | |||
| Storet_181 | RAINY DAY CR | EPA | -115.691667 | 45.808333 | 51 | 12.881 | 11.722 | 304.757 | 20.175 | -28.535 | 274.395 | 4.441 | 6.306 | -132.629 | 1 | 1 | |||
| Storet_182 | RAPID R @ GAGE | EPA | -116.397778 | 45.350556 | 61 | NA | NA | NA | NA | NA | NA | 7.181 | 2.791 | -141.583 | 1 | 0 | |||
| Streamnet_273 | Rapid R @ Guage Station | PSMFC | -116.3974457 | 45.3512917 | 164 | NA | NA | NA | NA | NA | NA | 5.643 | 3.951 | -152.1 | 1 | 0 | |||
| 29D070 | Rattlesnake C nr Mouth | WA.Ecology | -121.4851 | 45.7972 | 112 | 10.3 | 7.6 | 166.1 | 1.9 | 114 | 302 | 9.8 | 7.6 | 160 | 385 | 1707 | |||
| Storet_183 | RB4C WW SEC 28 T17N R23E | EPA | -119.9425 | 46.93 | 132 | 14.099 | 7.181 | -102.153 | 2.854 | 103.151 | 198.012 | 13.469 | 6.777 | -110.783 | 1 | 1 | |||
| Streamnet_267 | RECORDER #902922 DEPLOYMENT #003 MAIN CLEAR C | PSMFC | -115.9514847 | 46.1348801 | 89 | NA | NA | NA | NA | NA | NA | -5.832 | 17.837 | -136.601 | 1 | 0 | |||
| Streamnet_268 | RED R BL SF NR RED RIVER RANGER STATION ID | PSMFC | -115.34550448 | 45.71151141 | 270 | NA | NA | NA | NA | NA | NA | -0.666 | 16.855 | -122.191 | 1 | 0 | |||
| Streamnet_269 | RED R UPSTREAM FROM GIBLER'S NEAR DAWSON TRAIL | PSMFC | -115.3921967 | 45.7329636 | 389 | NA | NA | NA | NA | NA | NA | 5.948 | 9.585 | -112.619 | 1 | 0 | |||
| Storet_184 | REDFISH LAKE 1 | EPA | -114.932528 | 44.123333 | 86 | NA | NA | NA | NA | NA | NA | NA | NA | NA | 0 | 0 | |||
| Streamnet_270 | REDFISH LAKE C BL LAKE NR STANLEY ID | PSMFC | -114.91356625 | 44.1456549 | 693 | 9.116 | 8.288 | -122.936 | 5.311 | 47.239 | 225.478 | 7.891 | 8.095 | -139.727 | 1 | 1 | |||
| 13293900 | REDFISH LAKE C BL LAKE NR STANLEY ID | USGS | -114.912 | 44.1555 | 693 | 9 | 8.5 | 157 | 5.8 | 137 | 311 | 7.7 | 8.1 | 140 | NA | 1706 | |||
| 13293890 | REDFISH LK C @ OUTLET OF RDFSH LK NR STANLEY ID | USGS | -114.9142 | 44.1457 | 666 | 9.3 | 8.5 | 152.8 | 5.8 | 132 | 311 | 7.9 | 8.5 | 135 | NA | 1706 | |||
| Streamnet_271 | REDFISH LK C @ OUTLET OF RDFSH LK NR STANLEY ID | PSMFC | -114.9135636 | 44.14565658 | 666 | 9.374 | 8.267 | -127.523 | 5.323 | 41.55 | 223.474 | 8.105 | 8.435 | -144.195 | 1 | 1 | |||
| Storet_185 | RIM ROCK RES 100M. ABV DAM | EPA | -121.128056 | 46.653056 | 100 | 7.069 | 9.958 | -130.242 | 2.757 | 152.09 | 232.034 | 8.676 | 7.004 | -144.245 | 1 | 1 | |||
| RIV | RIO VISTA | CDEC | -121.7 | 38.15 | 4003 | 16 | 6.7 | 161.6 | 0 | 189 | 311 | 15.8 | 6.4 | 159 | 0 | 1805 | |||
| RPN | RIPON | CDEC | -121.109 | 37.73 | 6362 | 16.5 | 6.5 | 172.5 | 4.7 | 160 | 303 | 15.6 | 5.7 | 159 | 35 | 1804 | |||
| Streamnet_274 | Road 246 | PSMFC | -115.94632384 | 45.3325244 | 243 | NA | NA | NA | NA | NA | NA | -1.92 | 14.742 | -131.778 | 1 | 0 | |||
| Storet_186 | ROAD C NEAR MOUTH | EPA | -114.284722 | 44.186944 | 626 | NA | NA | NA | NA | NA | NA | 5.755 | 6.12 | -117.523 | 1 | 0 | |||
| 46B060 | Roaring C nr mouth | WA.Ecology | -120.3442 | 47.6857 | 2459 | 8.7 | 6.6 | 171.5 | 4.2 | 159 | 311 | 7.8 | 5.6 | 159 | 1215 | 1702 | |||
| ROR | ROARING RIVER | CDEC | -121.889 | 38.092 | 994 | 15.6 | 6 | 156.1 | 0 | 261 | 320 | 15.5 | 5.7 | 155 | 10 | 1805 | |||
| RBP | ROBBS POWERHOUSE | CDEC | -120.375 | 38.903 | 1795 | 13.3 | 11.7 | 173.6 | 5.4 | 146 | 304 | 12.1 | 10.5 | 163 | 5150 | 1802 | |||
| RBB | ROBBS SADDLE | CDEC | -120.378 | 38.912 | 1811 | 13.5 | 10.9 | 174.1 | 6 | 126 | 303 | 11.9 | 10.1 | 160 | 5900 | 1802 | |||
| 31B070 | Rock C @ Old Hwy 8 Bridge | WA.Ecology | -120.4378 | 45.7476 | 1046 | 12.1 | 7.7 | 149.4 | 0 | 255 | 293 | 12.1 | 7.6 | 149 | 420 | 1702 | |||
| 29A070 | Rock C @ Stevenson | WA.Ecology | -121.905 | 45.6986 | 835 | 11 | 7.3 | 166.7 | 6.2 | 141 | 317 | 9.6 | 6.6 | 146 | 315 | 1707 | |||
| Streamnet_272 | ROCK C AB HWY 30/93 XING @ TWIN FALLS ID | PSMFC | -114.46254585 | 42.54580022 | 250 | NA | NA | NA | NA | NA | NA | 10.816 | 7.355 | -120.522 | 1 | 0 | |||
| 13092747 | ROCK C AB HWY 30/93 XING @ TWIN FALLS ID | USGS | -114.4947 | 42.5625 | 1110 | 12.4 | 5.5 | 168.5 | 1.7 | 105 | 294 | 12 | 5.6 | 161 | 3630 | 1704 | |||
| Storet_187 | ROCK C ABV RESERVOIR | EPA | -121.383333 | 45.216667 | 56 | 12.818 | 9.338 | 277.415 | 13.392 | 38.299 | 263.778 | 8.221 | 5.987 | -133.146 | 1 | 1 | |||
| 14181750 | ROCK C NEAR MILL CITY, OR | USGS | -122.4276 | 44.7121 | 372 | 9.8 | 4.5 | 173.7 | 5 | 97 | 309 | 8.3 | 4.6 | 144 | 1400 | 1709 | |||
| 45N060 | Rock C nr mouth | WA.Ecology | -120.7901 | 47.969 | 2837 | 6 | 5.7 | 171.3 | 4.5 | 143 | 316 | 4.9 | 4.9 | 153 | NA | 1702 | |||
| 41G070 | Rocky Coulee Wasteway @ K NE Road | WA.Ecology | -119.257 | 47.1626 | 12 | 13.8 | 7.1 | 184.2 | 9.2 | 138 | 285 | 12.1 | 6.2 | 157 | 1080 | 1702 | |||
| 41D070 | Rocky Ford C @ Hwy 17 | WA.Ecology | -119.4553 | 47.2612 | 24 | 13.9 | 8.2 | 186.1 | 4.4 | 136 | 294 | 13 | 7.3 | 175 | 1061 | 1702 | |||
| 14339000 | ROGUE R @ DODGE BRIDGE, NEAR EAGLE POINT, OR | USGS | -122.8428 | 42.5248 | 11274 | 9.3 | 4.7 | 166.3 | 1.6 | 155 | 304 | 9 | 4.4 | 160 | 1271 | 1710 | |||
| Storet_188 | ROGUE R @ LOBSTER C BR | EPA | -124.292167 | 42.503667 | 169 | 15.168 | 7.806 | 258.139 | 5.118 | 46.949 | 232.745 | 13.961 | 6.999 | -123.224 | 1 | 1 | View | ||
| 14359000 | ROGUE R @ RAYGOLD NEAR CENTRAL POINT, OR | USGS | -122.9873 | 42.4373 | 3460 | 11.1 | 5.7 | 166.4 | 2.1 | 171 | 310 | 10.6 | 5.2 | 160 | 1121 | 1710 | |||
| Storet_189 | ROGUE R @ ROBERTSON BRIDGE (MERLIN) | EPA | -123.486 | 42.495083 | 246 | 16.469 | 9.058 | 281.493 | 9.532 | -17.561 | 269.467 | 12.858 | 6.744 | -118.938 | 1 | 1 | |||
| 14330000 | ROGUE R BELOW PROSPECT, OR | USGS | -122.5161 | 42.7296 | 12375 | 7.7 | 4.7 | 174.4 | 2.9 | 131 | 301 | 7 | 4.4 | 160 | 1964 | 1710 | |||
| 14372300 | ROGUE R NEAR AGNESS, OR | USGS | -124.0581 | 42.5784 | 13169 | 14.1 | 8.4 | 170.9 | 4.6 | 137 | 305 | 13 | 7.7 | 158 | 113 | 1710 | |||
| 14337600 | ROGUE R NEAR MCLEOD, OR | USGS | -122.715 | 42.6554 | 12660 | 8.7 | 3.9 | 165.5 | 1.5 | 122 | 304 | 8.3 | 3.8 | 156 | 1489 | 1710 | |||
| RRI | ROUGH AND READY ISLAND | CDEC | -121.365 | 37.963 | 2433 | 18.4 | 8.7 | 165.7 | 3.7 | 170 | 314 | 17.7 | 7.9 | 158 | 15 | 1804 | |||
| Storet_190 | RSE C | EPA | -123.35 | 48.156667 | 89 | NA | NA | NA | NA | NA | NA | 8.27 | 1.459 | -124.496 | 1 | 0 | |||
| RCL | RUSH C NEAR LEWISTON | CDEC | -122.834 | 40.725 | 3302 | 11 | 7.4 | 170.8 | 6.3 | 152 | 308 | 9.6 | 6.4 | 153 | 1700 | NA | |||
| 11463980 | RUSSIAN R A DIGGER BEND NR HEALDSBURG CA | USGS | -122.8555 | 38.633 | 2855 | 17 | 7 | 163.1 | 2 | 144 | 296 | 16.6 | 6.8 | 157 | NA | 1801 | |||
| HEA | RUSSIAN R NEAR HEALDSBURG | CDEC | -122.867 | 38.617 | 3112 | 16.6 | 7 | 166.3 | 1.8 | 137 | 293 | 16.2 | 6.8 | 161 | 108 | NA | |||
| 11467000 | RUSSIAN R NR GUERNEVILLE CA | USGS | -122.9278 | 38.5085 | 9296 | 16.8 | 7.2 | 166.8 | 1.8 | 137 | 303 | 16.4 | 7 | 161 | 20 | 1801 | |||
| 11464000 | RUSSIAN R NR HEALDSBURG CA | USGS | -122.8364 | 38.6132 | 13656 | 16.7 | 7.2 | 164.6 | 0 | 144 | 302 | 16.4 | 7 | 161 | 77 | 1801 | |||
| Streamnet_275 | S FK MCKENZIE R AB COUGAR LK NR RAINBOW, OREG. | PSMFC | -122.21694305 | 44.04768946 | 5228 | 8.156 | 3.655 | -104.963 | 2.758 | 12.213 | 227.206 | 7.305 | 3.397 | -125.649 | 1 | 1 | |||
| Storet_191 | S. CENTRAL L. OZETTE 1.6 MILE E. OF CEMETERY PT. | EPA | -124.636806 | 48.083194 | 76 | NA | NA | NA | NA | NA | NA | 10.903 | 3.694 | -148.392 | 1 | 0 | |||
| Storet_192 | S. END LAKE OZETTE 1.2 MILE E. OF TIVOLI ISLAND | EPA | -124.626667 | 48.070333 | 112 | NA | NA | NA | NA | NA | NA | 11.144 | 3.948 | -156.417 | 1 | 0 | |||
| 38H080 | S.F. Cowiche Cr.nr Cowiche | WA.Ecology | -120.727 | 46.654 | 447 | 10.3 | 9.9 | 176.5 | 7.3 | 177 | 305 | 7.5 | 10.1 | 154 | 1750 | 1703 | |||
| 01F070 | S.F. Nooksack @ Potter Rd | WA.Ecology | -122.1993 | 48.789 | 2616 | 10.4 | 6.9 | 170.4 | 5.5 | 148 | 313 | 9.2 | 5.9 | 153 | 235 | 1711 | |||
| Streamnet_276 | S.F. PALOUSE R @ COLFAX, WA | PSMFC | -117.35758217 | 46.87827077 | 662 | NA | NA | NA | NA | NA | NA | 11.147 | 9.358 | -109.914 | 1 | 0 | |||
| 34B072 | S.F. Palouse R @ Parvin | WA.Ecology | -117.2846 | 46.8477 | 355 | 11.4 | 11 | 176.7 | 3.5 | 156 | 287 | 10.8 | 10.5 | 172 | 2140 | 1706 | |||
| 05A105 | S.F. Stillaguamish R @ Jordan Rd. | WA.Ecology | -121.976 | 48.0951 | 2228 | 10 | 7.1 | 168.6 | 5.9 | 144 | 313 | 8.6 | 6.3 | 149 | 310 | 1711 | |||
| Streamnet_324 | Sabe C @ the mouth | PSMFC | -115.0236664 | 45.5090904 | 668 | NA | NA | NA | NA | NA | NA | 3.513 | 10.504 | -135.49 | 1 | 0 | |||
| Streamnet_325 | Sabe C below Hamilton Creek | PSMFC | -114.9647141 | 45.5726318 | 91 | NA | NA | NA | NA | NA | NA | 2.869 | 11.018 | -125.579 | 1 | 0 | |||
| DLT | SACRAMENTO R @ DELTA | CDEC | -122.416 | 40.94 | 7225 | 12.7 | 7.5 | 169.9 | 5.3 | 142 | 308 | 11.5 | 6.7 | 154 | 1075 | 1803 | |||
| SRH | SACRAMENTO R @ HOOD | CDEC | -121.519 | 38.382 | 8032 | 15.9 | 6.6 | 160.8 | 0 | 225 | 307 | 15.8 | 6.5 | 160 | 4 | 1803 | |||
| MAL | SACRAMENTO R @ MALLARD ISLAND | CDEC | -121.919 | 38.044 | 8173 | 16.2 | 6.2 | 158.9 | 0 | 216 | 312 | 16 | 6 | 157 | 0 | 1803 | |||
| RVB | SACRAMENTO R @ RIO VISTA BRIDGE | CDEC | -121.7 | 38.15 | 1435 | 16 | 6.7 | 157.9 | 0 | 288 | 314 | 16 | 6.6 | 158 | 0 | 1803 | |||
| 11447650 | SACRAMENTO R A FREEPORT CA | USGS | -121.5013 | 38.456 | 5392 | 15.8 | 6.5 | 159.1 | 0 | 275 | 307 | 15.7 | 6.4 | 159 | 7 | 1802 | |||
| 11425500 | SACRAMENTO R A VERONA CA | USGS | -121.5983 | 38.7743 | 1962 | 15.6 | 6.3 | 163.1 | 0 | 175 | 306 | 15.5 | 6.1 | 161 | -3 | 1802 | |||
| 11390500 | SACRAMENTO R BL WILKINS SLOUGH NR GRIMES CA | USGS | -121.8247 | 39.0099 | 4445 | 15.3 | 5.9 | 163.2 | 0 | 249 | 308 | 15.1 | 5.7 | 163 | NA | 1802 | |||
| 10343500 | SAGEHEN C NR TRUCKEE CA | USGS | -120.238 | 39.4316 | 5223 | 7.1 | 6.2 | 180.4 | 5.1 | 119 | 296 | 5.8 | 5.7 | 160 | 6320 | 1605 | |||
| 11152300 | SALINAS R NR CHUALAR CA | USGS | -121.5494 | 36.5536 | 1319 | 15.9 | 5.8 | 162.2 | 3.1 | 219 | 319 | 15.5 | 5.2 | 157 | 68 | 1806 | |||
| 11152500 | SALINAS R NR SPRECKELS CA | USGS | -121.6724 | 36.6311 | 1858 | 17.5 | 5.9 | 165.6 | 2 | 201 | 315 | 17.2 | 5.5 | 163 | 20 | 1806 | |||
| 17F060 | Salmon C @ West Uncas Rd. | WA.Ecology | -122.8966 | 47.9804 | 2795 | 8.7 | 4.9 | 163.4 | 1.7 | 157 | 311 | 8.3 | 4.6 | 156 | NA | 1711 | |||
| Streamnet_277 | SALMON FALLS C NR HAGERMAN ID | PSMFC | -114.8504875 | 42.69811809 | 173 | 12.79 | 8.977 | -116.084 | 3.589 | 123.814 | 208.695 | 13.191 | 7.374 | -125.863 | 1 | 1 | |||
| 13108150 | SALMON FALLS C NR HAGERMAN ID | USGS | -114.8553 | 42.6964 | 787 | 13.5 | 8.2 | 174.8 | 3.4 | 169 | 290 | 12.9 | 7.7 | 165 | 2900 | 1704 | |||
| 13293800 | SALMON R @ HWY 93 ABV REDFISH C NR STANLEY ID | USGS | -114.887 | 44.1638 | 2115 | 7.5 | 6.9 | 173.2 | 4.4 | 152 | 306 | 6.6 | 6.1 | 160 | NA | 1706 | |||
| 13317000 | SALMON R @ WHITE BIRD ID | USGS | -116.3239 | 45.7503 | 6394 | 11.9 | 9.7 | 169.3 | 8.1 | 175 | 310 | 10.5 | 8 | 154 | 1412 | 1706 | |||
| Streamnet_278 | SALMON R AB REDFISH LAKE C NR STANLEY ID | PSMFC | -114.88472858 | 44.15754857 | 2115 | 7.714 | 6.745 | -105.864 | 4.197 | 55.653 | 229.534 | 6.73 | 5.967 | -120.622 | 1 | 1 | |||
| Streamnet_326 | Salmon R Above Big Mallard Creek | PSMFC | -115.268631 | 45.5373383 | 573 | 6.781 | 2.492 | -20.447 | -14.072 | 141.005 | 331.83 | 6.076 | 12.335 | -132.273 | 1 | 1 | |||
| Streamnet_327 | Salmon R above Sabe Creek | PSMFC | -115.0229568 | 45.5075531 | 301 | NA | NA | NA | NA | NA | NA | 1.767 | 17.312 | -135.126 | 1 | 0 | |||
| Streamnet_328 | Salmon R below Crooked Creek | PSMFC | -115.6665497 | 45.434536 | 666 | 6.496 | 2.875 | -1.107 | -14.971 | 139.515 | 332.291 | 5.075 | 13.278 | -132.691 | 1 | 1 | |||
| 19F070 | Salt C nr Ramapo | WA.Ecology | -123.6966 | 48.1501 | 1811 | 9.1 | 3.4 | 170.7 | 3 | 109 | 313 | 8.3 | 3.3 | 147 | 20 | 1711 | |||
| 13027500 | SALT R AB RESERVOIR NR ETNA WY | USGS | -111.0372 | 43.0797 | 1719 | 8.5 | 5.5 | 177.5 | 2.9 | 123 | 293 | 7.9 | 5.4 | 166 | 5676 | 1704 | |||
| SSH | SALT SLOUGH @ HWY 165 NR STEVINSON | CDEC | -120.8511 | 37.2478 | 2376 | 18.6 | 8.6 | 173.8 | 2.9 | 160 | 304 | 18.1 | 8 | 168 | 75 | 1804 | |||
| 11261100 | SALT SLOUGH A HWY 165 NR STEVINSON CA | USGS | -120.8521 | 37.2477 | 8605 | 18.7 | 8.6 | 173.3 | 2.8 | 178 | 304 | 18.2 | 7.9 | 169 | 30 | 1804 | |||
| 03B075 | Samish R @ German Prairie | WA.Ecology | -122.3002 | 48.5693 | 609 | 9.3 | 4.4 | 167.1 | 0 | 223 | 296 | 9.3 | 4.3 | 166 | 80 | 1711 | |||
| 03B050 | Samish R nr Burlington | WA.Ecology | -122.3382 | 48.5458 | 1062 | 9.9 | 5.3 | 166 | 0 | 147 | 299 | 9.7 | 5.2 | 162 | 38 | 1711 | |||
| 03B070 | Samish R nr Hoogdal | WA.Ecology | -122.2953 | 48.5525 | 20 | 8.3 | 4.7 | 164.1 | 0 | 216 | 299 | 8.1 | 4.4 | 160 | 75 | 1711 | |||
| 03B045 | Samish R nr Mouth | WA.Ecology | -122.4112 | 48.5209 | 24 | 9.6 | 5.9 | 158.5 | 0 | 221 | 289 | 9.4 | 5.6 | 156 | 8 | 1711 | |||
| 08B070 | Sammamish R @ Bothell | WA.Ecology | -122.2038 | 47.7587 | 383 | 12.5 | 6.9 | 168.1 | 2.8 | 124 | 302 | 11.8 | 6.7 | 158 | 15 | 1711 | |||
| SAL | SAN ANDREAS LANDING | CDEC | -121.591 | 38.104 | 4000 | 16.4 | 7 | 161 | 0 | 183 | 309 | 16.2 | 6.8 | 159 | 0 | 1805 | |||
| 11174000 | SAN ANTONIO C NR SUNOL CA | USGS | -121.8577 | 37.5774 | 276 | 14.5 | 5.1 | 165.2 | 0 | 199 | 309 | 14.1 | 4.5 | 164 | 271 | 1805 | |||
| ANH | SAN JOAQUIN R @ ANTIOCH | CDEC | -121.802 | 38.018 | 8747 | 16.6 | 6.3 | 157.5 | 0 | 290 | 313 | 16.6 | 6.2 | 157 | 10 | 1804 | |||
| FFB | SAN JOAQUIN R @ FREMONT FORD BRIDGE | CDEC | -120.93 | 37.31 | 2409 | 18.8 | 9.1 | 173.8 | 3.4 | 166 | 305 | 18.1 | 8.4 | 168 | 65 | 1804 | |||
| GRF | SAN JOAQUIN R @ GRAVELLY FORD | CDEC | -120.16 | 36.798 | 2241 | 19.1 | 10.4 | 174.9 | 8 | 156 | 314 | 17.4 | 8.6 | 160 | 170 | 1804 | |||
| MRB | SAN JOAQUIN R @ MAZE R BRIDGE | CDEC | -121.2276 | 37.6414 | 367 | 18.4 | 7.9 | 172.6 | 7.9 | 167 | 319 | 16.7 | 5.9 | 154 | 39 | 1804 | |||
| MSD | SAN JOAQUIN R @ MOSSDALE BRIDGE | CDEC | -121.306 | 37.786 | 3294 | 18.2 | 8.1 | 171.8 | 4.5 | 160 | 312 | 17.2 | 7.1 | 161 | 31 | 1804 | |||
| 11261500 | SAN JOAQUIN R A FREMONT FORD BRIDGE CA | USGS | -120.931 | 37.3099 | 4664 | 18.8 | 9.1 | 174.3 | 3.4 | 169 | 306 | 18.2 | 8.3 | 169 | 65 | 1804 | |||
| 11274570 | SAN JOAQUIN R A PATTERSON BR NR PATTERSON CA | USGS | -121.0805 | 37.4938 | 3352 | 18.2 | 8.5 | 173.2 | 3 | 182 | 305 | 17.7 | 7.8 | 169 | 35 | 1804 | |||
| SJL | SAN JOAQUIN R BLW OLD R NEAR LATHROP | CDEC | -121.323 | 37.81 | 574 | 17.7 | 7.7 | 175.6 | 6.5 | 146 | 320 | 15.9 | 5.9 | 157 | 10 | 1804 | |||
| SJR | SAN JOAQUIN R MCCUNE STATION NR VERNALIS | CDEC | -121.2651 | 37.6793 | 1077 | 18.1 | 8.2 | 173.2 | 5.3 | 160 | 315 | 17 | 7 | 161 | 32 | 1804 | |||
| SJP | SAN JOAQUIN R NEAR PATTERSON | CDEC | -121.081 | 37.494 | 5647 | 18.5 | 8 | 174.7 | 3.2 | 164 | 299 | 18 | 7.3 | 168 | 97 | 1804 | |||
| SJS | SAN JOAQUIN R NEAR STEVINSON | CDEC | -120.851 | 37.295 | 6411 | 19.1 | 9.5 | 173.2 | 3 | 171 | 304 | 18.5 | 8.8 | 169 | 82 | 1804 | |||
| SCL | SAN JOAQUIN R NR CROWS LANDING | CDEC | -121.0122 | 37.4321 | 2355 | 18.3 | 8.4 | 173.7 | 3.7 | 160 | 306 | 17.6 | 7.7 | 166 | 60 | 1804 | |||
| 11274550 | SAN JOAQUIN R NR CROWS LANDING CA | USGS | -121.0138 | 37.4319 | 5173 | 18.5 | 8.5 | 172.7 | 3.3 | 162 | 306 | 17.9 | 7.8 | 166 | 45 | 1804 | |||
| SDP | SAN JOAQUIN R NR DOS PALOS | CDEC | -120.5015 | 36.994 | 391 | 18.5 | 8.4 | 169.7 | 4.7 | 164 | 302 | 17.6 | 7.6 | 160 | 116 | 1804 | |||
| 11303500 | SAN JOAQUIN R NR VERNALIS CA | USGS | -121.2663 | 37.676 | 13558 | 17.1 | 7.7 | 168.9 | 3.1 | 168 | 311 | 16.5 | 6.9 | 162 | 25 | 1804 | |||
| SWA | SAN JOAQUIN R NR WASHINGTON RD | CDEC | -120.587 | 37.1153 | 130 | 19.9 | 10.9 | 174.1 | 5.4 | 161 | 306 | 17.7 | 8.5 | 170 | 109 | 1804 | |||
| 11162753 | SAN MATEO C BL LO CRYSTAL SP RES NR SAN MATEO CA | USGS | -122.3583 | 37.5294 | 697 | 14 | 3.6 | 142.5 | 0 | 285 | 338 | 13.8 | 3.2 | 142 | 160 | 1805 | |||
| 52A070 | Sanpoil R @ Keller | WA.Ecology | -118.69 | 48.0832 | 226 | 9.5 | 9.4 | 172.3 | 4.6 | 145 | 306 | 8.5 | 8.6 | 162 | 1360 | 1702 | |||
| 52A190 | Sanpoil R abv Republic | WA.Ecology | -118.7056 | 48.651 | 36 | 6.9 | 7.6 | 165 | 0 | 244 | 294 | 6.8 | 7.3 | 164 | 2414 | 1702 | |||
| 52A170 | Sanpoil R blw Republic | WA.Ecology | -118.7303 | 48.616 | 23 | 9.6 | 10 | 175.9 | 5.1 | 118 | 306 | 8.2 | 9.5 | 163 | 2240 | 1702 | |||
| 11074000 | SANTA ANA R BL PRADO DAM CA | USGS | -117.6453 | 33.8833 | 13980 | 18.6 | 6.2 | 166.4 | 2 | 181 | 310 | 18.3 | 5.8 | 162 | 449 | 1807 | |||
| 11044000 | SANTA MARGARITA R NR TEMECULA CA | USGS | -117.1423 | 33.4739 | 3372 | 18.9 | 7 | 160.4 | 2.3 | 185 | 317 | 18.5 | 6.6 | 155 | 950 | 1807 | |||
| 11133000 | SANTA YNEZ R A NARROWS NR LOMPOC CA | USGS | -120.4246 | 34.6361 | 2734 | 17.5 | 5.1 | 165.8 | 0 | 231 | 308 | 17.4 | 4.7 | 165 | NA | 1806 | |||
| Streamnet_279 | SANTIAM R @ JEFFERSON, OR | PSMFC | NA | NA | 5203 | 11.398 | 5.739 | -125.882 | 1.985 | 82.708 | 213.122 | 10.995 | 5.484 | -132.009 | 1 | 1 | |||
| 14189050 | SANTIAM R NEAR JEFFERSON, OR | USGS | -123.0498 | 44.7387 | 1852 | 12.8 | 6.7 | 163 | 4.4 | 154 | 307 | 11.9 | 6.1 | 149 | 190 | 1709 | |||
| 22G070 | Satsop R nr Satsop | WA.Ecology | -123.4949 | 47.0018 | 359 | 10.7 | 5.1 | 168.2 | 2.4 | 112 | 304 | 10 | 4.9 | 156 | 40 | 1710 | |||
| 37B060 | Satus C @ Satus | WA.Ecology | -120.1312 | 46.2712 | 47 | 10.7 | 7.9 | 160.2 | 0 | 217 | 301 | 10.6 | 7.7 | 159 | 660 | 1703 | |||
| Streamnet_280 | SATUS C @ SATUS | PSMFC | -120.14658607 | 46.27311495 | 325 | NA | NA | NA | NA | NA | NA | 11.973 | 8.074 | -113.624 | 1 | 0 | |||
| Storet_193 | SATUS DR 302 NW1.4 S34 9N 22E | EPA | -120.061111 | 46.225 | 84 | 18.191 | 11.54 | 301.328 | 14.175 | -40.988 | 271.005 | 12.254 | 7.284 | -103.84 | 1 | 1 | |||
| 04C120 | Sauk R @ Backman Park | WA.Ecology | -121.5807 | 48.2276 | 76 | 10.2 | 6.1 | 172.5 | 5.1 | 108 | 307 | 8.9 | 6.6 | 158 | 580 | 1711 | |||
| 04C070 | Sauk R nr Rockport | WA.Ecology | -121.5585 | 48.4064 | 216 | 7.9 | 4.8 | 161.5 | 3.3 | 174 | 316 | 7.2 | 4.2 | 149 | 315 | 1711 | |||
| SCN | SCHNEIDERS | CDEC | -120.068 | 38.747 | 1736 | 9.9 | 8.8 | 180.4 | 6.9 | 117 | 300 | 8 | 8.4 | 159 | 8750 | 1802 | |||
| 15L050 | Seabeck C @ mouth | WA.Ecology | -122.8352 | 47.635 | 2319 | 8.5 | 3.1 | 156.8 | 0 | 151 | 308 | 8.4 | 3.1 | 154 | 15 | 1711 | |||
| 18L060 | Seibert C @ Old Olympic Hwy. | WA.Ecology | -123.2796 | 48.1065 | 2329 | 8.6 | 5.6 | 164.4 | 2 | 135 | 307 | 8.2 | 5.5 | 156 | NA | 1711 | |||
| 19J060 | Sekiu R nr mouth | WA.Ecology | -124.4108 | 48.2829 | 1456 | 9.5 | 5 | 168.5 | 3.5 | 127 | 309 | 8.6 | 4.7 | 151 | 15 | 1711 | |||
| Streamnet_281 | SELWAY @ O'HARA - 1993 | PSMFC | -115.5170975 | 46.0860329 | 439 | NA | NA | NA | NA | NA | NA | 20.022 | -7.689 | -218.031 | 1 | 0 | |||
| Streamnet_282 | SELWAY @ WILDERNESS BOUNDARY - 1993 | PSMFC | -115.2505722 | 46.043541 | 221 | NA | NA | NA | NA | NA | NA | 10.37 | 10.475 | -102.358 | 1 | 0 | |||
| 13336500 | SELWAY R NR LOWELL ID | USGS | -115.5139 | 46.0867 | 333 | 10 | 9.9 | 168.4 | 9.3 | 163 | 316 | 7.8 | 7.5 | 149 | 1540 | 1706 | |||
| Streamnet_283 | SELWAY R NR SHEARER GUARD STATION ID | PSMFC | -114.8378766 | 45.99744849 | 190 | NA | NA | NA | NA | NA | NA | 5.859 | 7.926 | -131.762 | 1 | 0 | |||
| 18h250 | Sequim/Prairie Irrig. Dt. nr Sequim | WA.Ecology | -123.1463 | 48.0729 | 3253 | 8 | 4.8 | 162.4 | 3.2 | 165 | 319 | 7.3 | 4.2 | 148 | 240 | 1711 | |||
| Streamnet_284 | SF BOISE R @ ANDERSON RANCH DAM ID | PSMFC | -115.44881522 | 43.35778898 | 878 | NA | NA | NA | NA | NA | NA | 7.154 | 3.862 | -171.014 | 1 | 0 | |||
| Streamnet_285 | SF BOISE R @ NEAL BRIDGE NR ARROWROCK DAM ID | PSMFC | -115.72560847 | 43.55006801 | 853 | 7.921 | 4.562 | -133.749 | -0.734 | 131.671 | 141.76 | 7.932 | 4.56 | -133.424 | 1 | 1 | |||
| 13192200 | SF BOISE R @ NEAL BRIDGE NR ARROWROCK DAM ID | USGS | -115.7215 | 43.5499 | 873 | 8.6 | 6.2 | 160 | 4.8 | 198 | 339 | 7.7 | 4.7 | 148 | NA | 1705 | |||
| Streamnet_286 | SF BOISE R NR FEATHERVILLE ID | PSMFC | -115.30672207 | 43.48486708 | 1677 | 9.321 | 8.749 | -111.743 | 5.902 | 78.324 | 227.05 | 8.122 | 7.691 | -127.8 | 1 | 1 | |||
| 13186000 | SF BOISE R NR FEATHERVILLE ID | USGS | -115.3081 | 43.4958 | 1754 | 9.1 | 9.1 | 166.5 | 6.4 | 170 | 312 | 7.8 | 7.9 | 151 | 4218 | 1705 | |||
| 23G070 | SF Chehalis R @ Beaver C Rd. | WA.Ecology | -123.1204 | 46.574 | 201 | 11.9 | 9.1 | 164.1 | 4.3 | 181 | 301 | 11.1 | 9.1 | 156 | 232 | 1710 | |||
| Streamnet_287 | SF CLEAR CREEK | PSMFC | -115.8144455 | 46.0433807 | 118 | NA | NA | NA | NA | NA | NA | 7.513 | 6.422 | -100.038 | 1 | 0 | |||
| 13338500 | SF CLEARWATER R @ STITES ID | USGS | -115.9767 | 46.0864 | 801 | 11.2 | 11.4 | 170.9 | 8.5 | 158 | 311 | 9.3 | 10.1 | 149 | 1311 | 1706 | |||
| Streamnet_288 | SF CLEARWATER R @ STITES ID | PSMFC | NA | NA | 141 | NA | NA | NA | NA | NA | NA | 5.766 | 15.378 | -139.999 | 1 | 0 | |||
| USGS_006 | SF Clearwater R @ Stites ID | USGS | -115.5832 | 46.0512 | 112 | NA | NA | NA | NA | NA | NA | 14.916 | 8.898 | -179.128 | 1 | 0 | View | ||
| 12413250 | SF COEUR D ALENE R (@ Bunker Ave) @ KELLOGG ID | USGS | -116.1342 | 47.5453 | 2253 | 9.4 | 7.4 | 168.2 | 6 | 154 | 309 | 8.1 | 6.3 | 151 | NA | 1701 | |||
| 12413300 | SF COEUR D ALENE R @ SMELTERVILLE ID | USGS | -116.1753 | 47.5483 | 2276 | 9.6 | 7.5 | 167.6 | 6 | 159 | 309 | 8.3 | 6.4 | 151 | 2220 | 1701 | |||
| 12413470 | SF COEUR D ALENE R NR PINEHURST ID | USGS | -116.2364 | 47.5519 | 2157 | 10 | 7.1 | 165.2 | 5.4 | 150 | 309 | 8.8 | 6.3 | 148 | NA | 1701 | |||
| Streamnet_289 | SF COEUR D ALENE R NR PINEHURST ID | PSMFC | NA | NA | 358 | 9.72 | 8.33 | -119.346 | 6.596 | 78.128 | 238.795 | 9.3 | 6.491 | -151.611 | 1 | 1 | |||
| 23B090 | SF Newaukum R @ Forest | WA.Ecology | -122.8548 | 46.6032 | 24 | 12 | 6.1 | 161.7 | 2.5 | 121 | 302 | 11.4 | 6 | 152 | 280 | 1710 | |||
| 12209000 | SF NOOKSACK R NEAR WICKERSHAM, WA | USGS | -122.1335 | 48.6643 | 1889 | 10 | 7.1 | 171 | 6.2 | 137 | 313 | 8.6 | 6.3 | 150 | 385 | 1711 | |||
| 34B080 | SF Palouse R @ Albion | WA.Ecology | -117.2525 | 46.7897 | 376 | 11.5 | 10.5 | 174.5 | 2.2 | 134 | 289 | 11 | 10.2 | 170 | 2247 | 1706 | |||
| 34B110 | SF Palouse R @ Pullman | WA.Ecology | -117.181 | 46.7324 | 1051 | 10.4 | 8.8 | 175.6 | 2.7 | 116 | 290 | 9.7 | 8.9 | 169 | 2320 | 1706 | |||
| 34B130 | SF Palouse R blw Sunshine | WA.Ecology | -117.1645 | 46.7184 | 284 | 10.9 | 9 | 188.5 | 5.5 | 89 | 281 | 9.3 | 9.8 | 178 | 2440 | 1706 | |||
| 34B070 | SF Palouse R nr Colfax | WA.Ecology | -117.346 | 46.8754 | 65 | 11.2 | 9.9 | 172.5 | 3.5 | 116 | 297 | 10.3 | 9.7 | 163 | 2090 | 1706 | |||
| Streamnet_290 | SF PAYETTE R @ LOWMAN ID | PSMFC | NA | NA | 89 | NA | NA | NA | NA | NA | NA | -1.691 | 17.665 | -142.321 | 1 | 0 | |||
| Streamnet_291 | SF RED R @ RED RIVER RANGER STATION ID | PSMFC | -115.34387362 | 45.70993675 | 293 | NA | NA | NA | NA | NA | NA | -1.869 | 16.487 | -125.223 | 1 | 0 | |||
| 07M120 | SF Snoqualmie R @ 468th Ave. SE | WA.Ecology | -121.7163 | 47.4541 | 76 | 9.3 | 6.6 | 165.9 | 6.4 | 151 | 305 | 8.4 | 6.8 | 153 | 590 | 1711 | |||
| 05A090 | SF Stillaguamish R @ Arlington | WA.Ecology | -122.119 | 48.2007 | 671 | 10.8 | 8.3 | 171.1 | 7.5 | 151 | 312 | 9.5 | 7.6 | 151 | 55 | 1711 | |||
| 05A110 | SF Stillaguamish R nr Granite Falls | WA.Ecology | -121.9532 | 48.1028 | 661 | 10.2 | 7.9 | 171.4 | 8.1 | 145 | 309 | 8.8 | 7.7 | 151 | 290 | 1711 | |||
| 08M070 | SF Thornton C @ 107th Ave NE | WA.Ecology | -122.2965 | 47.7068 | 180 | 12 | 4.6 | 162.2 | 2 | 176 | 311 | 11.6 | 4.6 | 153 | 24 | 1711 | |||
| 12148300 | SF TOLT R BL REGULATING BASIN NR CARNATION, WA | USGS | -121.7873 | 47.6968 | 4660 | 8.3 | 4 | 146.7 | 0 | 224 | 323 | 8.2 | 3.8 | 145 | NA | 1711 | |||
| 11203580 | SF TULE R NR CHOLOLLO CAMPGROUND NR PORTERVILLE CA | USGS | -118.6543 | 36.0483 | 362 | 9.8 | 7 | 163.3 | 5.2 | 150 | 304 | 8.7 | 6.4 | 147 | 3700 | 1803 | |||
| Storet_194 | SHAN C @ FOREST BOUNDARY | EPA | -123.525 | 42.458333 | 145 | -1.4 | 19.762 | -125.861 | 2.843 | 181.379 | 203.523 | 0.845 | 17.13 | -130.113 | 1 | 1 | |||
| SRM | SHASTA R NEAR MONTAGUE | CDEC | -122.5369 | 41.7092 | 2193 | 13.9 | 8.1 | 177.9 | 3.1 | 137 | 296 | 13.2 | 7.6 | 170 | 2458 | NA | |||
| Storet_196 | SHEEP C @ N459 | EPA | -117.816667 | 45.816667 | 401 | 10.75 | 8.786 | -61.669 | 14.209 | 63.107 | 240.01 | 2.399 | 9.076 | -125.23 | 1 | 1 | |||
| Storet_195 | SHEEP C T4N R40E S16SWNE - N53 | EPA | -117.814444 | 45.829167 | 188 | NA | NA | NA | NA | NA | NA | -2.087 | 13.163 | -138.83 | 1 | 0 | |||
| Streamnet_292 | SILVER C @ SILVERTON, OREG. | PSMFC | -122.78654168 | 45.00834377 | 671 | 13.703 | 7.923 | -95.059 | 7.526 | 15.425 | 227.314 | 11.695 | 7.128 | -124.486 | 1 | 1 | |||
| Streamnet_293 | SILVER C @ SPORTSMAN ACCESS NR PICABO ID | PSMFC | -114.07389671 | 43.32625294 | 278 | 10.273 | 8.418 | -113.499 | 2.491 | 118.235 | 215.57 | 10.592 | 7.149 | -123.002 | 1 | 1 | |||
| 49B070 | Similkameen R @ Oroville | WA.Ecology | -119.442 | 48.9346 | 2908 | 10.9 | 11 | 172.6 | 9.1 | 175 | 308 | 9.3 | 9.1 | 159 | 885 | 1702 | |||
| 49L100 | Sinlahekin C nr Loomis | WA.Ecology | -119.6484 | 48.7904 | 2523 | 10.2 | 11.1 | 172.9 | 2.5 | 192 | 294 | 9.9 | 10.6 | 170 | 1370 | 1702 | |||
| Storet_197 | SIOUXON C BASELINE | EPA | -122.243889 | 45.960556 | 1758 | 19.09 | 11.457 | 322.545 | 22.272 | -26.681 | 272.157 | 7.104 | 6.651 | -128.376 | 1 | 1 | |||
| Storet_198 | SKAGIT R @ CONCRETE | EPA | -121.770278 | 48.525556 | 247 | 8.551 | 4.21 | -139.894 | 1.239 | 116.017 | 227.458 | 8.367 | 4.053 | -144.122 | 1 | 1 | View | ||
| 04A060 | Skagit R @ Concrete | WA.Ecology | -121.771 | 48.5247 | 247 | 8.5 | 4.5 | 143.7 | 1.7 | 195 | 319 | 8.2 | 4.2 | 138 | 135 | 1711 | |||
| 03A050 | Skagit R @ Conway | WA.Ecology | -122.3516 | 48.3413 | 44 | 9 | 4.9 | 150.7 | 2.7 | 197 | 328 | 8.6 | 4.3 | 142 | 5 | 1711 | |||
| 04A100 | Skagit R @ Marblemount | WA.Ecology | -121.429 | 48.5268 | 1064 | 7.8 | 3.8 | 142.3 | 0 | 176 | 316 | 7.6 | 3.8 | 136 | 360 | 1711 | |||
| 12181000 | SKAGIT R @ MARBLEMOUNT, WA | USGS | -121.4298 | 48.5337 | 8158 | 7.8 | 3.6 | 135.6 | 0 | 215 | 309 | 7.7 | 3.5 | 133 | 305 | 1711 | |||
| 04A140 | Skagit R @ Newhalem | WA.Ecology | -121.2461 | 48.6719 | 48 | 8.3 | 3.8 | 139.1 | 0 | 146 | 201 | 8.2 | 3.9 | 138 | 500 | 1711 | |||
| 12178000 | SKAGIT R @ NEWHALEM, WA | USGS | -121.2462 | 48.6718 | 3848 | 7.5 | 3.3 | 126 | 0 | 252 | 312 | 7.5 | 3.3 | 125 | 401 | 1711 | |||
| 03A080 | Skagit R abv Sedro Woolley | WA.Ecology | -122.2057 | 48.4896 | 87 | 9.7 | 6.9 | 161.4 | 4.7 | 179 | 311 | 9.2 | 6.7 | 151 | 35 | 1711 | |||
| Storet_199 | SKAGIT R NEAR MOUNT VERNON | EPA | -122.334167 | 48.445 | 361 | 9.37 | 4.7 | 234.876 | 1.417 | 92.983 | 225.717 | 9.115 | 4.509 | -135.471 | 1 | 1 | View | ||
| Storet_200 | SKAGIT R NEAR SEDRO WOOLLEY | EPA | -122.235833 | 48.486389 | 68 | 9.853 | 5.202 | 239.667 | 2.715 | 99.883 | 226.181 | 9.39 | 4.756 | -134.177 | 1 | 1 | View | ||
| 03A060 | Skagit R nr Mount Vernon | WA.Ecology | -122.3352 | 48.4451 | 686 | 9.7 | 5.6 | 156.8 | 3.1 | 175 | 313 | 9.2 | 5.2 | 146 | 14 | 1711 | |||
| 03A070 | Skagit R nr Sedro Woolley | WA.Ecology | -122.2434 | 48.4846 | 68 | 9.8 | 5.4 | 154.9 | 3 | 186 | 314 | 9.2 | 4.8 | 145 | 40 | 1711 | |||
| 16A070 | Skokomish R nr Potlatch | WA.Ecology | -123.1771 | 47.3098 | 1026 | 8.8 | 3 | 159.4 | 0 | 114 | 298 | 8.6 | 3.1 | 153 | 60 | 1711 | |||
| 07C070 | Skykomish R @ Monroe | WA.Ecology | -121.9592 | 47.8521 | 754 | 10.4 | 7.3 | 163.7 | 6.8 | 166 | 315 | 9.3 | 6.8 | 145 | 43 | 1711 | |||
| 07C090 | Skykomish R @ Sultan | WA.Ecology | -121.8209 | 47.8593 | 44 | 8.8 | 5.4 | 162.4 | 5.6 | 184 | 324 | 7.8 | 4.1 | 143 | 99 | 1711 | |||
| 07C120 | Skykomish R nr Gold Bar | WA.Ecology | -121.659 | 47.8382 | 242 | 9.7 | 6 | 165.1 | 5.7 | 159 | 318 | 8.5 | 5.1 | 145 | 210 | 1711 | |||
| 07C170 | Skykomish R nr Miller R | WA.Ecology | -121.4086 | 47.7301 | 24 | 9.5 | 6.2 | 162 | 3.9 | 161 | 311 | 8.7 | 5.6 | 150 | 860 | 1711 | |||
| Streamnet_329 | Slate C above the Mouth of Little Slate Creek | PSMFC | -116.065979 | 45.6199951 | 470 | NA | NA | NA | NA | NA | NA | 2.434 | 9.853 | -135.299 | 1 | 0 | |||
| Streamnet_330 | Slick Rock | PSMFC | -115.94197556 | 44.93584309 | 91 | NA | NA | NA | NA | NA | NA | -0.329 | 12.932 | -148.697 | 1 | 0 | |||
| Storet_201 | SNAKE R 15.0MI BLW CLEARWATER | EPA | -117.245833 | 45.497222 | 59 | NA | NA | NA | NA | NA | NA | 56.699 | 35.896 | -296.856 | 1 | 0 | |||
| Storet_202 | SNAKE R 25 MI BLW CLEARWATER | EPA | -117.361111 | 46.615278 | 91 | NA | NA | NA | NA | NA | NA | -6.365 | 28.733 | -136.096 | 1 | 0 | |||
| Storet_203 | SNAKE R 5.0MI BLW CLEARWATER | EPA | -117.125 | 46.425 | 61 | NA | NA | NA | NA | NA | NA | -44.035 | 67.191 | -131.482 | 1 | 0 | |||
| Streamnet_295 | SNAKE R @ BURBANK, WASH. | PSMFC | -119.02450131 | 46.2126589 | 2907 | 11.621 | 7.672 | -138.734 | -2.756 | 175.877 | 311.608 | 12.168 | 8.652 | -141.109 | 1 | 1 | |||
| 35A150 | Snake R @ Interstate Br | WA.Ecology | -117.0357 | 46.4207 | 267 | 12.7 | 10 | 157.6 | 5.7 | 183 | 315 | 11.7 | 8.9 | 149 | 705 | 1706 | |||
| 13154500 | SNAKE R @ KING HILL ID | USGS | -115.2025 | 43.0022 | 1287 | 14.3 | 5.3 | 171 | 1.6 | 115 | 295 | 14 | 5.3 | 164 | 2492 | 1704 | |||
| 13077000 | SNAKE R @ NEELEY ID | USGS | -112.8794 | 42.7675 | 743 | 10.6 | 10.1 | 162.6 | 4.8 | 142 | 310 | 9.7 | 9.6 | 151 | 4241 | 1704 | |||
| Streamnet_296 | SNAKE R @ NYSSA OR | PSMFC | -116.983033 | 43.87933403 | 155 | NA | NA | NA | NA | NA | NA | 8.801 | 14.78 | -131.775 | 1 | 0 | |||
| USGS_007 | Snake R @ Weiser ID | USGS | -116.5848 | 44.1444 | 2799 | 13.091 | 11.664 | 257.456 | 7.362 | 67.08 | 229.941 | 11.385 | 10.04 | -121.085 | 1 | 1 | View | ||
| Streamnet_297 | SNAKE R @ WEISER ID | PSMFC | -116.97482979 | 44.2423028 | 153 | 11.563 | 5.985 | -151.547 | -6.539 | 157.416 | 282.421 | 8.006 | 14.201 | -135.58 | 1 | 1 | |||
| 13269000 | SNAKE R @ WEISER ID | USGS | -116.9808 | 44.2456 | 4857 | 12.6 | 10.8 | 168.4 | 5.6 | 159 | 305 | 11.5 | 9.9 | 158 | 2086 | 1705 | |||
| 13010065 | SNAKE R AB JACKSON LAKE @ FLAGG RANCH WY | USGS | -110.6675 | 44.0989 | 1112 | 8.2 | 9 | 168.9 | 9.3 | 172 | 302 | 6.6 | 8 | 148 | 6801 | 1704 | |||
| 13022500 | SNAKE R AB RESERVOIR NR ALPINE WY | USGS | -110.8894 | 43.1961 | 365 | 7.1 | 7.5 | 162.2 | 4 | 165 | 316 | 6.3 | 6.7 | 151 | NA | 1704 | |||
| Storet_204 | SNAKE R ABV LOWER GRANITE | EPA | -117.425 | 46.658333 | 78 | NA | NA | NA | NA | NA | NA | 0.485 | 21.84 | -136.623 | 1 | 0 | |||
| 13317660 | SNAKE R BL MCDUFF RAPIDS @ CHINA GARDENS, ID | USGS | -116.9169 | 46.0031 | 345 | 12.7 | 10 | 153.2 | 4.4 | 194 | 300 | 12 | 9.4 | 147 | NA | 1706 | |||
| 13290200 | SNAKE R BL PINE C @ OXBOW OR | USGS | -116.8579 | 44.9777 | 5865 | 12.6 | 9.4 | 147.5 | 0 | 214 | 322 | 12.3 | 9 | 146 | NA | 1705 | |||
| 33A070 | Snake R blw Ice Harbor Dam | WA.Ecology | -118.8831 | 46.2504 | 225 | 13 | 10 | 150.1 | 5 | 189 | 326 | 12 | 8.9 | 142 | 340 | 1706 | |||
| Streamnet_298 | SNAKE R BLW ICE HARBOR DAM, WASH. | PSMFC | -118.90284012 | 46.24590787 | 118 | NA | NA | NA | NA | NA | NA | 18.69 | 7.246 | -201.292 | 1 | 0 | |||
| 35A100 | Snake R blw Lwr Granite Dam | WA.Ecology | -117.4449 | 46.6677 | 12 | 12.3 | 8.3 | 154.9 | 4.9 | 191 | 314 | 11.6 | 7.5 | 146 | 625 | 1706 | |||
| Streamnet_299 | SNAKE R NEAR ANATONE, WA | PSMFC | -116.9764032 | 46.09698757 | 7399 | 12.759 | 9.317 | -127.674 | 3.904 | 102.636 | 226.983 | 12.102 | 8.671 | -134.633 | 1 | 1 | |||
| 13334300 | SNAKE R NEAR ANATONE, WA | USGS | -116.9776 | 46.0971 | 15758 | 12.6 | 9.9 | 156.2 | 4.9 | 183 | 313 | 11.7 | 9 | 148 | 807 | 1706 | |||
| Streamnet_300 | SNAKE R NEAR CLARKSTON, WASH. | PSMFC | -117.17706079 | 46.42182849 | 1673 | 12.319 | 9.296 | -124.87 | 6.033 | 97.064 | 210.004 | 11.421 | 8.671 | -135.542 | 1 | 1 | |||
| 35A200 | Snake R nr Anatone | WA.Ecology | -116.9776 | 46.0971 | 105 | 12.5 | 9.6 | 157.8 | 5.3 | 180 | 320 | 11.4 | 7.9 | 147 | 845 | 1706 | |||
| USGS_008 | Snake R Nr Anatone WA | USGS | -116.5836 | 46.055 | 15343 | 12.772 | 10.098 | 244.345 | 5.232 | 88.146 | 236.314 | 11.708 | 8.945 | -130.084 | 1 | 1 | View | ||
| 13069500 | SNAKE R NR BLACKFOOT ID | USGS | -112.5189 | 43.1253 | 1338 | 10.9 | 8.4 | 160 | 2.1 | 189 | 302 | 10.6 | 8 | 154 | 4400 | 1704 | |||
| Streamnet_301 | SNAKE R NR BLACKFOOT ID | PSMFC | -112.50416573 | 43.13367602 | 261 | 8.13 | 10.626 | -131.88 | -1.756 | 208.763 | 225.963 | 7.996 | 10.906 | -131.712 | 1 | 1 | |||
| 13094000 | SNAKE R NR BUHL ID | USGS | -114.7122 | 42.6658 | 1998 | 13.3 | 6.3 | 166 | 1.6 | 133 | 300 | 12.9 | 6.4 | 160 | 2951 | 1704 | |||
| Streamnet_302 | SNAKE R NR BUHL ID | PSMFC | -114.65032176 | 42.66026319 | 562 | 20.984 | 8.97 | -59.693 | 18.665 | -67.528 | 274.298 | 12.135 | 7.648 | -130.119 | 1 | 1 | |||
| 13037500 | SNAKE R NR HEISE ID | USGS | -111.66 | 43.6125 | 1864 | 8 | 6.5 | 147 | 2.3 | 151 | 327 | 7.5 | 6.3 | 138 | 5015 | 1704 | |||
| 13032500 | SNAKE R NR IRWIN ID | USGS | -111.2189 | 43.3508 | 780 | 8.2 | 6.8 | 148.3 | 3.9 | 158 | 336 | 7.3 | 6.2 | 133 | 5353 | 1704 | |||
| Streamnet_303 | SNAKE R NR KIMBERLY ID | PSMFC | -114.3487015 | 42.58782656 | 225 | NA | NA | NA | NA | NA | NA | 10.941 | 10.14 | -134.511 | 1 | 0 | |||
| 13081500 | SNAKE R NR MINIDOKA ID (AT HOWELLS FERRY) | USGS | -113.5003 | 42.6728 | 1721 | 11.1 | 10.8 | 162.1 | 3.3 | 174 | 309 | 10.6 | 10.3 | 155 | 4132 | 1704 | |||
| Streamnet_294 | SNAKE R NR MINIDOKA ID (AT HOWELLS FERRY) | PSMFC | -113.45056834 | 42.6717761 | 305 | NA | NA | NA | NA | NA | NA | 10.898 | 9.911 | -133.472 | 1 | 0 | |||
| Streamnet_304 | SNAKE R NR MURPHY ID | PSMFC | -116.4277903 | 43.29532591 | 156 | NA | NA | NA | NA | NA | NA | 9.644 | 14.009 | -132.358 | 1 | 0 | |||
| 33A050 | Snake R nr Pasco | WA.Ecology | -119.0242 | 46.2165 | 328 | 12.6 | 9.4 | 150.8 | 3.3 | 196 | 306 | 12.1 | 8.9 | 146 | 330 | 1706 | |||
| Storet_205 | SNIPES C. @ OLD INLAND EMPIRE R | EPA | -119.683889 | 46.234167 | 161 | 13.318 | 8.309 | 255.512 | 2.308 | 47.314 | 244.223 | 12.689 | 7.753 | -116.208 | 1 | 1 | |||
| 07A090 | Snohomish R @ Snohomish | WA.Ecology | -122.0988 | 47.9106 | 543 | 11 | 7.2 | 166.3 | 5.7 | 158 | 317 | 9.7 | 6 | 150 | 8 | 1711 | |||
| 07A111 | Snohomish R nr Monroe (USGS) | WA.Ecology | -122.048 | 47.8313 | 24 | 11.3 | 7.7 | 166.9 | 8 | 167 | 320 | 9.3 | 6.1 | 139 | 17 | 1711 | |||
| 07A109 | Snohomish R nr Monroe NE | WA.Ecology | -122.0475 | 47.8313 | 20 | 9.7 | 6.6 | 161.1 | 6.5 | 198 | 314 | 8.7 | 5.3 | 145 | 17 | 1711 | |||
| 07D130 | Snoqualmie R @ Snoqualmie | WA.Ecology | -121.8121 | 47.5269 | 1113 | 9.9 | 6.6 | 167 | 6.2 | 154 | 311 | 8.9 | 6.4 | 148 | 400 | 1711 | |||
| 07D100 | Snoqualmie R abv Carnation | WA.Ecology | -121.9278 | 47.6399 | 60 | 10.7 | 9.6 | 169.7 | 8.7 | 202 | 312 | 10.1 | 8.9 | 159 | 55 | 1711 | |||
| 07D070 | Snoqualmie R nr Carnation | WA.Ecology | -121.9251 | 47.6657 | 267 | 10.3 | 6.5 | 166.5 | 4.4 | 162 | 314 | 9.4 | 5.6 | 153 | 50 | 1711 | |||
| 07D050 | Snoqualmie R nr Monroe | WA.Ecology | -122.0029 | 47.8038 | 901 | 11.6 | 8.2 | 168.5 | 7.5 | 160 | 311 | 10.3 | 7.9 | 149 | 15 | 1711 | |||
| Streamnet_305 | SO FK JOHN DAY R NR DAYVILLE, OREG. | PSMFC | -119.53444583 | 44.47403613 | 1750 | 13.659 | 9.888 | -83.683 | 9.84 | -25.838 | 263.119 | 9.891 | 8.083 | -116.768 | 1 | 1 | |||
| 14159200 | SO FK MCKENZIE R ABV COUGAR LAKE NR RAINBOW OR | USGS | -122.2178 | 44.0471 | 7350 | 7.9 | 3.8 | 169.3 | 2.5 | 125 | 298 | 7.3 | 3.5 | 154 | 1709 | 1709 | |||
| 10F070 | So Prairie C nr Crocker | WA.Ecology | -122.1465 | 47.1093 | 24 | 10 | 5.9 | 161.2 | 3.2 | 208 | 277 | 9.7 | 5.5 | 156 | 300 | 1711 | |||
| 20A130 | Soleduck R nr Fairholm | WA.Ecology | -124.0963 | 48.0662 | 27 | 10.6 | 6.1 | 181.3 | 7.2 | 120 | 302 | 9 | 5.5 | 151 | 750 | 1710 | |||
| 20A090 | Soleduck R nr Forks | WA.Ecology | -124.3833 | 48.0206 | 80 | 10.9 | 6.5 | 179.2 | 7.5 | 131 | 311 | 9.4 | 6.2 | 153 | 360 | 1710 | |||
| 20A070 | Soleduck R nr Quillayute | WA.Ecology | -124.4688 | 47.9517 | 1914 | 10.9 | 5.9 | 170.7 | 4.8 | 137 | 314 | 9.7 | 5.2 | 151 | 150 | 1710 | |||
| 11160000 | SOQUEL C A SOQUEL CA | USGS | -121.9558 | 36.9913 | 3961 | 14.4 | 5.8 | 164.1 | 0 | 198 | 313 | 14.2 | 5.4 | 161 | 21 | 1806 | |||
| Storet_206 | SOREHEAD C AB N524 | EPA | -122.165 | 45.911111 | 512 | 12.353 | 3.824 | 308.418 | 8.463 | -15.517 | 243.998 | 7.607 | 4.878 | -128.012 | 1 | 1 | |||
| Storet_207 | SOUTH DR @ HWY 22 NR SATUS | EPA | -120.1325 | 46.259444 | 67 | 13.227 | 6.508 | 624.919 | 1.984 | 37.65 | 252.685 | 12.644 | 5.937 | -112.648 | 1 | 1 | |||
| 12508630 | SOUTH DRAIN NEAR SATUS, WA | USGS | -120.1337 | 46.2596 | 469 | 13.2 | 7.6 | 169.7 | 0 | 248 | 273 | 13 | 7.4 | 168 | 660 | 1703 | |||
| BAS | SOUTH FORK BATTLE C NEAR MANTON | CDEC | -121.98 | 40.406 | 2308 | 12.1 | 5.2 | 173.3 | 2.4 | 145 | 287 | 11.6 | 4.9 | 164 | 997 | 1803 | |||
| BCO | SOUTH FORK BIG R NEAR COMPTCHE | CDEC | -123.463 | 39.23 | 505 | 13.4 | 5.1 | 200.9 | 6.1 | 100 | 303 | 11.7 | 4.2 | 164 | 510 | NA | |||
| 14139800 | SOUTH FORK BULL RUN R NEAR BULL RUN, OR | USGS | -122.1095 | 45.4446 | 9972 | 8.5 | 5 | 164.7 | 3 | 133 | 309 | 7.8 | 4.7 | 150 | 990 | 1708 | |||
| Streamnet_306 | SOUTH FORK BULL RUN R NEAR BULL RUN, OREG. | PSMFC | -122.11692824 | 45.44747387 | 6516 | 8.769 | 4.826 | -114.458 | 3.033 | 29.763 | 239.286 | 7.922 | 4.555 | -132.186 | 1 | 1 | |||
| Streamnet_307 | SOUTH FORK CLEAR C MOUTH, STATION #1 | PSMFC | -115.8142242 | 46.0431519 | 97 | NA | NA | NA | NA | NA | NA | -3.102 | 18.526 | -134.628 | 1 | 0 | |||
| Streamnet_308 | SOUTH FORK CLEARWATER | PSMFC | -115.9752579 | 46.0870094 | 580 | NA | NA | NA | NA | NA | NA | 9.377 | 10.898 | -114.114 | 1 | 0 | |||
| Streamnet_332 | South Fork Clearwater just downstream of Mill Cree | PSMFC | -115.9315338 | 45.8303642 | 84 | NA | NA | NA | NA | NA | NA | -5.637 | 22.477 | -135.444 | 1 | 0 | |||
| Streamnet_331 | South Fork Clearwater R @ just upstream of 46 | PSMFC | -115.8158035 | 45.8147278 | 84 | NA | NA | NA | NA | NA | NA | -5.99 | 22.99 | -134.817 | 1 | 0 | |||
| Streamnet_309 | SOUTH FORK CLEARWATER, NEAR NEZ PERCE FOREST BOUND | PSMFC | -116.0353851 | 45.8894958 | 909 | NA | NA | NA | NA | NA | NA | 16.995 | -8.066 | -599.646 | 1 | 0 | |||
| Storet_208 | SOUTH FORK COQUILLE @ BROADBENT | EPA | -124.149444 | 43.008611 | 74 | 21.801 | 12.24 | 291.675 | 18.904 | -20.822 | 274.377 | 14.346 | 7.35 | -129.194 | 1 | 1 | |||
| Storet_209 | SOUTH FORK JOHN DAY @ DAYVILLE | EPA | -119.53475 | 44.472333 | 134 | 14.087 | 10.464 | 273.64 | 9.683 | -5.893 | 270.283 | 10.413 | 8.321 | -120.782 | 1 | 1 | |||
| Storet_210 | SOUTH FORK JOHN DAY CR | EPA | -116.227778 | 45.570833 | 56 | 4.287 | 5.113 | -126.881 | 1.734 | 144.623 | 174.477 | 4.269 | 4.95 | -130.075 | 1 | 1 | |||
| Streamnet_310 | SOUTH FORK OF CLEAR C ABOVE KAY CREEK, STATION | PSMFC | -115.7525253 | 46.0159912 | 726 | NA | NA | NA | NA | NA | NA | 5.93 | 7.065 | -120.676 | 1 | 0 | |||
| Streamnet_311 | SOUTH FORK RED R @ REARING POND WATER INTAKE | PSMFC | -115.3437347 | 45.7091751 | 101 | NA | NA | NA | NA | NA | NA | -1.706 | 16.447 | -131.643 | 1 | 0 | |||
| Streamnet_312 | SOUTH FORK RED R @ TRAPPER CK | PSMFC | -115.3440247 | 45.6738434 | 101 | NA | NA | NA | NA | NA | NA | 2.523 | 12.045 | -114.159 | 1 | 0 | |||
| Storet_211 | SOUTH FORK RED RIVER | EPA | -115.351667 | 45.650833 | 53 | NA | NA | NA | NA | NA | NA | 3.676 | 7.004 | -131.07 | 1 | 0 | |||
| SSF | SOUTH FORK STANISLAUS R | CDEC | -120.354 | 38.066 | 1554 | 13.6 | 9.1 | 170.4 | 6.4 | 166 | 305 | 12.4 | 7.8 | 157 | 1600 | 1804 | |||
| 12147600 | SOUTH FORK TOLT R NEAR INDEX, WA | USGS | -121.6001 | 47.7068 | 4322 | 7.3 | 5.5 | 164 | 4.5 | 138 | 317 | 6.2 | 5 | 143 | 1850 | 1711 | |||
| Streamnet_313 | SOUTH FORK WALLA WALLA R NEAR MILTON, OREG. | PSMFC | -118.1663611 | 45.83068074 | 810 | 8.278 | 4.397 | -91.369 | 4.214 | 19.793 | 208.646 | 7.299 | 4.145 | -116.897 | 1 | 1 | |||
| Streamnet_333 | South Fork Whitebird Cr. | PSMFC | -116.2303238 | 45.7915611 | 741 | 12.929 | 10.517 | -78.121 | 18.518 | -6.465 | 255.462 | 7.505 | 8.437 | -117.163 | 1 | 1 | |||
| 24J070 | South Nemah R nr Nemah | WA.Ecology | -123.8849 | 46.4757 | 24 | 10.6 | 4.5 | 165.9 | 2.7 | 147 | 311 | 10 | 4.1 | 153 | 25 | 1710 | |||
| Streamnet_314 | SOUTH SANTIAM R @ FOSTER, OREG. | PSMFC | NA | NA | 1896 | 7.154 | 4.174 | -179.951 | -5.303 | -4.89 | 276.649 | 9.191 | 3.006 | -136.882 | 1 | 1 | |||
| 14187500 | SOUTH SANTIAM R @ WATERLOO, OR | USGS | -122.8234 | 44.4985 | 6030 | 10.8 | 4.9 | 158.6 | 2.1 | 148 | 303 | 10.3 | 4.6 | 150 | 370 | 1709 | |||
| Streamnet_315 | SOUTH SANTIAM R @ WATERLOO, OREG. | PSMFC | NA | NA | 5189 | 10.751 | 4.573 | -120.693 | 1.591 | 51.814 | 211.252 | 10.368 | 4.451 | -128.574 | 1 | 1 | |||
| Streamnet_316 | SOUTH SANTIAM R BELOW CASCADIA, OREG. | PSMFC | NA | NA | 7197 | 12.027 | 7.013 | -99.309 | 7.727 | 24.9 | 237.275 | 9.965 | 6.077 | -129.864 | 1 | 1 | |||
| Streamnet_317 | SOUTH SANTIAM R NEAR FOSTER, OR | PSMFC | NA | NA | 7935 | 7.316 | 3.962 | -181.44 | -5.379 | -9.77 | 296.659 | 9.541 | 3.149 | -134.934 | 1 | 1 | |||
| 14187200 | SOUTH SANTIAM R NEAR FOSTER,OR | USGS | -122.6887 | 44.4123 | 9892 | 9.5 | 3.4 | 145.4 | 0 | 242 | 319 | 9.5 | 3.3 | 144 | 530 | 1709 | |||
| Streamnet_318 | SOUTH YAMHILL R NEAR WHITESON, OREG. | PSMFC | -123.2069988 | 45.16866727 | 1793 | 14.373 | 8.26 | -95.654 | 6.546 | 3.793 | 237.542 | 12.371 | 7.491 | -120.151 | 1 | 1 | |||
| Streamnet_334 | Southfork Clearwater above Leggett Creek | PSMFC | -115.6256561 | 45.8269691 | 242 | NA | NA | NA | NA | NA | NA | 6.145 | 8.798 | -137.891 | 1 | 0 | |||
| Streamnet_319 | SOUTHFORK RED R @ RANGER STATION 1994 RED RIV | PSMFC | -115.3438873 | 45.7099915 | 579 | NA | NA | NA | NA | NA | NA | 4.458 | 9.394 | -116.052 | 1 | 0 | |||
| 12F090 | Spanaway C @ Old Military Rd. | WA.Ecology | -122.4466 | 47.1225 | 106 | 13.6 | 9.8 | 161.5 | 0 | 248 | 302 | 13.2 | 9.3 | 154 | 320 | 1711 | |||
| 57A148 | Spokane R @ Barker Rd | WA.Ecology | -117.1541 | 47.6779 | 15 | 12.6 | 9.9 | 167.7 | 7.7 | 112 | 310 | 10.5 | 9.9 | 146 | 2012 | 1701 | |||
| 54A130 | Spokane R @ Fort Wright Br | WA.Ecology | -117.453 | 47.6804 | 48 | 11.2 | 8 | 167.8 | 5.5 | 127 | 304 | 10 | 7.8 | 150 | 1670 | 1701 | |||
| 57A240 | Spokane R @ Lake Coeur dAlene | WA.Ecology | -116.8046 | 47.676 | 29 | 13 | 9 | 162.5 | 8.1 | 114 | 311 | 10.8 | 9.3 | 139 | 2127 | 1701 | |||
| 54A070 | Spokane R @ Long Lake | WA.Ecology | -117.8525 | 47.8391 | 272 | 11.2 | 8.3 | 151.9 | 2 | 138 | 311 | 10.7 | 8.2 | 146 | 1350 | 1701 | |||
| Streamnet_320 | SPOKANE R @ LONG LAKE, WASH. | PSMFC | -117.84084113 | 47.83696094 | 2632 | 11.438 | 7.774 | -129.405 | 1.705 | 35.59 | 223.962 | 10.995 | 7.807 | -135.289 | 1 | 1 | |||
| 57A130 | Spokane R @ Mission St Br | WA.Ecology | -117.3877 | 47.6718 | 42 | 11.2 | 8.1 | 164.4 | 4.7 | 120 | 308 | 10.2 | 8 | 149 | 1870 | 1701 | |||
| 54A050 | Spokane R @ Mouth | WA.Ecology | -118.3178 | 47.9082 | 45 | 12.5 | 10 | 146.7 | 1.5 | 139 | 312 | 12.2 | 10 | 143 | 1290 | 1701 | |||
| 54A090 | Spokane R @ Ninemile Br | WA.Ecology | -117.5448 | 47.7767 | 73 | 11 | 7.4 | 164.5 | 4.3 | 123 | 302 | 10 | 7.3 | 150 | 1580 | 1701 | |||
| 57A140 | Spokane R @ Plantes Ferry Park | WA.Ecology | -117.2422 | 47.6968 | 24 | 10.8 | 6.4 | 162.5 | 5.7 | 121 | 293 | 9.4 | 6.6 | 142 | 1920 | 1701 | |||
| 54A120 | Spokane R @ Riverside State Pk | WA.Ecology | -117.4977 | 47.6966 | 489 | 10.5 | 6.7 | 160.3 | 3.2 | 120 | 279 | 9.8 | 6.9 | 150 | 1640 | 1701 | |||
| 57A150 | Spokane R @ Stateline Br | WA.Ecology | -117.0446 | 47.6985 | 500 | 12.6 | 10.3 | 162.1 | 6.5 | 124 | 311 | 11.1 | 10.3 | 147 | 1980 | 1701 | |||
| 57A146 | Spokane R @ Sullivan Rd. | WA.Ecology | -117.1964 | 47.6725 | 12 | 12.3 | 7.9 | 165.3 | 8.2 | 127 | 289 | 10.4 | 8 | 141 | 2000 | 1701 | |||
| 57A190 | Spokane R nr Post Falls | WA.Ecology | -116.9788 | 47.7027 | 235 | 12.1 | 9.7 | 159.2 | 6 | 126 | 311 | 10.6 | 9.5 | 143 | 2050 | 1701 | |||
| 12419000 | SPOKANE R NR POST FALLS ID | USGS | -116.9778 | 47.7031 | 419 | 13.7 | 9.9 | 162.9 | 9.6 | 118 | 311 | 11.6 | 10.3 | 136 | 2003 | 1701 | |||
| Streamnet_321 | SPOKANE R NR POST FALLS ID | PSMFC | -116.97759789 | 47.70286168 | 286 | 3.367 | 20.041 | -142.037 | -9.947 | -16.763 | 199.668 | 7.872 | 14.916 | -141.427 | 1 | 1 | |||
| 57A123 | Spokane River@Sandifer Bridge | WA.Ecology | -117.4541 | 47.6566 | 94 | 11.6 | 5.6 | 177.4 | 7.5 | 123 | 290 | 9.7 | 6.6 | 156 | 1710 | 1701 | |||
| Storet_212 | SPRING C @ HESS R | EPA | -119.68 | 46.242222 | 67 | 13.788 | 7.59 | 261.619 | 2.907 | 64.528 | 239.804 | 13.064 | 6.738 | -111.096 | 1 | 1 | |||
| 40A080 | Squilchuck C blw Pitcher Canyon | WA.Ecology | -120.3142 | 47.3783 | 782 | 8.8 | 8 | 168.9 | 6.1 | 171 | 317 | 7.6 | 6.7 | 155 | 1075 | 1702 | |||
| 05H070 | Squire C @ Squire C Park | WA.Ecology | -121.6726 | 48.2701 | 2290 | 8.9 | 5.4 | 163.5 | 4.2 | 157 | 317 | 8 | 4.7 | 146 | 360 | 1711 | |||
| Streamnet_322 | ST JOE R @ CALDER ID | PSMFC | -115.68193807 | 47.23036796 | 211 | -11.188 | 29.623 | -146.882 | -23.86 | 43.999 | 197.553 | 2.888 | 14.008 | -144.801 | 1 | 1 | |||
| Storet_213 | ST OF JUAN DE FUCA IN SEQUIM BAY | EPA | -123.029722 | 48.061111 | 237 | 13.291 | 4.063 | 297.916 | 6.513 | -65.677 | 280.51 | 10.475 | 2.835 | -125.44 | 1 | 1 | |||
| 12413875 | ST. JOE R @ RED IVES RANGER STATION ID | USGS | -115.3532 | 47.056 | 1080 | 5.5 | 9.1 | 163.4 | 6.1 | 184 | 303 | 4.5 | 8.3 | 145 | 3710 | 1701 | |||
| Storet_214 | STAIR C @ CENTER OF SECTION 28 | EPA | -123.891667 | 42.675 | 247 | NA | NA | NA | NA | NA | NA | 7.061 | 9.278 | -127.72 | 1 | 0 | |||
| CLP | STANISLAUS R @ COLLIERVILLE POWERHOUSE | CDEC | -120.378 | 38.143 | 2273 | 12.8 | 6.9 | 162 | 4.3 | 152 | 298 | 12 | 6.5 | 149 | 1190 | 1804 | |||
| TCN | STANISLAUS R @ CONFLUENCE N AND M FORKS | CDEC | -120.371 | 38.147 | 1485 | 13.8 | 8.9 | 166 | 5.2 | 160 | 315 | 12.6 | 7.7 | 155 | 1200 | 1804 | |||
| GMB | STANISLAUS R @ GAMBINI PROPERTY | CDEC | -120.888 | 37.772 | 2503 | 14.3 | 4.7 | 169.4 | 3.6 | 164 | 311 | 13.5 | 3.9 | 155 | 98 | 1804 | |||
| JMP | STANISLAUS R @ JACOB MEYERS PARK | CDEC | -120.942 | 37.743 | 1041 | 15.3 | 5.8 | 172.6 | 4.7 | 160 | 312 | 14.3 | 4.5 | 156 | 98 | 1804 | |||
| ORA | STANISLAUS R @ OAKDALE REC AREA | CDEC | -120.867 | 37.771 | 2272 | 14.1 | 4.2 | 168.9 | 3.3 | 163 | 313 | 13.4 | 3.5 | 154 | 98 | 1804 | |||
| OBB | STANISLAUS R @ ORANGE BLOSSOM BRIDGE | CDEC | -120.75 | 37.783 | 6904 | 13.2 | 3.5 | 166 | 2.2 | 163 | 313 | 12.7 | 3 | 153 | 117 | 1804 | |||
| 11302500 | STANISLAUS R A OAKDALE CA | USGS | -120.853 | 37.7772 | 8510 | 14.3 | 4.4 | 164.1 | 2.5 | 162 | 319 | 13.7 | 3.9 | 153 | NA | 1804 | |||
| SBC | STANISLAUS R BEFORE CONF OF SAN JOAQUIN | CDEC | -121.225 | 37.67 | 585 | 17.3 | 7.3 | 170.6 | 5.5 | 162 | 314 | 16.2 | 6.1 | 158 | 19 | 1804 | |||
| SRJ | STANISLAUS R NEAR JACOB MEYERS PARK | CDEC | -120.9713 | 37.7469 | 884 | 15.2 | 5.9 | 171.5 | 5.3 | 167 | 303 | 14.1 | 4.8 | 154 | 98 | 1804 | |||
| OBS | STANISLAUS R NEAR ORANGE BLOSSOM BRIDGE | CDEC | -120.765 | 37.791 | 2259 | 13.3 | 3.4 | 162.8 | 2.6 | 168 | 319 | 12.8 | 3 | 150 | 200 | 1804 | |||
| Streamnet_335 | State | PSMFC | -116.03226901 | 44.95252579 | 78 | NA | NA | NA | NA | NA | NA | 2.838 | 11.782 | -138.433 | 1 | 0 | |||
| STI | STATEN ISLAND | CDEC | -121.497 | 38.117 | 4002 | 16.4 | 7.2 | 163.3 | 1.5 | 173 | 309 | 16.1 | 6.9 | 160 | 0 | 1805 | |||
| Storet_215 | STEAMBOAT C AB N844 | EPA | -121.753611 | 46.173056 | 153 | NA | NA | NA | NA | NA | NA | 10.629 | -8.142 | -225.452 | 1 | 0 | |||
| Storet_216 | STEAMBOAT C BL N844B | EPA | -121.7475 | 46.180833 | 132 | NA | NA | NA | NA | NA | NA | 8.536 | 5.552 | -81.406 | 1 | 0 | |||
| Streamnet_336 | Steep Creek | PSMFC | -115.79468948 | 45.07055789 | 105 | NA | NA | NA | NA | NA | NA | -3.204 | 13.792 | -138.4 | 1 | 0 | |||
| 40B060 | Stemilt C nr mouth | WA.Ecology | -120.2498 | 47.3746 | 787 | 9.6 | 8 | 166.9 | 5.1 | 174 | 303 | 8.7 | 7.1 | 156 | 714 | 1702 | |||
| 35R050 | Steptoe C @ Mouth | WA.Ecology | -117.2046 | 46.4524 | 92 | 12.6 | 7.1 | 178.1 | 0 | 231 | 281 | 12.4 | 6.5 | 161 | 730 | 1706 | |||
| 35R140 | Steptoe C abv Stewart | WA.Ecology | -117.1763 | 46.4749 | 12 | 12.9 | 8.8 | 187.4 | 6.1 | 158 | 298 | 11.9 | 7.3 | 178 | 1270 | 1706 | |||
| 35R120 | Steptoe C blw Stewart | WA.Ecology | -117.176 | 46.4702 | 12 | 14.1 | 8.8 | 178.9 | 5.5 | 166 | 294 | 13.2 | 7.7 | 170 | 1180 | 1706 | |||
| 05A070 | Stillaguamish R nr Silvana | WA.Ecology | -122.2101 | 48.1969 | 1213 | 11.2 | 8.2 | 168.8 | 7 | 153 | 312 | 10 | 7.7 | 151 | 35 | 1711 | |||
| 15H050 | Stimson C @ Hwy 300 | WA.Ecology | -122.9079 | 47.417 | 86 | 9.9 | 3.3 | 160.4 | 0 | 264 | 289 | 9.9 | 3.3 | 159 | 15 | 1711 | |||
| 12505410 | SUB 35 DRAIN @ CONNIE ROAD NEAR GRANGER, WA | USGS | -120.2312 | 46.3362 | 474 | 14.5 | 3.9 | 178.4 | 2.6 | 96 | 298 | 13.7 | 3.8 | 162 | 700 | 1703 | |||
| Storet_217 | SUB-DRAIN 35 @ PARTON R | EPA | -120.23 | 46.336389 | 68 | 17.435 | 6.867 | 300.9 | 10.186 | -33.642 | 288.46 | 13.028 | 3.134 | -116.035 | 1 | 1 | |||
| Storet_218 | SULPHUR C @ NORTH AV SUNNYSIDE | EPA | -119.979167 | 46.332222 | 54 | NA | NA | NA | NA | NA | NA | 11.468 | 5.634 | -108.824 | 1 | 0 | |||
| Streamnet_323 | SULPHUR C WASTEWAY NR SUNNYSIDE WASH | PSMFC | -120.01925003 | 46.25066665 | 1176 | 17.105 | 7.569 | -78.942 | 9.14 | -33.654 | 279.253 | 13.298 | 5.371 | -120.419 | 1 | 1 | |||
| Storet_219 | SULPHUR C WW @ DUFFY RD | EPA | -119.999722 | 46.279722 | 55 | 12.19 | 5.661 | 256.427 | 1.423 | 53.181 | 219.801 | 11.849 | 5.429 | -114.87 | 1 | 1 | |||
| Storet_220 | SULPHUR C WW @ FACTORY R SUNYS | EPA | -119.980833 | 46.3175 | 55 | 12.676 | 5.729 | 260.542 | 2.815 | 50.059 | 221.549 | 11.983 | 5.254 | -117.261 | 1 | 1 | |||
| Storet_221 | SULPHUR C WW @ MCGEE RD | EPA | -121.019167 | 46.244167 | 73 | NA | NA | NA | NA | NA | NA | 12.457 | 5.577 | -115.436 | 1 | 0 | |||
| Storet_222 | SULPHUR C WW @ MORSE RD | EPA | -121.017778 | 46.265833 | 54 | 12.362 | 5.821 | 258.04 | 1.801 | 52.906 | 206.426 | 11.949 | 5.598 | -114.698 | 1 | 1 | |||
| 37F070 | Sulphur Ck Wasteway @ McGee Rd | WA.Ecology | -120.0201 | 46.244 | 12 | 12.7 | 4.9 | 192.4 | 4.8 | 92 | 297 | 11.3 | 4.6 | 165 | 650 | 1703 | |||
| 12137800 | SULTAN R BELOW DIVERSION DAM NEAR SULTAN, WA | USGS | -121.7973 | 47.9593 | 5040 | 8 | 4.6 | 140 | 2.2 | 203 | 342 | 7.6 | 4.1 | 133 | NA | 1711 | |||
| 01D090 | Sumas R @ Sumas | WA.Ecology | -122.2541 | 48.9927 | 44 | 11.3 | 7.2 | 181 | 3.8 | 118 | 303 | 10.4 | 6.6 | 168 | 30 | 1711 | |||
| 01D070 | Sumas R nr Huntingdon BC | WA.Ecology | -122.2318 | 49.0023 | 258 | 10.9 | 6.7 | 172 | 2.4 | 186 | 303 | 10.6 | 6.2 | 168 | 20 | 1711 | |||
| Storet_223 | SUNNYSIDE CA @ BEAM R XING | EPA | -120.15 | 46.216667 | 61 | 21.369 | 9.049 | 328.301 | 20.932 | -27.224 | 239.746 | 10.211 | 9.283 | -119.504 | 1 | 1 | |||
| SNC | SUNRISE CLUB | CDEC | -122.083 | 38.185 | 1340 | 16.2 | 6.6 | 162.6 | 0 | 266 | 306 | 16.1 | 6.5 | 162 | 0 | 1805 | |||
| Storet_224 | SWAMP C @ FR447 | EPA | -116.416667 | 46.983333 | 99 | 36.631 | 38.427 | 316.066 | 70.539 | -33.936 | 301.33 | 4.955 | 4.496 | -138.56 | 1 | 1 | |||
| 08J100 | Swamp C abv Lynnwood | WA.Ecology | -122.2666 | 47.864 | 11 | 9.8 | 5.8 | 167.1 | 2.8 | 172 | 307 | 9.3 | 5.3 | 160 | 410 | 1711 | |||
| Streamnet_337 | Swiftwater C @ Forest Boundary | PSMFC | -115.5880814 | 46.1155548 | 79 | NA | NA | NA | NA | NA | NA | -8.581 | 23.094 | -135.882 | 1 | 0 | |||
| 15D070 | Tahuya R @ Tahuya R Rd | WA.Ecology | -123.0068 | 47.4076 | 12 | 10.6 | 5.3 | 167.2 | 1.6 | 146 | 313 | 10.2 | 5 | 161 | 77 | 1711 | |||
| 15D090 | Tahuya R nr Belfair | WA.Ecology | -122.9543 | 47.4376 | 12 | 10.7 | 5.5 | 168.6 | 3.6 | 166 | 320 | 9.9 | 4.6 | 157 | 170 | 1711 | |||
| 39P080 | Taneum C @ Heart K Ranch | WA.Ecology | -120.767 | 47.0865 | 1953 | 8.4 | 8.6 | 170.6 | 6.7 | 143 | 310 | 6.9 | 7.6 | 152 | 1960 | 1703 | |||
| 17G060 | Tarboo C nr mouth | WA.Ecology | -122.8171 | 47.8687 | 2422 | 9.9 | 5.6 | 169.5 | 1.6 | 148 | 303 | 9.6 | 5.3 | 164 | 45 | 1711 | |||
| Storet_225 | TAYLOR C NEAR ENGLISH CABIN SITE | EPA | -123.591667 | 42.525 | 318 | 18.682 | 6.143 | -17.005 | 9.311 | 111.455 | 219.85 | 0.997 | 15.325 | -125.047 | 1 | 1 | |||
| 39D070 | Teanaway R nr Cle Elum | WA.Ecology | -120.8345 | 47.1687 | 35 | 9.8 | 9.1 | 171.8 | 5.5 | 145 | 309 | 8.5 | 8.1 | 159 | 1820 | 1703 | |||
| 01P080 | Tenmile C abv Barrett Lake | WA.Ecology | -122.5296 | 48.8571 | 2669 | 10.2 | 5.4 | 170.7 | 0 | 203 | 304 | 10 | 5 | 168 | 20 | 1711 | |||
| TTK | TERMINAL TANK (KB004207) | CDEC | -121.834 | 37.399 | 5493 | 17.2 | 7 | 162.5 | 2.4 | 184 | 314 | 16.7 | 6.5 | 157 | 650 | 1805 | |||
| Streamnet_338 | TETON R NR ST ANTHONY ID | PSMFC | -111.61471108 | 43.92658876 | 261 | 6.484 | 13.756 | -113.399 | 6.491 | 92.605 | 252.257 | 5.414 | 11.353 | -132.375 | 1 | 1 | |||
| 13055000 | TETON R NR ST ANTHONY ID | USGS | -111.6139 | 43.9272 | 3883 | 8.9 | 9.2 | 170.2 | 5.2 | 177 | 307 | 8 | 8.1 | 160 | NA | 1704 | |||
| Streamnet_339 | THOMAS C NEAR CRABTREE, OR. | PSMFC | -122.96535276 | 44.67780639 | 542 | 14.422 | 9.655 | -97.072 | 7.885 | 49.94 | 220.524 | 12.442 | 8.481 | -117.902 | 1 | 1 | |||
| Streamnet_340 | THOMAS C NEAR SCIO, OREG. | PSMFC | -122.76551009 | 44.7115721 | 4612 | 17.193 | 10.435 | -70.925 | 15.47 | -23.511 | 262.727 | 11.32 | 6.837 | -124.633 | 1 | 1 | |||
| 17H060 | Thorndyke C nr mouth | WA.Ecology | -122.7399 | 47.8229 | 2620 | 9.4 | 3.7 | 162.2 | 0 | 209 | 304 | 9.3 | 3.6 | 161 | NA | 1711 | |||
| Storet_226 | THREEMILE C @ S-3010 | EPA | -121.4 | 45.25 | 78 | 10.828 | 6.33 | 284.411 | 10.55 | -26.482 | 286.583 | 6.361 | 4.253 | -142.52 | 1 | 1 | |||
| Storet_227 | TIETON R @ OAK C | EPA | -120.81 | 46.726389 | 59 | 9.64 | 7.256 | 245.49 | 1.858 | 165.382 | 261.288 | 9.389 | 6.785 | -119.009 | 1 | 1 | |||
| 38B070 | Tieton R @ Oak Creek | WA.Ecology | -120.8112 | 46.7262 | 59 | 9.6 | 7.1 | 165 | 2.6 | 161 | 269 | 9.2 | 6.9 | 159 | 1690 | 1703 | |||
| Streamnet_341 | TIETON R @ TIETON DAM NEAR NACHES, WASH. | PSMFC | -121.12351146 | 46.66290462 | 175 | -81.703 | 97.697 | -177.074 | -180.937 | -81.567 | 264.261 | 9.623 | 4.8 | -174.246 | 1 | 1 | |||
| 12493005 | TIETON R BELOW OAK C NEAR NACHES, WA | USGS | -120.8099 | 46.7275 | 440 | 9 | 8.1 | 158.5 | 4.7 | 186 | 325 | 8.2 | 7 | 149 | 1710 | 1703 | |||
| 46D050 | Tillicum C @ mouth | WA.Ecology | -120.3973 | 47.7474 | 2524 | 6.9 | 5.3 | 166.7 | 2.6 | 151 | 312 | 6.3 | 4.8 | 156 | 1640 | 1702 | |||
| Streamnet_342 | TILTON R ABV BEAR CANYON C NR CINEBAR, WASH. | PSMFC | -122.45823118 | 46.59531215 | 5807 | 10.674 | 6.076 | -108.031 | 4.644 | 32.191 | 233.618 | 9.422 | 5.579 | -129.455 | 1 | 1 | |||
| Storet_228 | TINKER CREEK | EPA | -118.9 | 44.566667 | 89 | 9.136 | 8.89 | 270.35 | 10.409 | 27.331 | 231.994 | 6.041 | 8.308 | -129.888 | 1 | 1 | |||
| 49K090 | Toats Coulee C nr Loomis | WA.Ecology | -119.719 | 48.8451 | 2680 | 6.6 | 7.6 | 180 | 7.4 | 128 | 308 | 4.7 | 6.8 | 154 | 2438 | 1702 | |||
| 07G070 | Tolt R nr Carnation | WA.Ecology | -121.9162 | 47.6378 | 194 | 10.7 | 5.9 | 169 | 3.5 | 150 | 302 | 10.2 | 5.8 | 158 | 70 | 1711 | |||
| Streamnet_343 | TOPPENISH C @ INDIAN CHURCH R NR GRANGER,WASH | PSMFC | -120.19805253 | 46.31454965 | 225 | 12.641 | 8.646 | -109.409 | 3.529 | 113.203 | 234.536 | 12.685 | 6.695 | -115.893 | 1 | 1 | |||
| 37C060 | Toppenish C nr Satus | WA.Ecology | -120.1901 | 46.3107 | 47 | 11.1 | 8.7 | 165.6 | 3 | 215 | 317 | 10.7 | 8 | 163 | 700 | 1703 | |||
| 32B100 | Touchet R @ Bolles | WA.Ecology | -118.2211 | 46.274 | 1559 | 12 | 9.4 | 174.6 | 6.6 | 140 | 304 | 10.6 | 8.4 | 159 | 1160 | 1707 | |||
| Streamnet_344 | TOUCHET R @ BOLLES, WASH. | PSMFC | -118.22119465 | 46.27413769 | 477 | 13.184 | 10.417 | -89.585 | 7.789 | 11.443 | 216.461 | 11.045 | 9.217 | -112.176 | 1 | 1 | |||
| 32B110 | Touchet R @ County Line | WA.Ecology | -118.1113 | 46.2771 | 2455 | 13 | 8.1 | 172.3 | 4 | 138 | 301 | 12.1 | 7.5 | 161 | 1000 | 1707 | |||
| 32B075 | Touchet R @ Cummins Rd. | WA.Ecology | -118.6688 | 46.0568 | 2498 | 13.7 | 11.2 | 176.1 | 4.8 | 144 | 298 | 12.7 | 10.3 | 167 | 450 | 1707 | |||
| 32B130 | Touchet R @ Dayton | WA.Ecology | -117.9836 | 46.3185 | 34 | 11.5 | 8 | 181.8 | 3.8 | 135 | 293 | 10.7 | 7.3 | 171 | 1600 | 1707 | |||
| 32B070 | Touchet R @ Touchet | WA.Ecology | -118.6842 | 46.0412 | 252 | 13.5 | 11 | 174.7 | 4.8 | 150 | 299 | 12.5 | 10.1 | 166 | 425 | 1707 | |||
| 32B120 | Touchet R nr Dayton | WA.Ecology | -118.0455 | 46.2904 | 48 | 10.3 | 7.3 | 164.4 | 4.8 | 128 | 314 | 9.1 | 6.9 | 148 | 1460 | 1707 | |||
| Storet_229 | TOUTLE R BASELINE | EPA | -122.161389 | 46.262778 | 603 | 10.818 | 4.592 | 236.589 | 7.073 | 3.878 | 215.581 | 7.856 | 7.521 | -147.631 | 1 | 1 | |||
| Storet_230 | TOUTLE R NEAR CASTLE ROCK | EPA | -122.908333 | 46.313889 | 279 | 12.601 | 7.611 | 259.321 | 5.385 | 41.418 | 229.657 | 11.251 | 6.84 | -123.823 | 1 | 1 | View | ||
| 26D070 | Toutle R nr Castle Rock | WA.Ecology | -122.909 | 46.3193 | 279 | 12.2 | 7.8 | 171.6 | 5.3 | 142 | 306 | 11 | 7.1 | 157 | 47 | 1708 | |||
| Streamnet_349 | Trailhead | PSMFC | -115.74683672 | 44.91950267 | 125 | NA | NA | NA | NA | NA | NA | 2.928 | 10.91 | -122.168 | 1 | 0 | |||
| Storet_231 | TRAPPER C @ GAGE | EPA | -115.336111 | 45.67 | 77 | 13.837 | 13.236 | 316.076 | 23.836 | -11.282 | 271.192 | 3.051 | 5.219 | -129.787 | 1 | 1 | |||
| Storet_232 | TRINIDAD SPRINGS | EPA | -120 | 47.25 | 70 | NA | NA | NA | NA | NA | NA | 15.003 | -0.938 | -192.851 | 1 | 0 | |||
| DGC | TRINITY R @ DOUGLAS CITY | CDEC | -122.9547 | 40.6472 | 4155 | 10.3 | 4.2 | 167.4 | 2.1 | 180 | 300 | 9.9 | 3.8 | 160 | 1600 | NA | |||
| HPA | TRINITY R @ HOOPA | CDEC | -123.673 | 41.051 | 3650 | 14.6 | 7.8 | 170.2 | 6.5 | 144 | 314 | 13 | 6.8 | 150 | 330 | NA | |||
| NFH | TRINITY R ABV NF TRINITY NR HELENA | CDEC | -123.1133 | 40.7672 | 2009 | 11.6 | 6.1 | 165.5 | 4.7 | 174 | 308 | 10.8 | 5.3 | 153 | 1410 | NA | |||
| TLK | TRINITY R BELOW LIMEKILN GULCH | CDEC | -122.919 | 40.673 | 3287 | 9.9 | 3.7 | 168.6 | 3 | 187 | 306 | 9.4 | 3.1 | 157 | 1650 | NA | |||
| WPC | TRINITY R NEAR WEITCHPEC | CDEC | -123.706 | 41.179 | 3365 | 14.7 | 7.9 | 168.5 | 5.8 | 153 | 311 | 13.4 | 6.9 | 153 | 300 | NA | |||
| 10336775 | TROUT CK @ PIONEER TRAIL NR SOUTH LAKE TAHOE, CA | USGS | -119.9689 | 38.9034 | 1804 | 6.4 | 6.8 | 173.4 | 5 | 139 | 310 | 5.2 | 6.2 | 157 | 6269 | 1605 | |||
| 10336770 | TROUT CK @ USFS R 12N01 NR MEYERS, CA | USGS | -119.9582 | 38.8632 | 1927 | 5.3 | 4.7 | 177.5 | 4.3 | 125 | 302 | 4.3 | 4.3 | 155 | 6850 | 1605 | |||
| 10336795 | TROUT CK NR MOUTH E NR BELLEVUE/ELDORADO AVE, CA | USGS | -119.9907 | 38.9366 | 1372 | 7.2 | 7.2 | 175.5 | 4.3 | 135 | 303 | 6.1 | 6.6 | 161 | 6230 | 1605 | |||
| 10336780 | TROUT CK NR TAHOE VALLEY, CA | USGS | -119.9724 | 38.9199 | 2840 | 6.9 | 6.7 | 170.9 | 4.2 | 136 | 312 | 5.8 | 6.2 | 156 | 6241 | 1605 | |||
| 10346000 | TRUCKEE R A FARAD CA | USGS | -120.0341 | 39.428 | 1788 | 9.8 | 7.3 | 162.5 | 4.6 | 156 | 323 | 8.8 | 6.5 | 149 | 5153 | 1605 | |||
| 10337500 | TRUCKEE R A TAHOE CITY CA | USGS | -120.1444 | 39.1663 | 2863 | 11.3 | 8.4 | 159.5 | 4.6 | 160 | 316 | 10.3 | 7.6 | 147 | 6216 | 1605 | |||
| 10338000 | TRUCKEE R NR TRUCKEE CA | USGS | -120.2055 | 39.2963 | 2516 | 9.9 | 8.4 | 165.5 | 7 | 154 | 320 | 8.4 | 7.2 | 146 | 5860 | 1605 | |||
| 14207200 | TUALATIN R @ OSWEGO DAM, NEAR WEST LINN, OR | USGS | -122.6851 | 45.3565 | 5394 | 14 | 8.1 | 165.6 | 3 | 151 | 307 | 13.4 | 7.6 | 158 | NA | 1709 | |||
| Streamnet_345 | TUALATIN R @ OSWEGO DAM, NEAR WEST LINN, OR | PSMFC | -122.68228196 | 45.35640341 | 669 | 14.204 | 7.939 | -115.935 | 2.703 | 55.222 | 230.721 | 13.563 | 7.467 | -123.766 | 1 | 1 | |||
| Streamnet_346 | TUALATIN R @ WEST LINN, OREG. | PSMFC | -122.67508712 | 45.35116866 | 2161 | 13.372 | 8.09 | -112.98 | 2.75 | 60.499 | 226.463 | 12.758 | 7.604 | -120.514 | 1 | 1 | |||
| Streamnet_347 | TUALATIN R NEAR DILLEY, OREG. | PSMFC | -123.12452371 | 45.47508015 | 1639 | 15.171 | 9.234 | -85.673 | 9.912 | -9.22 | 271.642 | 11.461 | 6.627 | -121.097 | 1 | 1 | |||
| Streamnet_348 | TUALATIN R NR GASTON, OREG. | PSMFC | -123.16801477 | 45.43664366 | 1738 | 12.264 | 7.349 | -109.089 | 4.883 | 42.884 | 237.31 | 10.98 | 6.507 | -125.145 | 1 | 1 | |||
| Storet_233 | TUCANNON R 100 YD BEL BR FR N-87 | EPA | -117.708333 | 46.206111 | 1118 | 7.456 | 3.173 | 982.96 | 3.037 | 121.34 | 190.07 | 7.146 | 2.872 | -124.694 | 1 | 1 | |||
| Storet_234 | TUCANNON R @ NFS BOUNDRY | EPA | -117.65 | 46.291667 | 170 | 9.944 | 6.284 | 257.712 | 6.33 | 75.843 | 214.805 | 9.001 | 5.501 | -128.39 | 1 | 1 | |||
| 35B060 | Tucannon R @ Powers | WA.Ecology | -118.1555 | 46.5376 | 1027 | 12.7 | 9 | 172.5 | 6.1 | 162 | 297 | 11.9 | 8.7 | 162 | 600 | 1706 | |||
| Storet_235 | TUCANNON R @ POWERS | EPA | -118.155 | 46.538333 | 235 | 12.032 | 7.541 | 255.884 | 3.614 | 77.178 | 218.17 | 11.338 | 6.844 | -117.933 | 1 | 1 | View | ||
| Storet_236 | TUCANNON R END ROAD N-872 | EPA | -117.608333 | 46.185278 | 619 | 12.77 | 10.607 | 323.282 | 19.703 | 0.139 | 258.508 | 2.966 | 5.727 | -120.662 | 1 | 1 | |||
| 35B150 | Tucannon R nr Marengo | WA.Ecology | -117.7499 | 46.4401 | 2669 | 11.1 | 7.5 | 171.9 | 5.3 | 154 | 303 | 10 | 6.6 | 158 | 1475 | 1706 | |||
| THB | TUOLUMNE R @ HICKMAN BRDG WATERFORD | CDEC | -120.7593 | 37.636 | 1628 | 16.4 | 6.9 | 172.1 | 6.7 | 149 | 318 | 14.9 | 5.7 | 151 | 100 | 1804 | |||
| MOD | TUOLUMNE R @ MODESTO | CDEC | -121.001 | 37.65 | 5036 | 17.8 | 7.6 | 171.6 | 5.3 | 148 | 312 | 16.6 | 6.6 | 157 | 90 | 1804 | |||
| TSB | TUOLUMNE R @ SHILOH BRIDGE | CDEC | -121.1314 | 37.6027 | 1596 | 17.9 | 8.1 | 172 | 5.9 | 156 | 311 | 16.6 | 6.5 | 158 | 36 | 1804 | |||
| TTS | TUOLUMNE R @ TURLOCK LK ST REC CAMPGRD | CDEC | -120.5829 | 37.6315 | 2330 | 14.6 | 4.7 | 170.7 | 4.8 | 144 | 317 | 13.5 | 3.9 | 147 | 110 | 1804 | |||
| 11274790 | TUOLUMNE R A GRAND CYN OF TUOLUMNE AB HETCH HETCHY | USGS | -119.6599 | 37.9166 | 1423 | 11.1 | 9.7 | 166.6 | 8.8 | 151 | 321 | 9 | 8 | 145 | 3830 | 1804 | |||
| 11276600 | TUOLUMNE R AB EARLY INTAKE NR MATHER CA | USGS | -119.9471 | 37.8794 | 8460 | 12.6 | 6.9 | 167.1 | 4.4 | 187 | 309 | 11.8 | 5.9 | 158 | NA | 1804 | |||
| 11276900 | TUOLUMNE R BL EARLY INTAKE NR MATHER CA | USGS | -119.9702 | 37.8816 | 1534 | 12.7 | 7.4 | 166.4 | 6.7 | 170 | 313 | 11.4 | 6.1 | 149 | NA | 1804 | |||
| 11289650 | TUOLUMNE R BL LAGRANGE DAM NR LAGRANGE CA | USGS | -120.4421 | 37.6663 | 12535 | 12 | 1.6 | 143.9 | 0 | 144 | 240 | 11.8 | 1.7 | 137 | NA | 1804 | |||
| TBS | TUOLUMNE R NEAR BASSO BRIDGE | CDEC | -120.4946 | 37.6507 | 2061 | 12.7 | 2.5 | 165.1 | 2.6 | 142 | 296 | 12.2 | 2.4 | 144 | 140 | 1804 | |||
| TCB | TUOLUMNE R NEAR CARPENTER R BRIDGE | CDEC | -121.0319 | 37.6098 | 831 | 18.2 | 7.7 | 174 | 3.7 | 161 | 312 | 17.4 | 6.8 | 166 | 48 | 1804 | |||
| TLS | TUOLUMNE R NEAR LUMSDEN CAMPGROUND | CDEC | -120.0537 | 37.8361 | 1717 | 11.1 | 5 | 157.2 | 3.4 | 159 | 327 | 10.4 | 4.3 | 141 | 1421 | 1804 | |||
| TSF | TUOLUMNE R NEAR SANTE FE BRIDGE | CDEC | -120.8987 | 37.6229 | 1016 | 17.2 | 7.4 | 170.3 | 5.4 | 134 | 305 | 15.9 | 6.9 | 154 | 45 | 1804 | |||
| 48D070 | Twisp R nr Mouth | WA.Ecology | -120.1224 | 48.3668 | 11 | 10.5 | 9 | 179.5 | 11.7 | 151 | 323 | 7.3 | 6.7 | 147 | 1769 | 1702 | |||
| Storet_238 | UMATILLA R @ CAYUSE BRIDGE | EPA | -118.524417 | 45.680972 | 386 | 16.42 | 11.681 | 282.204 | 16.579 | 6.022 | 246.498 | 10.829 | 10.066 | -131.485 | 1 | 1 | |||
| Storet_239 | UMATILLA R @ HWY 11 (PENDLETON) | EPA | -118.72875 | 45.692056 | 2719 | 13.234 | 9.739 | 256.007 | 6.546 | 62.829 | 224.859 | 10.98 | 10.799 | -126.145 | 1 | 1 | View | ||
| Storet_240 | UMATILLA R @ HWY. 207 BRIDGE | EPA | -119.320556 | 45.792472 | 1483 | 12.106 | 11.339 | -110.002 | 191.846 | 125.8 | 230.011 | 11.26 | 11.062 | -115.302 | 1 | 1 | |||
| Storet_241 | UMATILLA R @ RIETH BRIDGE | EPA | -118.885861 | 45.657 | 259 | 34.24 | 29.297 | 294.005 | 49.073 | -20.888 | 324.521 | 11.361 | 6.541 | -121.117 | 1 | 1 | |||
| Storet_237 | UMATILLA R @ THORNHOLLOW BRIDGE | EPA | -118.421056 | 45.6875 | 359 | NA | NA | NA | NA | NA | NA | NA | NA | NA | 0 | 0 | |||
| Storet_242 | UMATILLA R @ UMATILLA CITY GRAVEL PIT | EPA | -119.328333 | 45.910389 | 653 | NA | NA | NA | NA | NA | NA | 22.852 | -13.166 | -209.318 | 1 | 0 | |||
| Storet_243 | UMATILLA R @ WESTLAND ROAD (HERMISTON) | EPA | -119.331944 | 45.835694 | 2765 | 12.281 | 7.513 | 255.101 | 3.176 | 123.67 | 137.817 | 10.968 | 8.569 | -119.138 | 1 | 1 | |||
| Storet_244 | UMATILLA R @ YOAKUM BRIDGE | EPA | -119.030528 | 45.679417 | 2959 | NA | NA | NA | NA | NA | NA | 10.565 | 7.612 | -119.552 | 1 | 0 | View | ||
| Streamnet_351 | UMATILLA R AB MEACHAM C NR GIBBON, OREG. | PSMFC | -118.26823115 | 45.7308622 | 7150 | 10.807 | 7.077 | -103.678 | 5.909 | 32.797 | 225.033 | 9.287 | 6.47 | -126.15 | 1 | 1 | |||
| Storet_245 | UMATILLA R EAST OF GIBBON OR. | EPA | -118.309722 | 45.719528 | 629 | NA | NA | NA | NA | NA | NA | -7.295 | 25.412 | -158.925 | 1 | 0 | |||
| Storet_246 | UMATILLA R JUST D.S OF NO. & SO. FORKS | EPA | -118.187361 | 45.726917 | 1270 | NA | NA | NA | NA | NA | NA | 6.871 | 6.255 | -128.692 | 1 | 0 | |||
| Streamnet_350 | UMATILLA R NR UMATILLA OREG | PSMFC | -119.32781994 | 45.90940668 | 948 | 15.783 | 4.771 | -789.594 | 4.458 | -8.594 | 222.89 | 14.421 | 3.446 | 279.547 | 1 | 1 | |||
| Storet_247 | UMATILLA R U.S OF McKAY C | EPA | -118.833306 | 45.671639 | 169 | NA | NA | NA | NA | NA | NA | 1564.098 | -1548.994 | -172.764 | 1 | 0 | |||
| UNI | UNION ISLAND | CDEC | -121.376 | 37.824 | 3981 | 18 | 8.2 | 170.9 | 4.2 | 160 | 314 | 17.1 | 7.2 | 161 | 0 | 1805 | |||
| Storet_248 | UPPER CLEAR C | EPA | -121.7 | 45.183333 | 74 | NA | NA | NA | NA | NA | NA | 4.992 | 2.967 | -112.172 | 1 | 0 | |||
| 08A090 | Upper McAleer Cr | WA.Ecology | -122.3222 | 47.7807 | 24 | 13.6 | 9.7 | 166.9 | 3.1 | 162 | 300 | 13.1 | 9.3 | 161 | 270 | 1711 | |||
| Streamnet_356 | Upper Meadow | PSMFC | -116.2061683 | 44.51195898 | 91 | NA | NA | NA | NA | NA | NA | 0.834 | 11.656 | -126.127 | 1 | 0 | |||
| Streamnet_352 | UPPER MEADOW CREEK/MCCOMAS MEADOWS - UPSTREAM, 100 | PSMFC | -115.9026718 | 45.9080811 | 510 | 15.404 | 14.2 | -61.879 | 22.346 | -16.709 | 282.908 | 4.858 | 7.542 | -120.553 | 1 | 1 | |||
| Streamnet_357 | Upper Quartz Creek | PSMFC | -115.5189056 | 45.6717682 | 84 | NA | NA | NA | NA | NA | NA | -2.624 | 13.286 | -140.057 | 1 | 0 | |||
| 103366092 | UPPER TRUCKEE R @ HWY 50 ABV MEYERS, CA | USGS | -120.0271 | 38.8485 | 1846 | 7.9 | 7.6 | 170.5 | 7 | 138 | 311 | 6.2 | 6.4 | 148 | 6310 | 1605 | |||
| 103366098 | UPPER TRUCKEE R @ HWY 50 BRG BLW MEYERS, CA | USGS | -120.0055 | 38.8755 | 920 | 9 | 9.4 | 169.2 | 7.8 | 144 | 318 | 7.2 | 7.9 | 148 | 6260 | 1605 | |||
| 10336580 | UPPER TRUCKEE R @ S UPPER TRUCKEE RD NR MEYERS | USGS | -120.0191 | 38.7963 | 2015 | 6.3 | 6.4 | 172.9 | 6.4 | 129 | 313 | 4.7 | 5.7 | 146 | 6490 | 1605 | |||
| 10336610 | UPPER TRUCKEE R @ SOUTH LAKE TAHOE, CA | USGS | -119.9916 | 38.9224 | 3016 | 9.3 | 9.3 | 169.9 | 7.7 | 146 | 317 | 7.4 | 7.8 | 150 | 6229 | 1605 | |||
| 10336612 | UPPER TRUCKEE R A MOUTH NR VENICE DRIVE, CA | USGS | -120.0002 | 38.9344 | 1189 | 9.5 | 9.7 | 169.7 | 7.6 | 155 | 314 | 8 | 8.1 | 151 | 6229 | 1605 | |||
| VSB | VALLECITOS | CDEC | -121.8193 | 37.5985 | 5767 | 17.1 | 7.1 | 164.1 | 2.8 | 177 | 304 | 16.6 | 6.6 | 158 | 635 | 1805 | |||
| 13295000 | VALLEY C @ STANLEY ID | USGS | -114.9311 | 44.2225 | 358 | 5.6 | 5 | 170.7 | 0 | 239 | 290 | 5.6 | 4.8 | 170 | 6221 | 1706 | |||
| Streamnet_358 | Van Buren @ Mouth | PSMFC | -116.0838547 | 45.5336571 | 339 | NA | NA | NA | NA | NA | NA | -1.941 | 12.237 | -136.257 | 1 | 0 | |||
| VVL | VAN VLECK | CDEC | -120.305 | 38.945 | 1794 | 11 | 8.6 | 169.4 | 4.7 | 144 | 309 | 9.9 | 7.7 | 156 | 6700 | 1802 | |||
| VER | VERNALIS (USBR) | CDEC | -121.267 | 37.667 | 6428 | 17.7 | 8 | 171.8 | 4.5 | 159 | 312 | 16.8 | 7 | 161 | 0 | 1804 | |||
| Storet_249 | VESTER CREEK. LOWER | EPA | -119.4 | 44.2 | 709 | 5.012 | 4.8 | 256.798 | 2.557 | 137.544 | 179.6 | 4.76 | 4.649 | -113.325 | 1 | 1 | |||
| Storet_250 | VESTER CREEK. UPPER | EPA | -119.4 | 44.183333 | 693 | 7.662 | 5.31 | 278.558 | 4.677 | -24.741 | 251.907 | 5.992 | 4.682 | -110.855 | 1 | 1 | |||
| VIC | VICTORIA ISLAND | CDEC | -121.489 | 37.891 | 4094 | 17.5 | 7.9 | 164.2 | 1.8 | 176 | 308 | 17.2 | 7.6 | 161 | 0 | 1805 | |||
| VOL | VOLANTI | CDEC | -122.046 | 38.181 | 3376 | 16.6 | 6.6 | 164.2 | 0 | 230 | 307 | 16.5 | 6.4 | 163 | 8 | 1805 | |||
| Storet_251 | W61 C W.W _ I_90 ABV VANTAGE | EPA | -119.966667 | 46.958333 | 64 | NA | NA | NA | NA | NA | NA | 11.98 | 6.012 | -97.606 | 1 | 0 | |||
| 09L060 | Walker C near mouth | WA.Ecology | -122.3513 | 47.4446 | 104 | 10.2 | 5.4 | 159.4 | 0 | 246 | 302 | 10 | 5.2 | 152 | 15 | 1711 | |||
| 32A100 | Walla Walla @ east Detour Road Br | WA.Ecology | -118.4908 | 46.0429 | 1359 | 12.3 | 8.4 | 169.3 | 4.9 | 151 | 301 | 11.3 | 7.7 | 157 | 570 | 1707 | |||
| 32A105 | Walla Walla R @ Beet Rd. | WA.Ecology | -118.4269 | 46.0235 | 2880 | 12.9 | 8.2 | 170.8 | 4.8 | 162 | 300 | 12 | 7.3 | 160 | NA | 1707 | |||
| 32A110 | Walla Walla R @ College Pl | WA.Ecology | -118.3894 | 46.0126 | 90 | 13.5 | 9.7 | 166.4 | 6.3 | 156 | 310 | 12.2 | 8.6 | 152 | 730 | 1707 | |||
| 32A120 | Walla Walla R @ Pepper Bridge | WA.Ecology | -118.3833 | 46.0024 | 2413 | 13 | 6.9 | 172 | 6.6 | 140 | 301 | 11.6 | 6.2 | 151 | 1000 | 1707 | |||
| 14018500 | WALLA WALLA R NEAR TOUCHET, WA | USGS | -118.7297 | 46.0276 | 1188 | 15.3 | 9.9 | 185.3 | 8.4 | 110 | 303 | 12.9 | 8.7 | 163 | 405 | 1707 | |||
| 32A090 | Walla Walla R nr Lowden | WA.Ecology | -118.555 | 46.0479 | 376 | 13.2 | 10.3 | 173.3 | 5.6 | 155 | 299 | 12 | 10.4 | 165 | 480 | 1707 | |||
| 32A070 | Walla Walla R nr Touchet | WA.Ecology | -118.7664 | 46.0376 | 1084 | 13.9 | 11 | 173.1 | 6 | 149 | 298 | 12.9 | 10.7 | 163 | 370 | 1707 | |||
| Storet_252 | WALLOWA R @ MINAM | EPA | -117.7195 | 45.623611 | 165 | 11.369 | 8.86 | -102.828 | 8.55 | 73.492 | 235.087 | 9.286 | 6.913 | -127.587 | 1 | 1 | |||
| Streamnet_359 | WALLOWA R @ WALLOWA, OREG. | PSMFC | NA | NA | 478 | NA | NA | NA | NA | NA | NA | 9.352 | 5.663 | -117.67 | 1 | 0 | |||
| Streamnet_360 | WALTERVILLE CANAL NR WALTERVILLE, OR | PSMFC | -122.88124636 | 44.0626106 | 375 | 13.026 | -2.335 | -1330.819 | 7.301 | -24.802 | 239.185 | 9.484 | 3.483 | -140.787 | 1 | 1 | |||
| Streamnet_361 | WALTON C NR POWELL RANGER STATION ID | PSMFC | -114.67974389 | 46.50788268 | 299 | NA | NA | NA | NA | NA | NA | 2.912 | 8.314 | -121.467 | 1 | 0 | |||
| Storet_253 | WANITY SLOUGH @ MYERS R | EPA | -120.292778 | 46.334167 | 68 | 10.659 | 2.839 | -136.777 | -4.531 | 61.701 | 332.411 | 12.36 | 4.961 | -123.738 | 1 | 1 | |||
| 10336676 | WARD C @ HWY 89 NR TAHOE PINES CA | USGS | -120.1577 | 39.1321 | 2220 | 7.1 | 7.5 | 168.5 | 5.1 | 155 | 315 | 5.7 | 6.4 | 151 | NA | 1605 | |||
| 13336800 | WARM SPRING C NR POWELL RANGER STATION ID | USGS | -114.8863 | 46.4723 | 546 | 7.7 | 7.5 | 169.2 | 8.1 | 160 | 317 | 6.1 | 5.9 | 142 | NA | 1706 | |||
| 13336750 | WARM SPRINGS C AB J JOHNSON H SP NR POWELL R ID | USGS | -114.8718 | 46.461 | 550 | 6.8 | 7.7 | 172.1 | 7.4 | 153 | 319 | 5 | 5.8 | 150 | NA | 1706 | |||
| 28B080 | Washougal R @ Hathaway Park | WA.Ecology | -122.3445 | 45.5837 | 1940 | 12.3 | 7.9 | 173.7 | 6.4 | 137 | 309 | 10.8 | 6.9 | 154 | 40 | 1708 | |||
| 28B070 | Washougal R @ Washougal | WA.Ecology | -122.354 | 45.5862 | 93 | 11.8 | 7.4 | 174.8 | 6.2 | 139 | 304 | 10.3 | 6.4 | 156 | 53 | 1708 | |||
| 28B110 | Washougal R blw Canyon Ck | WA.Ecology | -122.2315 | 45.6071 | 36 | 9.9 | 5.4 | 166.5 | 3.1 | 107 | 309 | 9 | 5.3 | 151 | 310 | 1708 | |||
| 28B090 | Washougal R nr Washougal | WA.Ecology | -122.3012 | 45.6221 | 44 | 12.6 | 8 | 176.2 | 7.6 | 143 | 308 | 10.9 | 6.7 | 154 | 220 | 1708 | |||
| WVC | WEAVER C NEAR WEAVERVILLE | CDEC | -122.933 | 40.686 | 1834 | 13.4 | 8.2 | 173 | 7.3 | 139 | 308 | 11.7 | 7.2 | 152 | 1740 | NA | |||
| Streamnet_362 | WEISER R NR WEISER ID | PSMFC | NA | NA | 176 | NA | NA | NA | NA | NA | NA | 4.372 | 19.043 | -137.392 | 1 | 0 | |||
| 13266000 | WEISER R NR WEISER ID | USGS | -116.7722 | 44.27 | 1149 | 11.6 | 11.9 | 167.5 | 6 | 183 | 295 | 10.8 | 11.1 | 159 | 2206 | 1705 | |||
| 45A100 | Wenatchee R @ Leavenworth | WA.Ecology | -120.6745 | 47.5773 | 24 | 7.5 | 7 | 156.1 | 4.6 | 194 | 334 | 6.6 | 5.8 | 147 | 1120 | 1702 | |||
| 45A075 | Wenatchee R @ Sleepy Hollow Br. | WA.Ecology | -120.3712 | 47.4723 | 12 | 9.8 | 9.2 | 167.6 | 8 | 175 | 312 | 8.3 | 7.5 | 153 | 646 | 1702 | |||
| 45A070 | Wenatchee R @ Wenatchee | WA.Ecology | -120.3365 | 47.4588 | 540 | 10.5 | 9.1 | 167.9 | 7.1 | 169 | 315 | 9.1 | 7.5 | 152 | 619 | 1702 | |||
| Storet_254 | WENATCHEE R @ WENATCHEE | EPA | -120.335278 | 47.458889 | 332 | 10.513 | 8.379 | 249.004 | 6.239 | 86.611 | 237.811 | 9.29 | 7.013 | -129.831 | 1 | 1 | View | ||
| 45A240 | Wenatchee R blw Lake Wenatchee | WA.Ecology | -120.7156 | 47.8098 | 2368 | 10.4 | 8 | 149.4 | 5.4 | 167 | 325 | 9.2 | 7.2 | 134 | 1840 | 1702 | |||
| Storet_255 | WENATCHEE R NEAR LEAVENWORTH | EPA | -120.733333 | 47.676389 | 273 | 9.391 | 7.694 | 246.083 | 5.431 | 71.007 | 245.229 | 8.129 | 6.591 | -134.787 | 1 | 1 | View | ||
| 45A085 | Wenatchee R nr Dryden | WA.Ecology | -120.5509 | 47.5351 | 24 | 7.9 | 7.1 | 159.7 | 5 | 190 | 332 | 6.8 | 5.8 | 149 | 900 | 1702 | |||
| 45A110 | Wenatchee R nr Leavenworth | WA.Ecology | -120.734 | 47.6762 | 706 | 9.9 | 9.3 | 166.5 | 8.3 | 160 | 314 | 8.3 | 8.2 | 145 | 1665 | 1702 | |||
| 13251300 | WEST BRANCH WEISER R NR TAMARACK ID | USGS | -116.436 | 45.0204 | 5878 | 6.3 | 6 | 175.3 | 4.2 | 121 | 305 | 5.3 | 5.6 | 158 | 4200 | 1705 | |||
| Streamnet_363 | WEST FORK CLEAR C MOUTH, STATION #2 | PSMFC | -115.8217163 | 46.0426674 | 97 | NA | NA | NA | NA | NA | NA | -0.787 | 15.096 | -134.873 | 1 | 0 | |||
| Streamnet_364 | WEST FORK TILTON R NEAR MORTON, WASH. | PSMFC | -122.24248188 | 46.61063358 | 5939 | 10.182 | 5.931 | -101.003 | 5.381 | 12.173 | 234.613 | 8.604 | 5.509 | -128.192 | 1 | 1 | |||
| 19C060 | West Twin R nr mouth | WA.Ecology | -123.9514 | 48.1643 | 1976 | 9.5 | 4.5 | 169.8 | 3.6 | 120 | 311 | 8.6 | 4.3 | 149 | 0 | 1711 | |||
| Streamnet_378 | Westfork Crooked upstream from trail 800 bridge | PSMFC | -115.5643692 | 45.6884651 | 84 | NA | NA | NA | NA | NA | NA | -3.225 | 14.246 | -139.827 | 1 | 0 | |||
| 22B070 | WF Hoquiam R nr Hoquiam | WA.Ecology | -123.9277 | 47.057 | 77 | 10.7 | 3.9 | 167.9 | 2.5 | 115 | 314 | 10 | 3.7 | 152 | 120 | 1710 | |||
| 10260950 | WF MOJAVE R AB MOJAVE R FORKS RES NR HESPERIA CA | USGS | -117.2578 | 34.3389 | 479 | 15.8 | 8.4 | 173 | 1.9 | 159 | 292 | 15.9 | 7.8 | 165 | 3050 | 1809 | |||
| Streamnet_379 | Whitbird C @ Mouth | PSMFC | -116.3197708 | 45.7520027 | 525 | NA | NA | NA | NA | NA | NA | 8.445 | 9.776 | -131.1 | 1 | 0 | |||
| 10C090 | White R @ Auburn | WA.Ecology | -122.2296 | 47.2659 | 92 | 11.6 | 7 | 171.2 | 4.3 | 169 | 315 | 10.8 | 6 | 162 | 60 | 1711 | |||
| 10C095 | White R @ R Street | WA.Ecology | -122.2079 | 47.2748 | 351 | 10.1 | 6 | 163 | 2.8 | 177 | 312 | 9.7 | 5.8 | 153 | 120 | 1711 | |||
| 45K050 | White R @ Road 6500 Bridge | WA.Ecology | -120.8387 | 47.8465 | 12 | 6.5 | 6.3 | 167 | 7.2 | 162 | 326 | 4.9 | 4.8 | 141 | 1870 | 1702 | |||
| 10C070 | White R @ Sumner | WA.Ecology | -122.2454 | 47.204 | 235 | 10.6 | 6.5 | 159 | 2.5 | 187 | 316 | 10.2 | 5.9 | 153 | 50 | 1711 | |||
| Streamnet_365 | WHITE R BELOW TYGH VALLEY, OREG. | PSMFC | -121.09643884 | 45.24316641 | 355 | 10.842 | 7.552 | -107.303 | 5.599 | 43.703 | 233.583 | 9.435 | 6.696 | -126.543 | 1 | 1 | |||
| Streamnet_366 | WHITE R NEAR PLAIN, WASH. | PSMFC | -120.86985578 | 47.87499926 | 238 | 61.381 | 61.419 | -93.592 | 116.955 | 3.599 | 363.667 | 3.683 | 3.073 | -114.448 | 1 | 1 | |||
| 10C140 | White R nr Buckley | WA.Ecology | -121.9765 | 47.1626 | 24 | 9.1 | 5.5 | 170 | 3.1 | 184 | 295 | 8.7 | 4.9 | 162 | 740 | 1711 | |||
| 10C150 | White R nr Greenwater | WA.Ecology | -121.7448 | 47.1646 | 24 | 8.7 | 6 | 175.8 | 1.5 | 149 | 293 | 8.4 | 5.7 | 172 | 1475 | 1711 | |||
| 45K090 | White R nr Plain | WA.Ecology | -120.8704 | 47.8746 | 2849 | 7 | 6.3 | 169.7 | 5.7 | 161 | 319 | 5.7 | 4.9 | 151 | NA | 1702 | |||
| 10C085 | White R nr Sumner | WA.Ecology | -122.2437 | 47.2504 | 152 | 10.6 | 5.7 | 157.7 | 0 | 246 | 289 | 10.3 | 5.4 | 149 | 55 | 1711 | |||
| 29B090 | White Salmon R @ Husum St | WA.Ecology | -121.4853 | 45.7993 | 76 | 7 | 2.6 | 168.5 | 1.6 | 163 | 290 | 6.8 | 2.6 | 161 | 385 | 1707 | |||
| 29B070 | White Salmon R nr Underwood | WA.Ecology | -121.527 | 45.7526 | 167 | 7.9 | 3.1 | 166.3 | 0 | 166 | 304 | 7.8 | 2.9 | 163 | 117 | 1707 | |||
| 13336620 | WHITESAND C NR POWELL RANGER STATION ID | USGS | -114.6804 | 46.5091 | 386 | 7.5 | 8.4 | 178.7 | 7.9 | 125 | 311 | 5.2 | 7.3 | 156 | NA | 1706 | |||
| Streamnet_367 | WHITESAND C NR POWELL RANGER STATION ID | PSMFC | -114.66215357 | 46.51125266 | 364 | NA | NA | NA | NA | NA | NA | 5.475 | 6.886 | -124.213 | 1 | 0 | |||
| Storet_256 | WIDE HOLLOW C @ UNION GAP STP | EPA | -120.474444 | 46.542778 | 74 | 12.479 | 5.072 | 248.238 | 1.182 | 75.207 | 211.762 | 12.254 | 4.89 | -121.626 | 1 | 1 | |||
| Storet_257 | WIDE HOLLOW C @ W WASHINGTON AV | EPA | -120.532222 | 46.571111 | 134 | 12.381 | 6.958 | 254.298 | 3.75 | 69.565 | 227.518 | 11.565 | 6.221 | -122.506 | 1 | 1 | |||
| 12500447 | WIDE HOLLOW C ABOVE MOUTH @ UNION GAP, WA | USGS | -120.474 | 46.5387 | 558 | 13.4 | 4.6 | 161.1 | 1.9 | 143 | 298 | 13 | 4.5 | 152 | 950 | 1703 | |||
| 11181390 | WILDCAT C A VALE R @ RICHMOND CA | USGS | -122.3383 | 37.9533 | 433 | 17.2 | 5.3 | 126.3 | 0 | 257 | 307 | 17.1 | 5.1 | 125 | 65 | 1805 | |||
| 22J070 | Wildcat C nr McCleary | WA.Ecology | -123.3146 | 47.0434 | 20 | 9.6 | 5.7 | 169.8 | 3.9 | 207 | 302 | 9.1 | 4.9 | 163 | 160 | 1710 | |||
| 14174000 | WILLAMETTE R @ ALBANY, OR | USGS | -123.1068 | 44.6387 | 1868 | 13.6 | 7.3 | 166.2 | 3.3 | 154 | 303 | 12.9 | 6.8 | 157 | 167 | 1709 | |||
| USGS_010 | Willamette R @ Albany, OR | USGS | -123.062 | 44.382 | 1285 | 13.871 | 7.439 | 248.924 | 3.941 | 64.291 | 234.807 | 12.971 | 6.647 | -128.165 | 1 | 1 | View | ||
| USGS_009 | Willamette R @ Harrisburg OR | USGS | -123.1021 | 44.1614 | 1301 | 12.693 | 6.401 | 241.615 | 3.063 | 73.959 | 223.881 | 12.086 | 5.993 | -133.768 | 1 | 1 | View | ||
| Streamnet_370 | WILLAMETTE R @ HARRISBURG OREG | PSMFC | -123.1737338 | 44.26746237 | 8528 | 11.871 | 5.597 | -124.995 | 1.234 | 81.387 | 206.507 | 11.662 | 5.501 | -129.001 | 1 | 1 | |||
| 14166000 | WILLAMETTE R @ HARRISBURG, OR | USGS | -123.1737 | 44.2704 | 10707 | 12 | 6.1 | 157.7 | 2.2 | 160 | 306 | 11.6 | 5.8 | 151 | 288 | 1709 | |||
| 14192015 | WILLAMETTE R @ KEIZER, OR | USGS | -123.0373 | 44.9737 | 2044 | 14.1 | 7.7 | 167.5 | 4.5 | 147 | 307 | 13.1 | 7 | 154 | 115 | 1709 | |||
| 14197900 | WILLAMETTE R @ NEWBERG, OR | USGS | -122.9615 | 45.2846 | 1655 | 14.2 | 8.2 | 167.6 | 4.8 | 152 | 303 | 13.1 | 7.3 | 155 | 0 | 1709 | |||
| Streamnet_371 | WILLAMETTE R @ OREGON CITY, OR | PSMFC | -122.61807958 | 45.35436124 | 1563 | 14.737 | 8.149 | -108.476 | 4.218 | 25.437 | 236.44 | 13.55 | 7.691 | -123.601 | 1 | 1 | |||
| 14211720 | WILLAMETTE R @ PORTLAND, OR | USGS | -122.6679 | 45.5185 | 3842 | 13.9 | 8.5 | 164.1 | 4.6 | 160 | 308 | 13 | 7.7 | 153 | 1 | 1709 | |||
| Streamnet_372 | WILLAMETTE R @ PORTLAND, OREG. | PSMFC | -122.66827771 | 45.51762944 | 2063 | 13.81 | 8.206 | -117.98 | 3.65 | 75.65 | 228.781 | 13.067 | 7.557 | -127.149 | 1 | 1 | |||
| Streamnet_373 | WILLAMETTE R @ SALEM, OREG. | PSMFC | -123.04291635 | 44.94512391 | 4971 | 12.864 | 6.697 | -117.462 | 2.034 | 60.763 | 221.523 | 12.365 | 6.365 | -123.586 | 1 | 1 | |||
| Streamnet_368 | WILLAMETTE R AB CALAPOOIA R @ ALBANY, OREG. | PSMFC | -123.1051763 | 44.63905776 | 5057 | 12.687 | 6.165 | -118.573 | 1.583 | 66.526 | 219.481 | 12.317 | 5.903 | -123.527 | 1 | 1 | |||
| Streamnet_369 | WILLAMETTE R AB ST JOHNS BR @ PORTLAND, OREG. | PSMFC | -122.75111203 | 45.57964655 | 1321 | 13.938 | 8.276 | -115.319 | 3.932 | 50.49 | 233.414 | 12.98 | 7.754 | -127.933 | 1 | 1 | |||
| Streamnet_374 | WILLAMINA C NEAR WILLAMINA, OR | PSMFC | -123.49339265 | 45.14277237 | 1774 | 13.225 | 6.311 | -85.983 | 7.533 | -8.851 | 244.561 | 10.729 | 5.389 | -125.717 | 1 | 1 | |||
| 24B130 | Willapa R @ Lebam | WA.Ecology | -123.5602 | 46.561 | 343 | 11.1 | 5.3 | 170.1 | 3.2 | 152 | 308 | 10.4 | 4.9 | 156 | 240 | 1710 | |||
| 12011500 | WILLAPA R @ LEBAM, WA | USGS | -123.5652 | 46.5637 | 6672 | 11.3 | 5.6 | 166.9 | 2.7 | 126 | 306 | 10.6 | 5.4 | 155 | 154 | 1710 | |||
| 24B095 | Willapa R nr Menlo | WA.Ecology | -123.6401 | 46.612 | 12 | 13.1 | 7.7 | 165.5 | 4.2 | 115 | 321 | 12 | 7.2 | 151 | 140 | 1710 | |||
| 24B090 | Willapa R nr Willapa | WA.Ecology | -123.6535 | 46.6501 | 577 | 12.4 | 6.9 | 170.7 | 4 | 131 | 305 | 11.5 | 6.6 | 157 | 50 | 1710 | |||
| 14034608 | WILLOW C @ MORGAN STREET, AT HEPPNER, OR | USGS | -119.5603 | 45.3612 | 455 | 10.5 | 7.7 | 158 | 2.8 | 151 | 287 | 9.9 | 7.6 | 152 | 1910 | 1707 | |||
| 13058000 | WILLOW C NR RIRIE ID | USGS | -111.7461 | 43.5833 | 2693 | 8.2 | 8.1 | 156.3 | 0 | 144 | 310 | 7.9 | 8 | 154 | 4950 | 1704 | |||
| Streamnet_375 | WILLOW C NR RIRIE ID | PSMFC | -111.846707 | 43.59450633 | 220 | 62.95 | -52.434 | -166.268 | 108.508 | -104.832 | 257.71 | 9.821 | 2.475 | -220.443 | 1 | 1 | |||
| 39C070 | Wilson C @ Highway 821 | WA.Ecology | -120.5081 | 46.9171 | 269 | 11.1 | 7.2 | 163.7 | 2.2 | 176 | 307 | 10.8 | 6.9 | 159 | 1380 | 1703 | |||
| Storet_259 | WILSON C @ THRALL | EPA | -120.506944 | 46.917778 | 120 | 11.168 | 6.557 | -115.378 | 1.338 | 88.723 | 198.913 | 10.969 | 6.389 | -118.617 | 1 | 1 | View | ||
| Storet_258 | WILSON C @ THRALL R | EPA | -120.500556 | 46.926667 | 165 | 9.937 | 6.729 | 247.432 | 2.584 | 74.444 | 216.244 | 9.447 | 6.411 | -125.565 | 1 | 1 | |||
| Streamnet_376 | WINBERRY C NEAR LOWELL, OREG. | PSMFC | -122.68153666 | 43.91185461 | 6236 | 14.065 | 8.117 | -81.029 | 10.565 | -7.45 | 252.081 | 10.454 | 6.098 | -125.359 | 1 | 1 | |||
| Storet_260 | WINCHESTER LK 400 FT SOUTH OF OUTLET | EPA | -116.620556 | 46.236667 | 281 | NA | NA | NA | NA | NA | NA | 8.103 | 6.467 | -130.375 | 1 | 0 | |||
| Streamnet_380 | Wind R @ Mouth | PSMFC | -115.9431229 | 45.4559631 | 369 | NA | NA | NA | NA | NA | NA | 1.277 | 13.815 | -137.476 | 1 | 0 | |||
| 29C100 | Wind R @ Stabler | WA.Ecology | -121.9092 | 45.8078 | 834 | 8.6 | 5 | 163.5 | 3.5 | 143 | 317 | 7.8 | 4.6 | 147 | 924 | 1707 | |||
| 29C070 | Wind R nr Carson | WA.Ecology | -121.7945 | 45.7257 | 145 | 9.9 | 5.9 | 167.2 | 3.1 | 145 | 304 | 9.2 | 5.4 | 156 | 80 | 1707 | |||
| Streamnet_377 | WINSTON C NEAR SILVER LAKE, WASH. | PSMFC | -122.5244881 | 46.48763512 | 1719 | 12.797 | 6.727 | -84.953 | 6.699 | -36.19 | 249.026 | 10.315 | 6.192 | -117.544 | 1 | 1 | |||
| Storet_261 | WIPPLE WW @ THRALL RD | EPA | -120.496389 | 46.927222 | 63 | 10.639 | 5.658 | 260.128 | 3.663 | 81.581 | 203.582 | 10.053 | 5.197 | -117.3 | 1 | 1 | |||
| 22D110 | Wishkah R nr Nisson | WA.Ecology | -123.7893 | 47.1093 | 2003 | 10.5 | 4.3 | 168.4 | 2.2 | 109 | 305 | 9.9 | 4.2 | 155 | 50 | 1710 | |||
| 22D070 | Wishkah R nr Wishkah | WA.Ecology | -123.7704 | 47.072 | 92 | 11.4 | 5.1 | 169.8 | 3.1 | 128 | 299 | 10.7 | 4.9 | 156 | 40 | 1710 | |||
| 13B170 | Woodland C nr Lacey | WA.Ecology | -122.8018 | 47.0568 | 675 | 10.4 | 1.9 | 168.8 | 0 | 248 | 300 | 10.3 | 1.8 | 167 | 60 | 1711 | |||
| 07F055 | Woods C @ Monroe | WA.Ecology | -121.9626 | 47.8552 | 68 | 10.4 | 5.6 | 164.5 | 2.6 | 180 | 307 | 10 | 5.1 | 157 | 45 | 1711 | |||
| Storet_262 | WPSS CLATSKANIE OREGON | EPA | -123.185556 | 46.180833 | 338 | 12.761 | 7.452 | 235.752 | 1.693 | 93.223 | 231.727 | 12.425 | 7.169 | -133.28 | 1 | 1 | View | ||
| Storet_263 | WPSS RICHLAND WASHINGTON | EPA | -119.29 | 46.260556 | 174 | 13.504 | 9.886 | 257.411 | 3.871 | 74.908 | 214.773 | 12.782 | 9.175 | -115.02 | 1 | 1 | View | ||
| Storet_264 | WPSS WAWAWAI WASHINGTON | EPA | -117.386667 | 46.636667 | 519 | 12.838 | 9.271 | 244.033 | 5.843 | 88.271 | 215.303 | 11.81 | 8.548 | -132.347 | 1 | 1 | View | ||
| 12037400 | WYNOOCHEE R ABOVE BLACK C NR MONTESANO, WA | USGS | -123.6554 | 47.0115 | 5272 | 11.2 | 5.9 | 165.5 | 2.4 | 134 | 306 | 10.6 | 5.6 | 156 | 40 | 1710 | |||
| 22F090 | Wynoochee R nr Montesano | WA.Ecology | -123.7004 | 47.0787 | 105 | 12.1 | 6.8 | 174.7 | 4.4 | 127 | 304 | 11.1 | 6.2 | 159 | 120 | 1710 | |||
| Storet_265 | YAKIMA R @ BRIDGE NR GRANGER | EPA | -120.196389 | 46.335 | 72 | 11.459 | 7.805 | 251.564 | 2.633 | 82.877 | 222.96 | 10.962 | 7.197 | -120.08 | 1 | 1 | |||
| Storet_266 | YAKIMA R @ BRIDGE NR MABTON | EPA | -119.998333 | 46.231667 | 74 | 12.653 | 8.813 | 251.873 | 2.59 | 120.112 | 221.844 | 12.296 | 8.187 | -115.895 | 1 | 1 | |||
| 39A080 | Yakima R @ Cle Elum | WA.Ecology | -120.949 | 47.1921 | 54 | 9.6 | 7.3 | 156.9 | 3 | 174 | 292 | 9.1 | 6.9 | 151 | 1910 | 1703 | |||
| Storet_267 | YAKIMA R @ CLE ELUM | EPA | -120.948889 | 47.1925 | 139 | 9.685 | 7.316 | 251.31 | 4.264 | 68.651 | 268.047 | 8.546 | 5.828 | -125.613 | 1 | 1 | |||
| Storet_273 | YAKIMA R @ CLE ELUM | EPA | -120.948611 | 47.193056 | 57 | 11.002 | 8.397 | 256.67 | 5.493 | 33.209 | 277.276 | 9.142 | 6.699 | -124.627 | 1 | 1 | |||
| Streamnet_382 | YAKIMA R @ CLE ELUM, WASH. | PSMFC | -120.93978224 | 47.19093613 | 160 | NA | NA | NA | NA | NA | NA | 7.181 | 7.871 | -140.647 | 1 | 0 | |||
| 39A060 | Yakima R @ Ellensburg | WA.Ecology | -120.5673 | 46.9776 | 47 | 8.7 | 7.9 | 160 | 4.5 | 188 | 322 | 7.9 | 6.8 | 151 | 1490 | 1703 | |||
| Storet_268 | YAKIMA R @ ELLENSBURG | EPA | -120.526389 | 46.926944 | 81 | 8.64 | 6.162 | 242.283 | 1.526 | 117.621 | 187.761 | 8.509 | 6.04 | -125.416 | 1 | 1 | |||
| 37A149 | Yakima R @ Granger No Side | WA.Ecology | -120.1976 | 46.3376 | 18 | 11.1 | 7.6 | 167.5 | 4.9 | 171 | 312 | 10.6 | 6.3 | 151 | 680 | 1703 | |||
| 37A150 | Yakima R @ Granger So Side | WA.Ecology | -120.1956 | 46.3338 | 18 | 11.2 | 7.9 | 167 | 5.2 | 169 | 312 | 10.6 | 6.6 | 150 | 680 | 1703 | |||
| 39A050 | Yakima R @ Harrison Bridge | WA.Ecology | -120.4912 | 46.6796 | 67 | 10.3 | 8.6 | 166.9 | 4.3 | 172 | 315 | 9.4 | 7.5 | 159 | 1130 | 1703 | |||
| Storet_269 | YAKIMA R @ HARRISON R BRIDGE | EPA | -120.491389 | 46.678056 | 86 | 10.053 | 7.316 | 253.602 | 2.276 | 81.295 | 202.107 | 9.665 | 6.934 | -117.335 | 1 | 1 | |||
| 37A090 | Yakima R @ Kiona | WA.Ecology | -119.4753 | 46.2529 | 537 | 12.9 | 10.3 | 170.2 | 4.2 | 174 | 305 | 12.1 | 9.3 | 164 | 460 | 1703 | |||
| Storet_274 | YAKIMA R @ KIONA | EPA | -119.482222 | 46.253056 | 393 | 13.038 | 9.655 | 254.294 | 3.224 | 76.758 | 227.723 | 12.402 | 8.97 | -116.932 | 1 | 1 | View | ||
| USGS_011 | Yakima R @ Kiona, WA | USGS | -119.2837 | 46.1513 | 420 | 14.963 | 11.949 | 256.038 | 4.708 | 72.759 | 245.58 | 13.802 | 10.537 | -116.435 | 1 | 1 | View | ||
| 12510500 | YAKIMA R @ KIONA, WA | USGS | -119.4781 | 46.2535 | 863 | 14.1 | 11.3 | 170.9 | 4.5 | 176 | 300 | 13.3 | 10.4 | 164 | 454 | 1703 | |||
| Streamnet_383 | YAKIMA R @ KIONA, WASH. | PSMFC | -119.47612462 | 46.25286354 | 416 | NA | NA | NA | NA | NA | NA | 13.048 | 8.565 | -117.218 | 1 | 0 | |||
| Storet_275 | YAKIMA R @ MABTON | EPA | -119.998333 | 46.231389 | 100 | 11.988 | 8.161 | -115.548 | 4.167 | 117.602 | 212.762 | 11.487 | 7.451 | -121.128 | 1 | 1 | View | ||
| 37A130 | Yakima R @ Mabton | WA.Ecology | -119.9995 | 46.2312 | 77 | 12 | 8.8 | 165.5 | 4.7 | 193 | 305 | 11.3 | 7.8 | 159 | 643 | 1703 | |||
| Streamnet_384 | YAKIMA R @ MABTON, WASH. | PSMFC | -119.9977993 | 46.23103726 | 319 | NA | NA | NA | NA | NA | NA | 12.275 | 9.019 | -115.564 | 1 | 0 | |||
| 37A205 | Yakima R @ Nob Hill | WA.Ecology | -120.4617 | 46.5815 | 396 | 10.7 | 8.8 | 162.1 | 3.6 | 161 | 314 | 10 | 8.4 | 153 | 985 | 1703 | |||
| Storet_276 | YAKIMA R @ PARKER | EPA | -120.451944 | 46.506111 | 85 | 10.178 | 7.602 | 251.235 | 3.986 | 110.862 | 226.668 | 9.572 | 6.641 | -120.552 | 1 | 1 | |||
| 37A190 | Yakima R @ Parker | WA.Ecology | -120.4531 | 46.506 | 311 | 10.5 | 8.2 | 165.6 | 3.8 | 172 | 316 | 9.8 | 7.3 | 158 | 905 | 1703 | |||
| 37A110 | Yakima R @ Prosser | WA.Ecology | -119.7767 | 46.2101 | 65 | 12.1 | 9.2 | 163.4 | 4.7 | 190 | 307 | 11.4 | 8.2 | 156 | 630 | 1703 | |||
| Storet_277 | YAKIMA R @ PROSSER | EPA | -119.775556 | 46.210278 | 65 | 12.269 | 8.768 | 249.455 | 4.247 | 103.074 | 219.766 | 11.646 | 7.941 | -122.566 | 1 | 1 | View | ||
| Storet_270 | YAKIMA R @ TERRACE HGTS. BRIDGE | EPA | -120.473611 | 46.606111 | 71 | 9.509 | 7.098 | 251.079 | 3.04 | 81.357 | 224.825 | 8.904 | 6.426 | -122.577 | 1 | 1 | |||
| Storet_271 | YAKIMA R @ UMTANUM | EPA | -120.482778 | 46.856111 | 134 | 9.13 | 7.123 | 248.784 | 2.529 | 81.126 | 241.526 | 8.6 | 6.425 | -122.958 | 1 | 1 | |||
| Storet_272 | YAKIMA R @ VAN GIESEN BRIDGE | EPA | -119.332222 | 46.297222 | 53 | 12.739 | 9.354 | -115.331 | 4.702 | 104.653 | 217.375 | 12.104 | 8.66 | -122.373 | 1 | 1 | |||
| 12500450 | YAKIMA R ABOVE AHTANUM C @ UNION GAP, WA | USGS | -120.4673 | 46.5343 | 829 | 10.8 | 9.2 | 164.1 | 3.5 | 176 | 313 | 10 | 8.5 | 157 | 900 | 1703 | |||
| Streamnet_381 | YAKIMA R ABV AHTANUM C @ UNION GAP, WASH. | PSMFC | -120.47042631 | 46.5301564 | 271 | 17.264 | 11.186 | -77.012 | 14.679 | -16.853 | 281.244 | 10.985 | 7.314 | -122.32 | 1 | 1 | |||
| Storet_278 | YAKIMA R NEAR CLE ELUM | EPA | -121.041667 | 47.186111 | 117 | 8.325 | 6.433 | 237.443 | 3.254 | 72.545 | 227.951 | 7.639 | 6.106 | -138.658 | 1 | 1 | View | ||
| Streamnet_385 | YAKIMA R NEAR MARTIN, WASH. | PSMFC | -121.33089577 | 47.32028545 | 387 | 11.725 | 8.05 | -99.723 | 12.934 | 46.467 | 270.798 | 7.781 | 4.401 | -149.492 | 1 | 1 | |||
| 39A090 | Yakima R nr Cle Elum | WA.Ecology | -121.0445 | 47.1857 | 899 | 9.5 | 8.4 | 160.2 | 6 | 154 | 317 | 8.3 | 8.3 | 144 | 2022 | 1703 | |||
| 37A070 | Yakima R nr Richland | WA.Ecology | -119.3728 | 46.3235 | 18 | 14.4 | 11.4 | 168.6 | 8.8 | 189 | 305 | 13.6 | 9.1 | 154 | 380 | 1703 | |||
| 37A210 | Yakima R nr Terrace Height | WA.Ecology | -120.4753 | 46.6057 | 101 | 10.3 | 8.2 | 164 | 5.1 | 181 | 310 | 9.5 | 7.2 | 154 | 1020 | 1703 | |||
| 39A070 | Yakima R nr Thorp | WA.Ecology | -120.7026 | 47.1009 | 46 | 8.7 | 7.4 | 159.8 | 4.9 | 167 | 302 | 7.8 | 6.8 | 147 | 1910 | 1703 | |||
| 37A170 | Yakima R nr Toppenish | WA.Ecology | -120.3145 | 46.4099 | 77 | 11.5 | 8.7 | 163.5 | 5.2 | 177 | 316 | 10.5 | 7.5 | 153 | 760 | 1703 | |||
| 14218500 | YALE RESERVOIR NEAR YALE, WA | USGS | -122.3326 | 45.9637 | 559 | 11.9 | 7.9 | 158.8 | 4.2 | 117 | 311 | 10.8 | 8.1 | 146 | NA | 1708 | |||
| Streamnet_386 | YALE RESERVOIR NEAR YALE, WASH. | PSMFC | NA | NA | 559 | 17.274 | 9.535 | -77.034 | 15.121 | -40.188 | 269.892 | 11.197 | 7.604 | -132.327 | 1 | 1 | |||
| Streamnet_387 | YANKEE FORK SALMON R NR CLAYTON ID | PSMFC | -114.73001566 | 44.28205981 | 804 | 7.291 | 7.063 | -108.958 | 5.97 | 26.637 | 253.428 | 5.504 | 6.26 | -133.682 | 1 | 1 | |||
| 13296000 | YANKEE FORK SALMON R NR CLAYTON ID | USGS | -114.7206 | 44.2874 | 805 | 6.5 | 6.9 | 163.5 | 4.9 | 140 | 319 | 5.3 | 6.4 | 146 | 5950 | 1706 | |||
| Streamnet_388 | ZOLLNER C NEAR MT ANGEL, OR | PSMFC | -122.82101419 | 45.10031612 | 1554 | NA | NA | NA | NA | NA | NA | 12.476 | 5.54 | -116.251 | 1 | 0 | |||
| 14201300 | ZOLLNER C NEAR MT ANGEL, OR | USGS | -122.8218 | 45.1004 | 4006 | 12.6 | 6.3 | 170.6 | 1.9 | 171 | 299 | 12.3 | 5.9 | 166 | 120 | 1709 | |||

